Съдържание на „Капиталът. Втори том.“

КАРЛ МАРКС

Капиталът. Книга II.

Процесът на обръщението на капитала

1885

Издаден под редакцията на Фридрих Енгелс


ОТДЕЛ ТРЕТИ
Възпроизводство и обръщение
на целия обществен капитал

Глава двадесет и първа
Натрупване и разширено възпроизводство57)

 

В книга I бе показано как става натрупването у отделния капиталист. Вследствие превръщането на стоковия капитал в пари, превръща се в пари и принаденият продукт, който представлява принадената стойност. Тази принадена стойност, превърната по този начин в пари, капиталистът отново превръща в добавъчни натурални елементи на своя производителен капитал. При следващия кръгооборот на производството увеличеният капитал доставя увеличено количество продукт. Но това, което става с индивидуалния капитал, трябва да се проявява и в цялото годишно възпроизводство, точно както видяхме при разглеждането на простото възпроизводство, че — при индивидуалния капитал — последователното утаяване на неговите изхабени основни съставни части във вид на пари, натрупвани като съкровище, намира израз и в годишното обществено възпроизводство.

Ако един индивидуален капитал = 400с+100v, а годишната принадена стойност = 100, то стоковият продукт = 400c+100v+100m. Тези 600 се превръщат в пари. От тези пари 400c отново се превръщат в натурална форма на постоянен капитал, 100v — в работна сила и ако цялата принадена стойност се натрупва, свръх това 100m се превръщат в добавъчен постоянен капитал, чрез обмяна срещу натурални елементи на производителния капитал. При това се приема: 1) че при дадените технически условия тази сума е достатъчна както за увеличаване на функциониращия постоянен капитал, така и за създаване на ново промишлено предприятие. Но може да се случи и така, че да е необходимо в течение на много по-дълго време да се превръща принадена стойност в пари и да се натрупват тези пари във вид на съкровище, преди да може да се осъществи този процес, следователно да може да се започне действително натрупване, разширено възпроизводство. 2) Приема се, че всъщност още преди това се е извършило разширение на производството, за да могат парите (натрупана във вид на пари принадена стойност) да бъдат превърнати в елементи на производителния капитал, тези елементи трябва вече да се продават на пазара като стоки; при това няма да се получи никаква разлика, ако те не се купуват във вид на готови стоки, а се изработват по поръчка. Те се заплащат едва след като бъдат получени и във всеки случай след като по отношение на тях вече се е извършило действително възпроизводство в разширен мащаб, станало е разширение на нормалния дотогава размер на производството. Те е трябвало да съществуват потенциално, т. е. в своите елементи, тъй като за да бъдат те действително произведени, е бил нужен само тласъкът на поръчката, т. е. предшестващата съществуването на стоката нейна покупка и нейната антиципирана продажба. При това положение парите на едната страна предизвикват разширено възпроизводство на другата страна, защото възможност за разширено възпроизводство съществува и без парите, тъй като парите сами по себе си не съставляват елемент на действителното възпроизводство.

Ако например капиталист А в продължение на една или няколко години продава произвежданите последователно от него количества стоков продукт, с това той последователно превръща в пари и онази част от стоковия продукт, която е носител на принадената стойност — принадения продукт, — следователно превръща в пари самата принадена стойност, произведена от него в стокова форма, малко по-малко натрупва пари и по този начин образува нов потенциален паричен капитал; потенциален поради неговата способност и предназначение да бъде превърнат в елементи на производителен капитал. А фактически капиталистът натрупва само просто съкровище, което не представлява елемент на действителното възпроизводство. При това неговата дейност се състои отначало само в последователно извличане от обръщението на извършващи обръщение пари, при което, разбира се, не е изключена възможността самите извършващи обръщение пари, които той по такъв начин държи под ключ, преди да попаднат в обръщението, да са били част от друго съкровище. Това съкровище на капиталиста А, което потенциално е нов паричен капитал, не е добавъчно обществено богатство, както ако тези пари биха били изразходвани за средства за потребление. Но пари, изтеглени от обръщението, следователно такива, които преди това са се намирали в него, преди това може да са лежали вече веднъж като съставна част на съкровище или да са били парична форма на работна заплата; те са могли да служат за превръщане в пари на средства за производство или други стоки, за обръщение на постоянна капиталова част или доход на някой капиталист. Те не представляват ново богатство, също както пари, разглеждани от гледна точка на простото стоково обръщение, не са носител не само на своята налична, но и на десетократната си стойност поради това, че са извършили десет оборота на ден, реализирали са десет различни стокови стойности. Стоките съществуват без парите, и последните сами остават същото, което са (или поради изхабяването стават още по-малко), при един оборот или при десет. Само в производството на злато е създадено ново богатство (потенциални пари), доколкото златният продукт съдържа в себе си принаден продукт, който е носител на принадена стойност, и само доколкото целият нов паричен продукт встъпва в обръщението, той увеличава паричния материал на потенциалните нови парични капитали.

Макар че не представлява добавъчно ново обществено богатство, тази натрупана във формата на пари принадена стойност представлява нов потенциален паричен капитал вследствие на функцията, за която тя се натрупва. (По-нататък ще видим, че нов паричен капитал може да възникне и по друг път освен чрез постепенно превръщане на принадена стойност в пари).

Пари се изтеглят от обръщението и се натрупват във вид на съкровище посредством продажба на стоката, без да следва покупка. Следователно, ако си представим, че тази операция има всеобщ характер, то на пръв поглед не може да се разбере откъде ще се вземат купувачите, тъй като в този процес — а трябва да си го представяме всеобщ, защото всеки индивидуален капитал може да се намира в стадий на натрупване — всеки иска да продава, за да натрупва съкровище, никой не иска да купува.

Ако си представим, че процесът на обръщението между различните части на годишното възпроизводство протича по права линия — което е невярно, тъй като с малки изключения той винаги се състои от взаимно противоположни движения, — би трябвало да се почне от производителя на злато (съответно на сребро), който купува, без да продава, и да се приеме, че всички други продават на него. В такъв случай целият годишен обществен принаден продукт (който е носител на цялата принадена стойност) би преминал у него, а всички други капиталисти pro rata биха разпределили помежду си неговия принаден продукт, който по природа съществува във вид на пари, представлява естествено въплъщение в злато на неговата принадена стойност; защото частта от продукта на производителя на злато, която трябва да възстанови неговия функциониращ капитал, е вече свързана и използвана по съответен начин. Произведената във вид на злато принадена стойност на производителя на злато би била в такъв случай единственият фонд, от който всички останали капиталисти биха получавали материал за превръщане на своя годишен принаден продукт в пари. Следователно по величина на стойността тя би трябвало да бъде равна на цялата обществена годишна принадена стойност, която тепърва трябва да се превърне в какавида — във формата на съкровище. Така нелепи, тези предпоставки не биха ни помогнали в нищо освен това, че биха обяснили възможността за всеобщо едновременно образуване на съкровища, при което самото възпроизводство, с изключение на възпроизводството у производителите на злато, не би направило нито крачка по-нататък.

Преди да разрешим това привидно затруднение, трябва да разграничим: натрупване в подразделение I (производство на средства за производство) и в подразделение II (производство на средства за потребление). Започваме с подразделение I.

 

I. НАТРУПВАНЕ В ПОДРАЗДЕЛЕНИЕ I

1) ОБРАЗУВАНЕ НА СЪКРОВИЩЕ

 

Ясно е, че както капиталите, вложени в многобройните промишлени отрасли, съставляващи I подразделение, така и различните индивидуални капитали във всеки от тези промишлени отрасли, в зависимост от тяхната възраст, т. е. от продължителността на тяхното изтекло вече функциониране — оставяме съвсем настрана тяхната величина, техническите условия, пазарните условия и т. н. —  се намират на различни стъпала на процеса на последователното превръщане от принадена стойност в потенциален паричен капитал, за която и от двете форми на разширяване на производството да послужи впоследствие този паричен капитал за увеличаване на функциониращия капитал или за създаване на нови промишлени предприятия. Поради това една част от капиталистите постоянно превръща своя потенциален паричен капитал, нараснал до съответна величина, в производителен капитал, т. е. с парите, натрупани чрез превръщане на принадената стойност в пари, купува средства за производство, добавъчни елементи на постоянния капитал; докато друга част от капиталистите е още заета с натрупването на своя потенциален паричен капитал. Следователно тези две категории капиталисти си противостоят една на друга: едните като купувачи, другите като продавачи, и при това всеки, принадлежащ към една от двете категории, се явява изключително в една от тези роли.

Например А продава на В (който може да представлява повече от един купувач) 600 (=400с+100v+100m). Той е продал стоки за 600 срещу 600 в пари, 100 от които представляват принадена стойност; тези 100 той изтегля от обръщението, трупа ги като пари; но тези 100 представляват само паричната форма на принадения продукт, който е бил носител на стойност от 100. Образуването на съкровище изобщо не е производство, а следователно преди всичко не е и прираст на производството. При него дейността на капиталиста се състои изключително в това, че изтегля от обръщението, задържа у себе си и запазва неприкосновени парите, получени от продажбата на принадения продукт от 100. Тази операция става не само у А, а в множество пунктове на периферията на обръщението у други капиталисти: А', А", А'"; всички те със същото усърдие работят над такъв вид образуване на съкровище. Тези многобройни пунктове, в които се изтеглят пари от обръщението и се натрупват във вид на многобройни индивидуални съкровища, съответно във вид на потенциални парични капитали, изглеждат на също така многобройни препятствия за обръщението, защото те мобилизират парите и за по-дълго или по-кратко време ги лишават от способност да извършват обръщение. Но трябва да се има предвид, че образуване на съкровища става още при простото стоково обръщение, дълго преди това обръщение да започне да се извършва на основата на капиталистическо стоково производство; количеството на парите, които се намират в обществото, винаги е по-голямо от онази част на парите, която се намира в активно обръщение, макар че тази последната в зависимост от обстоятелствата ту се увеличава, ту се намалява. Тук ние пак срещаме също такива съкровища и също такова образуване на съкровища, но сега вече като момент, присъщ на капиталистическия производствен процес.

Разбираемо е удоволствието, когато при кредитната система всички тези потенциални капитали в резултат на тяхната концентрация в ръцете на банки и т. н. стават капитал, с който може да се разполага, „loanable capital“*1, паричен капитал, при това вече не пасивен, не музика на бъдещето[81], а активен, разрастващ се капитал.

Но А създава съкровище само доколкото той — по отношение на своя принаден продукт — се явява само като продавач, без да се явява след това като купувач. Следователно неговото последователно производство на принаден продукт — носителя на неговата принадена стойност, която трябва да бъде превърната в пари — е предпоставката за образуване на неговото съкровище. В дадения случай, където разглеждаме обръщението само в пределите на I подразделение, натуралната форма на принадения продукт, както и на целия продукт, част от който съставлява принадения продукт, е натурална форма на един от елементите на постоянния капитал на I, т. е. принадлежи към категорията на средствата за производство на средства за производство. Какво се получава от това, т. е. за каква функция служат те в ръцете на купувачите В, В', В" и т. н. ще видим ей сега.

Но преди всичко трябва да се запомни следното: Макар А срещу своята принадена стойност да изтегля пари от обръщението и да ги трупа като съкровище, той от друга страна хвърля в обръщението стоки, без да изтегля срещу тях други стоки, вследствие на което В, В', В" и т. н. на свой ред могат да внасят в обръщението пари и срещу тях да изтеглят от него само стока. В дадения случай тази стока и по своята натурална форма, и по своето предназначение влиза като основен или оборотен елемент в постоянния капитал на В, В' и т. н. За последното ще говорим по-подробно, когато ще имаме работа с купувачите на принадения продукт, с В, В' и т. н.

***

Между другото ще отбележим тук следното. Както и преди, при изследването на простото възпроизводство, ние тук отново намираме, че обмяната на различните съставни части на годишния продукт, т. е. тяхното обръщение (което трябва да обхваща в същото време и възпроизводството на капитала и при това неговото възстановяване в различните му определени форми на постоянен, променлив, основен, оборотен паричен капитал, стоков капитал), по никакъв начин не предполага само покупка на стока, допълвана от следваща я продажба, или продажба, допълвана от следваща я покупка, така че фактически да става само размяна на една стока срещу друга, както приема политическата икономия, именно фритрейдърската школа от времето на физиократите и Адам Смит. Ние знаем, че основният капитал, след като е направен разходът за него, не се възобновява през цялото време на своето функциониране, а продължава да действа в старата форма, докато неговата стойност постепенно се утаява във вид на пари. Ние видяхме, че периодичното възобновяване на основната съставна част на капитала IIc (а цялата капиталова стойност IIc се обменя срещу елементи на стойност I предполага, от една страна, само покупка на основната част на IIc, която се превръща от парична форма в натурална форма, при което на тази покупка съответства само продажба на Im; от друга страна, то предполага само продажба от страна на IIc, продажба на онази основна част от неговата стойност (стойността на изхабената част), която се утаява във вид на пари, при което на тази продажба съответства само покупка от Im. За да се извършва тук обмяната нормално, необходимо е да се приеме, че простата покупка от страна на IIc по величина на стойността е равна на простата продажба от страна на IIc и също така, че простата продажба от Im на IIc, част 1, е равна на проста покупка от IIc, част 2 (стр. 440)*2. Иначе простото възпроизводство ще бъде нарушено; простата покупка на едната страна трябва да се покрива от проста продажба на другата страна. Точно така тук е необходимо да се приеме, че простата продажба на частта от Im, която образува съкровище за А, А', А", се уравновесява от простата покупка на част от Im от страна на В, В’, В", които превръщат своето съкровище в елементи на допълнителен производителен капитал.

Доколкото равновесието се възстановява чрез това, че купувачът се явява впоследствие като продавач за същата стойностна сума и обратно, дотолкова става връщане на парите у онази страна, която ги е авансирала при покупката и която е продала, преди да купи отново. Но действителното равновесие по отношение на самата стокова обмяна, обмяната на различните части на годишния продукт, се обуславя от равенството на стойността на взаимно обменяните стоки.

Но доколкото стават само едностранни обмени, маса прости покупки, от една страна, маса прости продажби, от друга — а ние видяхме, че нормалната обмяна на годишния продукт на капиталистическа основа обуславя такива едностранни метаморфози, —  дотолкова равновесието се осъществява само при предпоставката, че стойностната сума на едностранните покупки и стойностната сума на едностранните продажби се покриват. Фактът, че стоковото производство представлява общата форма на капиталистическото производство, вече включва в себе си ролята, която парите играят в него не само като средство за обръщение, но и като паричен капитал, и създава известни, свойствени на този начин на производство условия на нормалната обмяна, следователно на нормалния ход на възпроизводството, както на простото, така и в разширен мащаб — условия, които се превръщат в също така многобройни условия за ненормален ход на възпроизводството, в също така многобройни възможности за кризи, тъй като самото равновесие — при стихийния характер на това производство — е случайност.

Ние видяхме също така, че при обмяната на Iv, срещу съответна стойностна сума на IIc, наистина за IIc в края на краищата се извършва възстановяване на стока на II чрез равна стойностна сума на стока на I, че следователно съвкупният капиталист на II подразделение впоследствие допълня тук продажбата на собствената стока с покупка на стока на I на същата стойностна сума. Такова възстановяване става обаче между самите капиталисти от I и II подразделение тази обмяна на техните стоки не става размяна, IIc продава своите стоки на работниците от I подразделение; последните му противостоят едностранно като купувачи на стоки, а IIc противостои на работниците едностранно като продавач на стоки; с парите, получени по такъв начин, IIc противостои на съвкупния капиталист от I подразделение едностранно като купувач на стоки, а I едностранно му противостои като продавач на стоки на сума Iv. Само посредством тази продажба на стоки I подразделение в края на краищата възпроизвежда своя променлив капитал отново във формата на паричен капитал. Ако капиталът от I противостои на капитала от II едностранно като продавач на стока на сума Iv, на работниците от I подразделение той противостои едностранно като купувач на стоки, който купува тяхната работна сила; и ако работниците от I подразделение противостоят на капиталиста от II едностранно като купувачи на стока (именно като купувачи на средства за живот), то на капиталиста от I те противостоят едностранно като продавачи на стока, именно като продавачи на своята работна сила.

Постоянното предлагане на работната сила от страна на работниците в I подразделение, обратното превръщане на една част от стоковия капитал на I в парична форма на променливия капитал на I, възстановяването на една част от стоковия капитал на II с натуралните елементи на постоянния капитал IIc — всички тези необходими предпоставки на възпроизводството взаимно се обуславят една друга, но се опосредстват от един много сложен процес, който съдържа в себе си три процеса на обръщението, извършващи се независимо един от друг, но преплитащи се помежду си. Самата сложност на процеса дава също така многобройни основания за неговия ненормален ход.

 

2) ДОБАВЪЧНИЯТ ПОСТОЯНЕН КАПИТАЛ

 

Принаденият продукт, носителят на принадената стойност, не костува нищо на неговите присвоители, на капиталистите от I подразделение. Не е нужно те да авансират в никаква форма нито пари, нито стоки, за да го получат. Авансът (avance) още у физиократите е всеобщата форма на стойността, овеществена в елементи на производителен капитал. Следователно те авансират само своя постоянен и променлив капитал. Със своя труд работникът не само им запазва постоянния капитал, той не само възстановява тяхната променлива капиталова стойност посредством съответстваща новосъздадена стойностна част във формата на стока; чрез своя принаден труд той освен това им доставя принадена стойност, съществуваща във формата на принаден продукт. Продавайки последователно този принаден продукт, те образуват съкровище, добавъчен потенциален паричен капитал. В разглеждания тук случай този принаден продукт от самото начало се състои от средства за производство на средства за производство. Едва в ръцете на В, В', В" и т. н. (I) този принаден продукт функционира като добавъчен постоянен капитал; но потенциално той е такъв, преди да бъде продаден, още в ръцете на натрупвачите на съкровище А, А', А" (I). Докато разглеждаме само стойностния размер на възпроизводството на страната на I, ние се намираме още в пределите на простото възпроизводство, защото никакъв добавъчен капитал не е приведен в движение, за да създаде този потенциален добавъчен постоянен капитал (принадения продукт), не е приведено в движение и по-голямо количество принаден труд освен онова, което е било изразходвано на основата на простото възпроизводство. Разликата се заключва тук само във формата на приложения добавъчен труд, в конкретната природа на неговия специфичен полезен характер. Той е бил изразходван за средства за производство за Ic вместо за IIc, за средства за производство на средства за производство, а не за средства за производство на средства за потребление. При простото възпроизводство се приемаше, че цялата принадена стойност на I подразделение се изразходва като доход, следователно за стоки на II подразделение; следователно тя се състоеше само от такива средства за производство, които трябваше да възстановят постоянния капитал IIc в неговата натурална форма. Следователно, за да се премине от простото към разширеното възпроизводство, производството на подразделение I трябва да бъде в състояние да създава по-малко елементи на постоянния капитал за II подразделение, но в същата степен повече за I подразделение. Този преход, който не винаги се извършва без затруднение, се улеснява от факта, че някои продукти на I подразделение могат да служат като средства за производство в двете подразделения.

От това следва — ако се разглежда въпросът само откъм стойностната величина, — че в рамките на простото възпроизводство се създава материалният субстрат на разширеното възпроизводство. Той е просто принаденият труд на работниците от I подразделение, изразходван непосредствено за производството на средства за производство, за създаване на потенциален добавъчен капитал на I подразделение. Следователно образуването на потенциален добавъчен паричен капитал на страната на А, А', А" (I) — чрез последователна продажба на техния принаден продукт, който се образува без какъвто и да било капиталистически разход на пари — представлява тук просто паричната форма на допълнително произведени средства за производство I.

И така, производството на потенциален добавъчен капитал в нашия случай (защото както ще видим, той може да се образува и съвсем иначе) не изразява нищо друго освен явление на самия производствен процес: производство — в определена форма — на елементи на производителния капитал.

Следователно производството на добавъчен потенциален паричен капитал в голям мащаб — в множество пунктове на периферията на обръщението — не е нищо друго освен резултат и израз на многостранно производство на потенциален добавъчен производителен капитал, самото възникване на който не предполага никакви добавъчни парични разходи от страна на промишлените капиталисти.

Последователното превръщане на този потенциален добавъчен производителен капитал в потенциален паричен капитал (съкровище) от страна на А, А', А" и т. н. (I), което е обусловено от последователната продажба на техния принаден продукт — следователно от повтаряна едностранна продажба на стока без допълваща я покупка, — се извършва посредством повтаряно изтегляне на пари от обръщението и съответстващо на него образуване на съкровище. Това образуване на съкровище — с изключение на случая, когато купувач е производителят на злато — съвсем не предполага добавъчно богатство във вид на благородни метали, а само изменение на функцията на намиращите се дотогава в обръщение пари. До този момент те са функционирали като средство за обръщение, сега те функционират като съкровище, като образуващ се потенциално нов паричен капитал. Следователно образуването на добавъчен паричен капитал и количеството на намиращия се в страната благороден метал не стоят в причинна връзка помежду си.

От това следва по-нататък: колкото по-голям е производителният капитал, който вече функционира в дадена страна (като се смята и присъединяваната към него работна сила, производителка на принадения продукт), колкото по-развита е производителната сила на труда, а с това и техническите средства за бързо разширяване на производството на средства за производство и следователно колкото по-голяма е и масата на принадения продукт както по стойност, така и по количество на потребителните стойности, в които той е изразен, толкова по-големи са:

1) потенциално добавъчният производителен капитал във формата на принаден продукт в ръцете на А, А', А" и т. н. и

2) масата на този принаден продукт, превърнат в пари, следователно на потенциално допълнителния паричен капитал в ръцете на А, А', А". Следователно, ако например Фулертън не иска и да чуе за свръхпроизводство в обикновения смисъл, но признава свръхпроизводство на капитал, именно на паричен капитал, това още веднъж доказва, че дори най-добрите буржоазни икономисти разбират крайно малко от механизма на своята система.

Ако принаденият продукт, непосредствено произвеждан и присвояван от капиталистите A, A', A" (I), представлява реалната база на натрупването на капитал, т. е. на разширеното възпроизводство, макар че той ще функционира активно в тази роля едва в ръцете на В, B', В" и т. н. (I) — то, напротив, в своя паричен пашкул —  като съкровище и само постепенно образуващ се потенциален паричен капитал — той е абсолютно непроизводителен, движи се в тази форма паралелно на производствения процес, лежи обаче вън от него. Той е мъртъв товар (dead weight) на капиталистическото производство. Жаждата да се използва тази принадена стойност, натрупвана във формата на съкровище във вид на потенциален паричен капитал, за да се получава печалба и доход, намира удовлетворение в кредитната система и в „хартийките“*3. По този път паричният капитал в друга форма придобива грамадно влияние върху хода и мощното развитие на капиталистическата производствена система.

Количеството на принадения продукт, превърнат в потенциален паричен капитал, ще бъде толкова по-голямо, колкото по-голяма е била общата сума на вече функциониращия капитал, от функционирането на който е произлязъл този продукт. Но при абсолютното увеличение на размерите на ежегодно възпроизвеждания потенциален паричен капитал става по-лесна и неговата сегментация, така че той може по-скоро да бъде вложен в отделно предприятие, намиращо се в ръцете било на същия капиталист или на друг (например членове на неговото семейство при делба на наследство и т. н.). Сегментация на паричен капитал означава тук, че той се отделя напълно от първоначалния капитал, за да бъде вложен като нов паричен капитал в ново самостоятелно предприятие.

Ако продавачите на принадения продукт А, А', А" и т. н. (I) са го получили като непосредствен резултат на производствения процес, който освен необходимото и при просто възпроизводство авансиране за постоянен и променлив капитал не предполага по-нататъшни актове на обръщение; ако те освен това създават по този начин реалната база на възпроизводството в разширен мащаб и действително произвеждат потенциално добавъчен капитал, то, напротив, положението на В, В', В" и т. н. (I) е друго. 1) Едва в техните ръце принаденият продукт на А, А', А" и т. н. ще функционира активно като добавъчен постоянен капитал (другия елемент на производителния капитал, добавъчната работна сила, следователно добавъчния променлив капитал, засега оставяме настрана); 2) за да попадне принаденият продукт в техните ръце, необходим е акт на обръщението, те трябва да купят принадения продукт.

Към пункт 1) тук трябва да се отбележи, че голяма част от принадения продукт (от потенциално добавъчния постоянен капитал), произведен от A, A', A" (I), наистина е произведена през текущата година, но може да функционира активно като промишлен капитал в ръцете на В, В', В" (I) едва през следващата година или дори по-късно; към пункт 2) стои въпросът, откъде се вземат парите, необходими за процеса на обръщението?

Доколкото продуктите, произвеждани от В, В', В" и т. н. (I), сами отново влизат in natura в същия производствен процес, разбира се от само себе си, че pro tanto част от техния собствен принаден продукт се пренася направо (без посредството на обръщението) в техния производителен капитал и влиза в него като добавъчен елемент на постоянния капитал. Но pro tanto те не съдействат и за превръщането в пари на принадения продукт на А, А' и т. н. (I). Ако оставим това настрана, откъде тогава се вземат парите? Ние знаем, че В, В', В" и т. н. (I) са образували свое съкровище, както и А, А’ и т. н. чрез продажба на съответни техни принадени продукти и сега са достигнали момента, когато техният натрупан във вид на съкровище само потенциален паричен капитал трябва действително да започне да функционира като добавъчен паричен капитал. Но така само се въртим около въпроса. Както преди, остава въпросът, откъде се вземат парите, които капиталистите В (I) са изтеглили по-рано от обръщението и са ги натрупали.

Но още от изследването на простото възпроизводство ние знаем, че в ръцете на капиталистите от I и II подразделение трябва да се намира известно количество пари, за да се извърши обмяната на техния принаден продукт. Парите, които служеха само за изразходване като доход за средства за потребление, се връщаха там обратно у капиталистите в степента, в която капиталистите ги авансираха за обмяната на съответните си стоки; тук се появяват пак същите пари, но тяхната функция се е изменила. Капиталистите А и В (I) си доставят последователно един на друг парите за превръщането на принадения продукт в добавъчен потенциален паричен капитал и ту едните, ту другите отново хвърлят в обръщението новообразувания паричен капитал като покупателно средство.

Единствената предпоставка тук се състои в това, количеството на намиращите се в страната пари (бързината на обръщението и пр. се приемат за неизменни) да е достатъчно както за активното обръщение, така и за образуване на резервно съкровище —  следователно същата предпоставка, която, както видяхме, трябва да е налице и при просто стоково обръщение. Само функцията на съкровищата тук е друга. Освен това количеството на наличните пари трябва да бъде по-голямо: 1) защото при капиталистическото производство всеки продукт (с изключение на новопроизвежданите благородни метали и малкото продукти, потребявани от самия производител) се произвежда като стока, следователно трябва да премине през стадия на парична какавида; 2) защото на капиталистическа основа масата на стоковия капитал и величината на неговата стойност не само са абсолютно по-големи, но и нарастват с несравнено по-голяма бързина; 3) постоянно нарастващ променлив капитал трябва постоянно да се превръща в паричен капитал; 4) защото образуването на нови парични капитали върви в крак с разширяването на производството, следователно трябва да е налице и материалът за тяхното натрупване във формата на съкровище. — Ако това без друго важи за първата фаза на капиталистическото производство, когато и кредитната система се придружава от предимно металическо обръщение, толкова повече то важи и за най-развитата фаза на кредитната система, доколкото нейна база остава металическото обръщение. От една страна, тук добавъчното производство на благородните метали, доколкото то е последователно ту по-изобилно, ту по-оскъдно, може да предизвика нарушаващо въздействие върху стоковите цени не само за сравнително по-дълги, но и за много кратки периоди; от друга страна, целият механизъм на кредита постоянно е зает с това, чрез всевъзможни операции, методи, технически приспособления да сведе действителното метално обръщение до един относително все повече намаляващ минимум, в резултат на което съответно расте изкуствеността на целия механизъм и се увеличават шансовете за нарушения на неговия нормален ход.

Различните В, В', В" и т. н. (I), чийто потенциален нов паричен капитал влиза в действие, могат да купуват един от друг и да продават един на друг своите продукти (части от своя принаден продукт). При нормален ход парите, авансирани за обръщението на принадения продукт, pro tanto се връщат у различните В в същата пропорция, в която всеки от тях е авансирал тези пари за обръщението на съответните свои стоки. Ако парите извършват обръщение като платежно средство, ще трябва да се плаща само разликата в плащанията, доколкото взаимните покупки и продажби не се покриват. Но важно е навсякъде, както става тук, да се приеме първо като предпоставка металното обръщение в неговата най-проста, най-първоначална форма, защото с това протичането на парите в дадена посока и обратно, изравняването на разликата, накратко, всички моменти, които при кредитната система изглеждат съзнателно урегулирани процеси, тук се явяват като съществуващи независимо от кредитната система и нещата се представят в своята саморасла форма, а не в по-късно отразената.

 

3) ДОБАВЪЧНИЯТ ПРОМЕНЛИВ КАПИТАЛ

 

Тъй като досега ставаше дума само за добавъчния постоянен капитал, сега ще трябва да се обърнем към разглеждането на добавъчния променлив капитал.

В книга I подробно е изложено по какъв начин на основата на капиталистическото производство винаги се намира в запас работна сила и по какъв начин при нужда може да се приведе в движение повече труд без увеличаване броя на заетите работници или масата на работната сила. Ето защо тук не е необходимо да се спираме повече на това; напротив, трябва да приемем, че частта от новообразувалия се паричен капитал, превръщаема в променлив капитал, винаги намира работната сила, в която трябва да се превърне. В книга I е също така изложено, че даден капитал може без натрупване да разширява в известни граници размерите на своето производство. Но тук става дума за натрупване на капитал в специфичния смисъл, така че разширяването на производството е обусловено от превръщане на принадена стойност в добавъчен капитал, следователно и от увеличаване на капитала, който представлява основа на производството.

Производителят на злато може да натрупва част от своята златна принадена стойност като потенциален паричен капитал; щом тази част достигне необходимата величина, той може непосредствено да я превърне в нов променлив капитал, без за тази цел да е нужно предварително да продава своя принаден продукт; също така той може да превърне тази част в елементи на постоянния капитал. Обаче в последния случай той трябва да намери тези вещни елементи на своя постоянен капитал, при което е безразлично дали всеки производител работи, както приемахме в предидущото изложение, за да складирва, а след това да изнася своите готови стоки на пазара, или работи по поръчка. И в двата случая се приема реално разширение на производството, т. е. приема се принаден продукт, който в първия случай е действително налице, а във втория случай съществува потенциално, може да бъде доставен.

 

II. НАТРУПВАНЕ В ПОДРАЗДЕЛЕНИЕ II

 

Досега приемахме, че A, A', A" (I) продават своя принаден продукт на В, В', В" и т. н., принадлежащи към същото подразделение I. Но да приемем, че A (I) превръща в пари своя принаден продукт, като го продава на В от подразделение II. Това може да стане само ако A (I), след като продаде на В (II) средства за производство, не купи след това средства за потребление, следователно само вследствие на едностранна продажба от негова страна. Доколкото IIc може да се превръща от формата на стоков капитал в натуралната форма на производителен постоянен капитал само чрез това, че не само Iv, но поне и част от Im се обменя срещу част от IIc, съществуващо във формата на средства за потребление; а сега А превръща в пари своето Im само чрез това, че тази обмяна не се извършва, а, напротив, парите, получени от II чрез продажбата на своето Im, нашият А изтегля от обръщението, вместо да ги употреби за покупка на средства за потребление IIc — то наистина на страната на A (I) става образуване на добавъчен потенциален паричен капитал; но на другата страна залежава във формата на стоков капитал, равна по стойностна величина част от постоянния капитал на В (II), която не може да се превърне в натуралната форма на производителен постоянен капитал. С други думи : част от стоките на В (II), и при това prima facie онази част, без продажбата на която B(II) не може да превърне целия свой постоянен капитал отново в производителна форма, не намира пласмент; поради това по отношение на тази част е налице свръхпроизводство, което пак по отношение на тази част затруднява възпроизводството дори в неизменен мащаб.

И така, в този случай добавъчният потенциален паричен капитал на страната на A (I) представлява наистина принаден продукт (принадена стойност), приел формата на пари, но принаденият продукт (принадената стойност), разглеждан като такъв, представлява в дадения случай явление на просто възпроизводство, а още не на възпроизводство в разширен мащаб. I(v+m) — за което казаното важи във всеки случай за известна част от m — в края на краищата трябва да бъде обменено срещу IIc, за да може възпроизводството на IIc да се извършва в неизменни размери. A (I) чрез продажбата на своя принаден продукт на В (II) е доставил на В (II) съответна част от стойността на постоянния капитал в натурална форма, но в същото време, като изтегля парите от обръщението и не допълня своята продажба със следваща я покупка, той е направил невъзможна продажбата на равна по стойност част от стоката на В (II). Следователно, ако имаме предвид цялото обществено възпроизводство, което еднакво обхваща капиталистите от I и II подразделение, превръщането на принадения продукт на А (I) в потенциален паричен капитал изразява невъзможността на обратното превръщане в производителен (постоянен) капитал за равен по стойностна величина стоков капитал на В (II); следователно изразява не възможност за производство в разширен мащаб, а нарушение на простото възпроизводство, следователно дефицит в простото възпроизводство. Тъй като образуването и продажбата на принадения продукт на А (I) сами са нормални явления на простото възпроизводство, тук имаме още на основата на простото възпроизводство следните взаимно обуславящи се явления: образуване на потенциален добавъчен паричен капитал в I (поради това недопотребление от гледна точка на II); залежаване във II на стокови запаси, които не могат да бъдат обратно превърнати в производителен капитал (следователно относително свръхпроизводство във II); излишък от паричен капитал при I и дефицит във възпроизводството при II.

Без да се спираме по-дълго на този пункт, ще отбележим само следното: При излагането на простото възпроизводство приемахме, че цялата принадена стойност на I и II подразделение се изразходва като доход. Но в действителност част от принадената стойност се изразходва като доход, друга част се превръща в капитал. Само при такава предпоставка става действително натрупване. Предпоставката, че натрупването става за сметка на потреблението, разбирано в такава обща форма, само по себе си представлява илюзия, противоречаща на същността на капиталистическото производство, тъй като така се подразбира, че цел и подбудителен мотив на последното е потреблението, а не получаването на принадена стойност и нейната капитализация, т. е. натрупване.

***

Да разгледаме сега малко по-отблизо натрупването в подразделение II.

Първото затруднение по отношение на IIc, т. е. на неговото обратно превръщане от съставна част на стоковия капитал на II подразделение в натуралната форма на постоянен капитал на II, се отнася до простото възпроизводство. Да вземем предишната схема:

(1000v+1000m) I се обменят срещу

2000 IIc.

Ако например половината от принадения продукт на I, следователно 1000m/2, или 500 Im, отново се включва като постоянен капитал в подразделение I, то тази част от принадения продукт, задържана в I, не може да възстанови никаква част от IIc. Вместо да се превърне в средства за потребление (а тук в това подразделение на обръщението —  за разлика от възстановяването на 1000 IIc посредством 1000 Iv, извършвано чрез работниците на I подразделение — между I и II подразделение става действителна взаимна размяна, следователно двустранно преместване на стоките), тази част трябва да послужи като добавъчни средства за производство в самото I. Тя не може да изпълнява тази функция едновременно в I и II. Капиталистът не може да изразходва стойността на своя принаден продукт за средства за потребление и в същото време да потребява производително самия принаден продукт, т. е. да го присъединява към своя производителен капитал. И така, вместо 2000 I(v+m) срещу 2000 IIc могат да се обменят само 1500, именно (1000v+500m) I; следователно 500 IIc не могат да се превърнат от своята стокова форма в производителен (постоянен) капитал II. По този начин във II бихме имали свръхпроизводство, по своя размер точно отговарящо на размерите на разширението на производството в I. Възможно е свръхпроизводството във II да се отрази толкова силно върху I, че дори 1000, изразходвани от работниците от I подразделение за средства за потребление II, да се върнат обратно само отчасти, следователно тези 1000 да не се върнат във формата на променлив паричен капитал в ръцете на капиталистите от I подразделение. За тези последните дори възпроизводството в предишния мащаб би се оказало затруднено, и то само вследствие на опита за неговото разширяване. При това трябва да се има предвид, че фактически в I подразделение се е извършило само просто възпроизводство и че неговите елементи, както те са представени в нашата схема, само са групирани по друг начин с цел то да бъде разширено в бъдеще, например през следващата година.

Би могло да се направи опит за заобикаляне на това затруднение по следния начин: 500 IIc, които лежат на склад у капиталистите и които не могат да бъдат непосредствено превърнати в производителен капитал, съвсем не са свръхпроизводство, а, напротив, представляват необходим елемент на възпроизводството, който ние досега не сме вземали под внимание. Ние видяхме, че паричен запас трябва да се натрупва в много пунктове, следователно пари трябва да се изтеглят от обръщението, отчасти за да стане възможно образуването на нов паричен капитал в самото I, отчасти за да може стойността на постепенно потребявания основен капитал да се задържа известно време в парична форма. Но тъй като при изобразяването на схемата се приема, че всички пари и всички стоки от самото начало се намират изключително в ръцете на капиталистите от I и II, и тъй като при това не съществуват нито търговци на стоки, нито търговци на пари, нито банкери, нито такива класи, които само потребяват и не вземат непосредствено участие в производството на стоки, то за да бъде механизмът на възпроизводството винаги в ход, тук е необходимо постоянно образуване на стокови запаси у самите съответни производители. Следователно 500 IIc, които лежат на склад у капиталистите от II подразделение, представляват стоков запас от средства за потребление, който осигурява непрекъснатостта на процеса на потреблението, включващ се във възпроизводството, следователно в дадения случай осигурява прехода от една година към друга. Фондът на потреблението, който тук се намира още в ръцете на неговите продавачи и заедно с това производители, не може в дадената година да се съкрати до нула, та следващата година да започне от нула, тъй както това е невъзможно при прехода от днешния ден към утрешния. Тъй като такива стокови запаси трябва постоянно да се образуват отново, макар техните размери да се изменят, нашите капиталистически производители от II подразделение трябва да разполагат с резервен паричен капитал, който им дава възможност непрекъснато да продължават производствения процес, макар част от техния производителен капитал временно да залежава в стокова форма. Защото според приетото от нас те съединяват в свои ръце цялата търговия с производството; следователно те трябва да разполагат и с такъв добавъчен паричен капитал, който при обособяване на отделните функции на процеса на възпроизводството като функции на различни категории капиталисти ще се намира в ръцете на търговците.

На това може да се възрази следното: 1) Такова образуване на запас и необходимостта от него важи за всички капиталисти —  както от I, така и от II подразделение. Разглеждани само като продавачи на стоки, те се отличават един от друг само по това, че продават различен вид стоки. Запасът в стоки във II подразделение предполага предварителен стоков запас в I подразделение. Не вземем ли под внимание този запас на едната страна, трябва да не го вземаме под внимание и на другата страна. Но ако ги вземаме под внимание на двете страни, проблемът никак не се изменя. — 2) Тъй както текущата година във II подразделение завършва със стоков запас за следващата година, така тя е започнала в същото II подразделение със стоков запас, преминал от изтеклата година. Следователно при анализа на годишното възпроизводство, сведено до неговия абстрактен израз, ние и в двата случая трябва да зачертаем стоковия запас. Ако отнесем цялото производство към текущата година, следователно и онази част, която тя предава на следващата година като стоков запас, но, от друга страна, приспаднем от нея стоковия запас, който тя е получила от предишната година, с това действително ще получим като предмет на нашия анализ целия среден годишен продукт. — 3) Простото обстоятелство, че при изследването на простото възпроизводство ние не се сблъсквахме със затруднението, което сега трябва да преодоляваме, доказва, че тук имаме работа със съвсем специфично явление, което се предизвиква само от другия начин на групиране (по отношение на възпроизводството) на елементите на I: изменено групиране, без което е изобщо невъзможно възпроизводство в разширен мащаб.

 

III. СХЕМАТИЧНО ИЗОБРАЗЯВАНЕ НА НАТРУПВАНЕТО

 

Сега ще разгледаме възпроизводството по следната схема:

Преди всичко забелязваме, че общата сума на годишния обществен продукт = 8252 е по-малка, отколкото в първата схема, където тя беше = 9000. Също така бихме могли да вземем много по-голяма сума, например бихме могли да я удесеторим. Ние взехме по-малка сума, отколкото в схема I, именно за да покажем с очевидност, че възпроизводството в разширен мащаб (което разбираме в дадения случай само като производство, водено с голям капитал) няма никаква връзка с абсолютната величина на продукта, че за дадена стокова маса то предполага само друго положение или друго функционално предназначение на различните елементи на дадения продукт, следователно по величина на стойността представлява отначало само просто възпроизводство. Изменя се не количеството, а качественото предназначение на дадените елементи на простото възпроизводство и това изменение е материалната предпоставка за следващото подир това възпроизводство в разширен мащаб58).

ch21-1

Бихме могли да представим тази схема иначе при друго съотношение между променлив и постоянен капитал, например в такъв вид:

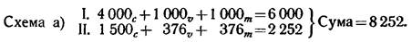
Схема b)

I. 4000c + 875v + 875m = 5750

II. 1750с + 376v+376m = 2502

Сума = 8252.

В такъв вид схемата като че ли е построена за просто възпроизводство, като че ли цялата принадена стойност се изразходва като до ход, а не се натрупва. И в двата случая, както при а), така и при b), имаме годишен продукт с еднаква стойностна величина, само че в случая b) неговите елементи се групират по своите функции така, че отново се започва възпроизводство в предишния мащаб, докато в случая а) се създава материалната основа за възпроизводство в разширен мащаб. Именно в схема b) (875v+875m) I = 1750 I(v+m) се обменят без остатък срещу 1750 IIc, докато в схема а) (1000v+1000m) I = 2000 l(v+m) при обмяната им срещу 1500 IIс дават излишък от 500 Im за натрупване в I подразделение.

Сега да преминем към по-близък анализ на схема а). Да приемем, че както в I, така и във II половината принадена стойност не се изразходва като доход, а се натрупва, т. е. превръща се в елемент на добавъчен капитал. Тъй като половината от 1000 Im= 500 трябва да бъде в една или друга форма натрупана, вложена като добавъчен паричен капитал, т. е. трябва да се превърне в добавъчен производителен капитал, като доход ще бъде изразходвано само (1000v+500m) I. Поради това като нормална величина IIc тук, на свой ред, фигурира само 1500. Обмяната между 1500 I(v+m)и 1500 IIc няма защо да се изследва по-нататък, защото като процес на простото възпроизводство тя вече е изложена; също така няма защо да се разглежда 4000 Iс, тъй като неговото ново разположение за новозапочващото възпроизводство (което този път се извършва в разширен мащаб) ние също вече разглеждахме като процес на простото възпроизводство.

И така, остава ни да изследваме тук само 500 Im и (376v+376m) II, доколкото се отнасят към въпроса, от една страна, вътрешните отношения в I и II, а от друга страна —- движението между двете. Тъй като приемаме, че във II подразделение също трябва да се натрупва половината принадена стойност, то в капитал трябва да се превърнат тук 188, от тях в променлив капитал 1/4=47, за да бъде сметката кръгла, да кажем, 48, останалите 140 трябва да се превърнат в постоянен капитал.

Тук се натъкваме на нов проблем, самото съществуване на който трябва да се покаже странно за разпространения възглед, според който един вид стоки се разменят срещу друг вид стоки, или, което е същото, стоки се разменят срещу пари, а тези пари отново се разменят срещу друг вид стоки. Тези 140 IIm могат да се превърнат в производителен капитал само защото се възстановяват от част на стоките Im на същата стойностна сума. От само себе си се разбира, че частта от Im, която се обменя срещу IIm, трябва да се състои от средства за производство, които могат да влязат както в производството на I, така и в производството на II или пък изключително в производството на II. Такова възстановяване може да стане само чрез едностранна покупка от страна на II, тъй като целият принаден продукт 500 Im, който ни остава още да изследваме, трябва да служи за натрупване в пределите на I, следователно не може да бъде обменен срещу стоки на II; с други думи, I подразделение не може едновременно и да го натрупва, и да го изяжда. Следователно II трябва да купи 140 Im с налични пари, при което тези пари няма да се върнат в него посредством последваща продажба на негова стока на I подразделение. И този процес се повтаря постоянно при всяко ново годишно производство, доколкото то е възпроизводство в разширен мащаб. Къде е източникът на пари за тази цел във II подразделение?

II, напротив, изглежда във висша степен неблагодарна почва за образуването на нов паричен капитал, което придружава действителното натрупване и го обуславя при капиталистическото производство, при което фактически това образуване на нов паричен капитал се явява отначало във вид на просто образуване на съкровище.

Преди всичко имаме 376 IIv; паричният капитал от 376, авансиран за работна сила, посредством покупки на стоки на II постоянно се връща у капиталиста от II подразделение като променлив капитал в парична форма. Това постоянно повтарящо се отдалечаване от изходния пункт — джоба на капиталиста — и връщане в него никак не увеличава количеството на парите, които извършват този кръгооборот. Следователно то не е източник на натрупване на пари; тези пари не могат и да бъдат изтеглени от обръщение, за да образуват натрупван като съкровище потенциално нов паричен капитал.

Но стойте! Не може ли от това да се изкара печалбица?

Не трябва да забравяме, че II подразделение има предимството пред I подразделение, че заетите у него работници трябва отново да купуват неговите стоки, произведени от самите тях. II подразделение е купувач на работна сила и в същото време продавач на стоки на притежателите на работната сила, прилагана в това подразделение. Следователно II подразделение може:

1) — и това важи общо за него и за капиталистите от I подразделение — просто да понижава работната заплата под нейното нормално средно равнище. Вследствие на това се освобождават част от парите, които са функционирали като парична форма на променливия капитал, и при постоянно повтаряне на същия процес това би могло да стане нормален източник за образуване на съкровища, а следователно и източник за образуване на потенциално добавъчен паричен капитал във II подразделение. Естествено, тук, където става дума за нормално образуване на капитал, ние не се занимаваме със случайна мошеническа печалба. Но не трябва да се забравя, че действително плащаната нормална работна заплата (която ceteris paribus*4 определя величината на променливия капитал) съвсем не се плаща поради добрината на капиталистите, а защото при дадени отношения тя трябва да бъде платена. С това този начин на обяснение отпада. Ако приемаме, че променливият капитал, който трябва да бъде изразходван от II подразделение, е 376v, не можем, за да обясним новопоявила се проблема, изведнъж да издигнем хипотезата, че II подразделение авансира само 350v, а не 376v.

2) Но, от друга страна, както вече казахме, II подразделение, разглеждано като цяло, има предимството пред I подразделение, че то е едновременно купувач на работна сила и продавач на своите стоки на собствените си работници. Как може да се експлоатира това предимство — как може нормално да се изплаща обикновената работна заплата, докато в действителност част от нея, без съответен стоков еквивалент, се отнема обратно, alias,*5 се краде от работниците; как това може да се извършва отчасти посредством trucksystem*6, отчасти посредством фалшифициране на средствата за обръщение (макар тази фалшификация и да остава понякога неуловима от закона), — за тези неща има най-безспорни данни във всяка промишлена страна, например в Англия и Съединените щати. (По този случай следва да се приведат няколко подходящи примера.) Това е същата операция, както и в случай 1), само замаскирана и извършвана по околен път. Следователно тя също така трябва да бъде отхвърлена, както и онази. Тук става дума не за номинално, а за действително плащана работна заплата.

Виждаме, че при обективния анализ на капиталистическия механизъм няма нужда да се ползваме от лежащи върху него известни позорни петна от извънреден характер като средство за отстраняване на теоретически затруднения. Но болшинството от моите буржоазни критици странно крещят, че аз например в книга I на „Капиталът“, като приемам, че капиталистът плаща действителната стойност на работната сила — което той в повечето случаи не прави, —  съм извършил несправедливост по отношение на същия този капиталист! (Тук може с приписваното ми великодушие да се цитира Шефле.)

И така, с 376 IIv за споменатата цел нищо не може да се направи.

Но за 376 IIm положението изглежда още по-съмнително. Тук си противостоят само капиталисти от едно и също подразделение, които продават един на друг и купуват един от друг произведените от тях средства за потребление. Необходимите за тази обмяна пари функционират като средство за обръщение и при нормален ход на нещата трябва да се връщат у участниците в този размер, в който те са ги авансирали за обръщението, и след това отново да изминават постоянно същия път.

Изтеглянето на тези пари от обръщението за образуване на потенциално добавъчен паричен капитал изглежда възможно само по два начина. Или част от капиталистите на II подразделение изиграва другата и по този начин извършва кражба на пари. Както знаем, за образуването на нов паричен капитал не е нужно предварително увеличение на количеството на средствата за обръщение; за това не се изисква нищо друго, освен да се изтеглят от известни страни парите от обръщението и да се натрупват във вид на съкровище. Обстоятелството, че парите могат да бъдат откраднати и поради това образуването на добавъчен паричен капитал у едната част от капиталистите от II подразделение може да се съединява с пряка загуба на пари у другата част, няма нищо общо с въпроса. Измамената част от капиталистите от II подразделение ще трябва да живее по-малко разпуснато, и това е всичко.

Или пък част от IIm, която се състои от необходими средства за живот, направо се превръща в нов променлив капитал в пределите на подразделение II. Как става това — ще изследваме в края на тази глава (в № IV).

 

1) ПЪРВИ ПРИМЕР

 

ch21-2

Ако приемем, че в схема В) се натрупва половината от принадената стойност на I, т. е. 500, ще получим преди всичко, че (1000v+500m) I, или 1500 I(v+m), трябва да бъдат възстановени посредством 1500 IIc; в I остава след това 4000c + 500m, от които последните подлежат на натрупване. Възстановяването на (1000v+500m) I посредством 1500 IIc представлява процес на простото възпроизводство и вече беше обяснено при изследването на последното.

Да приемем, че 400 от 500 Im трябва да се превърнат в постоянен капитал, 100 — в променлив. Обмяната в пределите на I подразделение на тези 400m, които по този начин подлежат на капитализация, вече разгледахме; следователно тези 400m без друго могат да бъдат присъединени към Ic и тогава ще получим за I:

4400c+1000v+100m (които трябва да бъдат обменени срещу 100v)

II на свой ред, с цел за натрупване, купува от I тези 1001m (съществуващи във вид на средства за производство), които образуват сега добавъчен постоянен капитал на II, докато 100 в пари, които II е платило за тези средства за производство, се превръщат в парична форма на добавъчен променлив капитал на I. Тогава за I имаме капитал 4400c+1100v (последните във вид на пари) = 5500.

II има сега за постоянен капитал 1600c; за неговата обработка то трябва да прибави още 50v в пари за купуване на нова работна сила, така че неговият променлив капитал ще нарасне от 750 на 800. Това разширение на постоянния, както и на променливия капитал на II подразделение с общо 150 се покрива от неговата принадена стойност; следователно от 750 IIm само 600m остават като потребителен фонд на капиталистите от II подразделение, годишният продукт на които се разпределя сега по следния начин:

II. 1600c+800v+600m (потребителен фонд) = 3000.

150m, произведени във вид на средства за потребление и обменени тук срещу (100c+50v) II, в своята натурална форма изцяло отиват за потребление на работниците: 100 се потребяват от работниците на I (100 Iv), а 50 — от работниците на II (50 IIv) както бе показано по-горе. В действителност във II подразделение, целият продукт на което се изготвя в необходима за натрупването форма, една част от принадената стойност, увеличена със 100, трябва да бъде възпроизведена във вид на необходими средства за потребление. Ако действително започва възпроизводството в разширен мащаб, тези 100 променлив паричен капитал на I, като минат през ръцете на неговите работници, се връщат във II; напротив, II предава 100m във вид на стоков запас на I и в същото време предава 50 във вид на стоков запас на собствените си работници.

Разположението, изменено с цел да се натрупва, се представя сега в следния вид:

ch21-3

От това капитал са:

ch21-40

докато производството започна с:

ch21-41

Ако действителното натрупване става сега на тази основа, т. е. ако производството действително се води с този увеличен капитал, в края на следващата година ще получим:

ch21-43

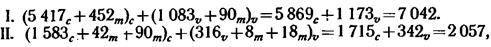
Натрупването в I ще продължава сега в същата пропорция; следователно 550m ще бъдат изразходвани като доход, а 550m ще бъдат натрупани. В такъв случай преди всичко 1100 Iv, ще бъдат възстановени посредством 1100 IIc; по-нататък трябва още да бъдат реализирани 550 Im в стоки на II на същата стойност, т. е. общо 1650 I(v+m). Но подлежащият на възстановяване постоянен капитал на II е равен само на 1600, следователно останалите 50 трябва да бъдат попълнени от 800 IIm. Ако временно оставим тук настрана парите, в резултат на такава сделка ще се получи следното:

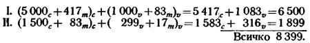
I. 4400c+550m (които подлежат на капитализиране); освен това в потребителния фонд на капиталистите и работниците 1650 (v+m), реализирани в стоки IIc.

II. 1650c (от тях 50, както се казва по-горе, добавени от IIm) +800v+750m (потребителен фонд на капиталистите).

Но ако във II между v и с се запазва предишната пропорция, за 50c ще трябва да се изразходват още 25v; те могат да се вземат от 750m; по този начин ще получим:

II. 1650c+825v+725m.

В I подразделение подлежат на капитализиране 550m; ако се запазва предишната пропорция, 440 от тях съставляват постоянен капитал и 110 променлив капитал. Тези 110 могат да бъдат взети евентуално от 725 IIm, т. е. средства за потребление на стойност 110 ще бъдат потребени от работниците на I подразделение вместо от капиталистите на II, следователно последните ще бъдат принудени да превърнат в капитал тези 110m, които те не могат да потребят. По този начин от 725 IIm остават 615 IIm. Но ако II по такъв начин превръща тези 110 в добавъчен постоянен капитал, ще му бъдат нужни още 55 добавъчен променлив капитал; то ще трябва да ги вземе пак от своята принадена стойност; ако се приспаднат те от 615 IIm,за потреблението на капиталистите от II подразделение ще останат 560; след извършването на всички тези действителни и потенциални премествания ще получим такава капиталова стойност:

ch21-7

За да вървят работите нормално, натрупването във II подразделение трябва да се извършва по-бързо, отколкото в I, тъй като частта от I(v+m), която трябва да бъде обменена срещу стоки IIc, иначе би нараствала по-бързо от IIс, само срещу което тя може да бъде обменена.

Ако възпроизводството на такава основа и при равни други условия продължава, в края на следващата година получаваме:

ch21-8

При неизменна норма на делението на принадената стойност в I  подразделение предстои преди всичко да се изразходват като доход 1210v и половината от m= 605, всичко 1815. Този потребителен фонд пак е с 55 по-голям от IIc. Ако тези 55 се приспадат от 880m, ще останат 825. Щом 55 IIm се превръщат във IIc, това предполага по-нататъшно приспадане от IIm за съответен променлив капитал =27 1/2; остават за потребление 797 1/2 IIm.

Сега предстои в I да се капитализират 605m; от тях 484 постоянен капитал и 121 променлив; последните трябва да бъдат приспаднати от IIm, което сега = 797 1/2; остават 676 1/2 IIm. Следователно II превръща в постоянен капитал още 121 и се нуждае за това от нов променлив капитал = 60 1/2; последният също така се взема от 676 1/2; остават за потребление 616.

Тогава ще имаме капитал:

ch21-9

а в края на годината ще имаме продукт:

ch21-10

Повтаряйки това изчисление и закръглявайки дробите, в края на следващата година ще получим продукт:

ch21-11

А в края на идващата след нея година:

ch21-12

В течение на пет години възпроизводство в разширен мащаб целият капитал на I и II подразделение е нараснал от 5500c+1750v=7250 на 8784с+2782v=11 566, следователно в отношение 100:160. Цялата принадена стойност първоначално беше 1750, сега тя възлиза на 2782. Потребената принадена стойност в началото беше 500 за I и 600 за II, всичко =1100, през последната година тя беше 732 за I и 746 за II, всичко = 1478. Тя следователно е нараснала в отношение 100:134.

 

2) ВТОРИ ПРИМЕР

 

Да вземем сега годишния продукт от 9000, който изцяло се намира в ръцете на класата на промишлените капиталисти във вид на стоков капитал, във форма, при която общото средно отношение между променливия и постоянния капитал е 1:5. Това предполага: вече значително развитие на капиталистическото производство и съответно развитие на производителната сила на обществения труд; значително, станало вече преди това разширение на мащаба на производството; най-после, развитие на всички условия, които създават относително свръхнаселение в работническата класа. Годишният продукт ще се разпределя тогава, ако закръглим дробите, по следния начин:

ch21-20

Да приемем сега, че капиталистите от I подразделение потребяват половината от принадената стойност = 500, а другата половина натрупват. Тогава (1000v+500m)I = 1500 биха подлежали на обмяна срещу 1500 IIc. Но тъй като IIс възлиза в този случай само на 1430, 70 трябва да бъдат добавени от принадената стойност; като ги приспаднем от 285 IIm, получаваме остатък 215 IIm. Следователно имаме:

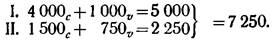
I. 5000с+500m (подлежащи на капитализиране) +1500(v+m) в потребителния фонд на капиталистите и работниците.

II. 1430с + 70m (подлежащи на капитализиране) +285v+215m.

Тъй като тук 70 IIm направо се присъединяват към IIc, то, за да се приведе в движение този добавъчен постоянен капитал, нужен е променлив капитал от 70/5 = 14; тези 14 се вземат пак от 215 IIm; остават 201 IIm, и ние имаме:

ch21-21

Обмяната на 1500 I(v+1/2m) срещу 1500 IIc е процес на простото възпроизводство и за него вече казахме. Обаче трябва тук да отбележим още някои особености, произтичащи от това, че при възпроизводство, съединено с натрупване, I се възстановява не само посредством IIc, но с IIc плюс част от IIm.

Разбира се от само себе си, че щом сме приели натрупване, I(v+m) е по-голямо от IIc, а не е равно на IIc, както при простото възпроизводство, защото: 1) I включва част от своя принаден продукт в собствения си производителен капитал и превръща 5/6 от тази част в постоянен капитал, следователно не може в същото време да възстанови тези 5/6 чрез средства за потребление II; 2) от своя принаден продукт I трябва да достави материала за постоянния капитал, необходим за натрупването в пределите на II подразделение — точно тъй, както II трябва да достави на I материала за променливия капитал, който трябва да приведе в движение онази част от принадения продукт на I, която самото I прилага като принаден постоянен капитал. Ние знаем, че действителният променлив капитал, следователно и добавъчният, се състои от работна сила. Капиталистът от I не трябва да купува от II необходими средства за живот за запас или да ги натрупва за добавъчната работна сила която предстои да прилага, както е трябвало да прави това робовладелецът. С II имат работа самите работници. Но това не пречи на обстоятелството, че от гледна точка на капиталиста средствата за потребление на добавъчната работна сила представляват само средства за производството и поддържането на неговата евентуална допълнително наемана работна сила, следователно натуралната форма на неговия променлив капитал. Неговата собствена най-близка операция, в дадения случай изпълнявана от I, се състои само в това, че той трупа новия паричен капитал, който е необходим за купуването на добавъчна работна сила. Щом той я присъедини към своя капитал, парите стават за тази работна сила средство за покупка на стоките на II; следователно те трябва да намерят съответните средства за потребление.

Между другото. Господин капиталистът и неговата преса често са недоволни от начина, по който работната сила изразходва своите пари, и от стоките на II, в които тя реализира тези пари. Той философства по този повод, дърдори за култура, застава в позата на филантроп, както прави това например г. Дръмонд, секретар на английското посолство във Вашингтон. „The Nation“ {вестник} в края на октомври 1879 г. помести интересна статия, в която между другото се казва:

„В културно отношение работниците са изостанали от прогреса на изобретенията; за тях са станали достъпни множество предмети, употребата на които им е неизвестна и за които те следователно не създават пазар“ {Всеки капиталист, разбира се, желае работникът да купува неговата стока.} „Няма никакво основание работникът да не желае да живее в съшия комфорт като свещеника, адвоката или лекаря, който получава толкова, колкото и той.“ {Наистина, много комфорт могат да си позволят при желание такъв род адвокати, свещеници и лекари!} „Но той не прави това. Въпросът все още е в това, по какъв начин с рационални и здрави мерки да се повиши неговото равнище като потребител; този въпрос не е лесен, защото цялото негово честолюбие не отива по-далеч от намаляване на работните часове, и демагозите по-скоро го подстрекават именно към това вместо към подобряване на неговото положение посредством усъвършенстване на неговите умствени и морални способности“ („Reports of Н. М., s Secretaries of Embassy and Legation on the Manufactures, Commerce etc. of the Countries in which they reside“, London, 1879, p. 404)

Дългият работен ден, както изглежда, е тайната на рационалните и здрави мерки, които трябва да издигнат положението на работника, усъвършенствайки неговите умствени и нравствени способности, и да го направят рационален потребител. За да стане рационален потребител на стоките на капиталиста, работникът трябва да започне — но на това пречи демагогът! — с това, да позволи на своя собствен капиталист да потребява неговата работна сила по нерационален и вреден за здравето начин. Как капиталистът разбира рационалното потребление, това показва trucksystem, при която благосклонността на капиталиста се простира дотам, че той пряко се намесва в потреблението на своите работници, при което една от многобройните разновидности на това е даването на квартири на работниците, така че капиталистът става същевременно и жилищен наемодател на своите работници.

Същият този Дръмонд, чиято прекрасна душа изпада във възторг от капиталистическите опити за повишаване на равнището на работническата класа, разказва в същия отчет между другото за образцовите предачни фабрики на Лоуел и Лорънс Милс. Столовете и жилищните помещения за фабричните момичета принадлежат на същото акционерно дружество, на което принадлежат и самите фабрики: завеждащите тези домове са на служба при същото дружество, което предписва правилата на тяхното поведение; нито едно момиче не смее да се връща в къщи по-късно от 10 часа вечерта. Но ето ви бисер: специална полиция на дружеството патрулира в околните места и бди да не се нарушава този жилищен устав. След 10 часа вечерта нито една от девойките не се пуска да излиза от жилището и да влиза в него. Всяка девойка непременно трябва да живее на територията, принадлежаща на дружеството, на което всеки дом на тази територия носи седмично около 10 долара жилищен наем и тук виждаме рационалните потребители в целия им блясък.

„Тъй като в много от добрите жилищни сгради за работничките се намира вездесъщото пиано, то музиката, пеенето и танците играят съществена роля поне за онези от тях, конто след монотонната непрекъсната десетчасова работа при тъкачния стан се нуждаят повече от промяна, отколкото от действителна почивка“ (стр. 412).

Но главната тайна как от работника трябва да се направи рационален потребител, идва сега. Господин Дръмонд посетил ножарската фабрика Turners Falls (Connecticut River), при което господин Окман, касиер на акционерното дружество, след като му разказва, че американските ножове за маса бият по своите качества английските, продължава:

„Ние ще бием Англия и по цени, ние и сега я превъзхождаме вече по качество, това е признато; но ние трябва да продаваме на по-ниски цени и ще постигнем това, тъй като получаваме по-евтино нашата стомана и понижаваме възнаграждението за труда!“ (стр. 427.)

Понижаване на работната заплата и дълъг работен ден — в това се състои цялата същност на рационалните и здрави мерки, които трябва да въздигнат работника в ранг на рационален потребител, за да създаде той пазар за маса предмети, които културата и прогресът на изобретенията са направили достъпни за него.

Следователно, както I подразделение трябва да достави от своя принаден продукт добавъчния постоянен капитал на II, така II подразделение доставя в този смисъл добавъчния променлив капитал за I. Доколкото става дума за променливия капитал, II натрупва за I и за самото себе си, като възпроизвежда по-голямата част от целия свой продукт, следователно и от своя принаден продукт, във формата на необходими средства за потребление.

При производство на основата на растящ капитал I(v+m) трябва да бъде равно на IIc плюс частта от принадения продукт, която се новоприсъединява към капитала, плюс добавъчната част от постоянен капитал, необходима за разширяването на производството във II; а минимумът на това разширение трябва да бъде такъв, без който е неосъществимо действителното натрупване, т. е. действителното разширение на производството в самото I.

Ако се върнем към последния разгледан от нас случай, той има особеността, че IIc е по-малко от I(v+1/2m), от частта на продукта на I, изразходвана като доход за средства за потребление, така че с обмяната на 1500 I(v+m) се реализира веднага и една част от принадения продукт на II = 70. Що се отнася до IIc= 1430, то, за да се извърши просто възпроизводство във II, трябва при неизменни други условия да бъде възстановено из I(v+m) на същата стойност и затова няма да го разглеждаме тук. Иначе стои работата с допълващите 70 IIm. Това, което за I е просто заместване на доход чрез средства за потребление, просто стокова размяна с цел потребление, за II представлява тук не просто обратно превръщане на неговия постоянен капитал от формата на стоков капитал в неговата натурална форма, както е при простото възпроизводство, а пряк процес на натрупване, превръщане на част от неговия принаден продукт от формата на средства за потребление във формата на постоянен капитал. Ако I със 70 ф. ст. в пари (паричен резерв за обмяна на принадена стойност) купи тези 70 IIm, но II не купи след това 70 Im, а натрупва тези 70 ф. ст. като паричен капитал, то последният наистина винаги е израз на добавъчен продукт (именно на принадения продукт на II, част от който е той), макар и не такъв, който отново влиза в производството; но в такъв случай това натрупване на пари на страната на II в същото време би било израз на непродаваеми 70 Im във вид на средства за производство. Следователно в I би настъпило относително свръхпроизводство, съответстващо на едновременна невъзможност за разширяване на възпроизводството на страната на II.

Но независимо от това в продължение на времето, през което тези 70 в пари, излезли из ръцете на I, още не са се върнали в него или са се върнали само частично посредством акта на покупка на 70 Im от II подразделение, 70 в пари изцяло или отчасти фигурират в ръцете на II като добавъчен потенциален паричен капитал. Това важи за всяка обмяна между I и II, преди взаимно възстановяване на стоки от двете страни да е довело до възвръщане на парите в техния изходен пункт. Но при нормален ход на нещата парите фигурират тук в тази роля само временно. А при кредитната система, когато всички допълнително освободили се макар и за кратко време пари, веднага трябва да функционират активно като добавъчен паричен капитал, такъв само временно свободен паричен капитал може да бъде блокиран, например може да послужи за нови предприятия в I, докато той би трябвало да реализира залежалия се добавъчен продукт в други предприятия. Освен това трябва да се отбележи, че присъединяването на 70 Im към постоянния капитал на II изисква същевременно увеличение на променливия капитал на II с 14. Това предполага — както в I при непосредствена присъединяване на принаден продукт Im към капитала Ic, — че възпроизводството във II вече се извършва с тенденция за по-нататъшна капитализиране; следователно, че то съдържа в себе си увеличение на онази част от принадения продукт, която се състои от необходими средства за живот.

Както видяхме, във втория пример продуктът от 9000 трябва да се разпределя за целите на възпроизводството по следния начин, ако 500 Im трябва да бъдат капитализирани. При това ние вземаме под внимание само стоките и оставяме настрана паричното обръщение,

I. 5000c+500m (подлежащи на капитализиране) +1500(v+m) потребителен фонд = 7000 в стоки.

II. 1500с+299v+201m = 2000 в стоки. Обща сума 9000 в стоков продукт.

Капитализирането се извършва сега по следния начин:

В I капитализиращите се 500m се делят на 5/6 = 417c+1/6 = 83v. Тези 83v изтеглят също такава сума от IIm, с която се купуват елементи на постоянния капитал и която по този начин се присъединява към IIc. Увеличение на IIс с 83 обуславя увеличение на IIv с 1/5 от 83=17. И така, след обмяната имаме:

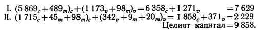
ch21-22

Капиталът в I е нараснал от 6000 на 6500, следователно с 1/19. Във II — от 1715 на 1899, следователно почти с 1/9.

Възпроизводството на такава основа през втората година дава в края на годината капитал:

ch21-23а

в края на третата година ще се получи продукт:

ch21-24

Ако I натрупва тук както преди половината от принадената стойност, I(v+1/2m) дава 1173v+587(1/2m)= 1760, следователно то е по-голямо от цялото 1715 IIc, и то с 45. Следователно тази разлика трябва да се покрие пак чрез пренасяне във IIс на средства за производство на равна сума. И така, IIс се увеличава с 45, което обуславя прираст във IIv с 1/5=9. След това капитализираните 587 Im се разделят на части от 5/6 и 1/6 на 489c и 98v; тези 98 обуславят във II нова добавка от 98 към постоянния капитал, а това на свой ред предизвиква увеличение на променливия капитал на II с 1/5 = 20. Тогава имаме:

ch21-25

Следователно при растящо възпроизводство целият капитал I за три години е нараснал от 6000 на 7629, капитал II е нараснал от 1715 на 2229, целият обществен капитал — от 7715 на 9858.

 

3) ОБМЯНА НА IIc ПРИ НАТРУПВАНЕ

 

И така, при размяната на I(v+m) срещу IIc са възможни различни случаи.

При простото възпроизводство двете тези величини трябва да бъдат равни и трябва да се възстановяват една друга, тъй като в противен случай, както видяхме по-горе, простото възпроизводство не може да се извършва безпрепятствено.

При натрупването е необходимо да се обърне внимание преди всичко на нормата на натрупването. Досега във всички случаи приемахме, че нормата на натрупването в I=1/2m I, а също така, че тя в различните години остава постоянна. Ние допускахме само изменение на пропорцията, в която този натрупан капитал се дели на постоянен и променлив. При това се получиха три случая:

1) I(v+1/2m) = IIc, което следователно е по-малко от I(v+m). Това винаги трябва да бъде така, иначе I не би натрупвало.

2) I(v+1/2m) е по-голямо от IIc. В този случай възстановяването се постига чрез това, че към IIc се присъединява съответна част от IIm, така че сумата е = I(v+1/2m). Тук обмяната за II не е просто възпроизводство на неговия постоянен капитал, а вече натрупване, увеличение на последния с частта от принадения продукт, която то разменя срещу средства за производство I; това увеличение в същото време предполага, че II освен това съответно увеличава своя променлив капитал, за източник на което му служи неговият собствен принаден продукт.

3) I(v+1/2m) е по-малко от IIc. В този случай II не възпроизвежда напълно своя постоянен капитал с помощта на обмяната и поради това трябва да възстанови недостига посредством покупка от I. Но това не предизвиква по-нататъшно натрупване на променлив капитал на II, тъй като неговият постоянен капитал посредством тази операция едва се възпроизвежда напълно по величина. От друга страна, онази част от капиталистите от I, която натрупва само добавъчен паричен капитал, чрез тази обмяна вече е извършила отчасти такъв род натрупване.

Предпоставката при простото възпроизводство, че I(v+m)=IIc не само е несъвместимо с капиталистическото производство — което впрочем не изключва в промишлен цикъл от 10-11 години цялото производство на дадена година често да бъде по-малко, отколкото през предидущата година, така че в сравнение с предидущата година не се извършва дори просто възпроизводство, — но освен това при естествен годишен прираст на населението просто възпроизводство би могло да се извършва само доколкото съответен по-голям брой непроизводителна прислуга участва в потреблението на онези 1500, в които е представена цялата принадена стойност. Напротив, натрупване на капитал, следователно действително капиталистическото производство, при такова положение би било невъзможно. Поради това фактът, че се извършва капиталистическо натрупване, прави съвсем невъзможно IIc да бъде = I(v+m). Обаче дори при капиталистическо натрупване може да се случи вследствие на хода на процеса на натрупването, което се е извършвало в продължение на цяла редица предишни производствени периоди, IIc да се окаже не само равно, но и по-голямо от I(v+m). Това би било свръхпроизводство във II, което може да бъде отстранено само чрез голям крах, вследствие на което капитал от II би се прехвърлил в I. — Отношението на I(v+m) към IIc никак не се изменя, ако част от постоянния капитал на II се възпроизвежда сама, както например в земеделието употребата на семена от собствено производство. При обмяната между I и II тази част от IIc също така не трябва да се взема под внимание, както и Ic. Нещата никак не се изменят и в случай че част от продуктите на II подразделение на свой ред са годни да влязат в I подразделение като средства за производство. Те ще се покрият от част от доставените от I средства за производство и тази част трябва предварително да се изключи на двете страни, ако искаме да изследваме в чист, незамъглен вид размяната между двете крупни подразделения на общественото производство, между производителите на средства за производство и производителите на средства за потребление.

Така че при капиталистическо производство I(v+m) не може да бъде равно на IIc и двете те при обмяната не могат да се покриват едно друго. Напротив, ако Im/x е частта от Im, която като доход се изразходва от капиталистите на I подразделение, то I(v+m/x) може да бъде равно, по-голямо или по-малко от IIc; но I(v+m/x) винаги трябва да бъде по-малко от II(c+m), и при това по-малко с частта на IIm, която капиталистите от II подразделение трябва да потребяват сами при всички условия.

Следва да се отбележи, че при това изобразяване на натрупването не е точно изобразена стойността на постоянния капитал, доколкото той съставлява част от стойността на стоковия капитал, в производството на който този постоянен капитал участва. Основната част на новонатрупания постоянен капитал влиза в стоковия капитал само постепенно и периодично, съответно на различната природа на тези основни елементи; поради това в случаите, когато суровини, полуфабрикати и т. н. влизат масово в стоковото производство, в по-голямата си част този стоков капитал се състои от възстановяване на оборотната постоянна съставна част и на променливия капитал. (Обаче за оборота на оборотните съставни части може да се процедира така; с това се приема, че оборотната част заедно с преминалата върху нея част от стойността на основния капитал извършва през годината оборот толкова често, че цялата стойностна сума на изготвените стоки е равна на стойността на целия капитал, който влиза в годишното производство.) Но там, където за машинното производство не влизат суровини, а само спомагателни материали, елементът на труда =v трябва да се появи отново в стоковия капитал като негова по-голяма съставна част. Докато при нормата на печалбата принадената стойност се изчислява върху целия капитал, независимо от това, дали основните съставни части много или малко стойност предават периодично на продукта, за стойността на всеки периодично произвеждан стоков капитал основната част на постоянния капитал трябва да се пресмята само доколкото тя вследствие на изхабяването средно предава стойност на самия продукт.

 

IV. ДОПЪЛНИТЕЛНИ БЕЛЕЖКИ

 

Първоначален източник на пари за II е v+m на производството на злато на I, разменяни срещу част от IIc; само доколкото производителят на злато натрупва принадена стойност или я превръща в средства за производство I, следователно разширява своето производство, неговото v+m не влиза във II; от друга страна, доколкото натрупването на пари от самия производител на злато в края на краищата води до разширено възпроизводство, част от принадената стойност на производството на злато, изразходвана не като доход, а за добавъчен променлив капитал на производителя на злато, влиза във II, съдейства тук за ново образуване на съкровище или дава ново средство, за да се купува от I, без да му се продава отново непосредствено. От парите, които произхождат от това I(v+m) на производството на злато, част от златото отива в известни производствени отрасли на II, които се нуждаят от него като от суров материал и т. н., накратко, като от елемент, който възстановява постоянния капитал на II. Елемент за предварително образуване на съкровище — с цел за бъдещо разширяване на възпроизводството —  се оказва в обмяната между I и II в следните случаи: за I само в случай че част от Im се продава на II едностранно, без съответстваща покупка, и служи тук за добавъчен постоянен капитал на II; за II, в случай че същото прави I — за добавъчен променлив капитал; по-нататък, в случай че част от принадената стойност, изразходвана от I във вид на доход, не се покрива посредством IIc, така че с нея бъде купена и превърната по този начин в пари част от IIm. Ако I(v+m/x) е по-голямо от IIc, то за простото възпроизводство на IIc не е нужно да се възстановява в стоки от I това, което I е взело за потребление от IIm. Пита се в каква степен може да става образуване на съкровище в пределите на размяната между капиталистите на II подразделение — размяна, която може да се състои само във взаимна размяна на IIm. Ние знаем, че в пределите на II подразделение непосредствено натрупване става в резултат на това, че част от IIm направо се превръща в променлив капитал (точно както в I част от Im направо се превръща в постоянен капитал). При различната давност на натрупването в различните производствени отрасли на II подразделение и в предприятията на всеки отделен отрасъл по отношение на отделните капиталисти, работата се обяснява, mutatis mutandis*7, точно както в подразделение I. Едни се намират още в стадия на образуването на съкровище, продават, без да купуват; други вече са достигнали пункта на действително разширяване на възпроизводството, купуват, без да продават. Наистина първо се изразходва добавъчният променлив паричен капитал за добавъчна работна сила; но работниците купуват средства за живот от образуващите съкровище притежатели на добавъчни средства за потребление, влизащи в потреблението на работниците. От тези притежатели парите, prorata*8 на образуването на съкровище у всеки от тях, не се връщат в своя изходен пункт: те се натрупват от тях.

 

КРАЙ

 


БЕЛЕЖКИ ПОД ЛИНИЯ

*1 - заемен капитал. Ред.

*2 Виж настоящия том, стр. 488-489. Ред.

*3 Има се предвид ценни книжа (акции, облигации и т. н.). Ред.

*4 - при равни други условия. Ред.

*5 - иначе казано. Ред.

*6 - система на заплащане със стоки. Ред.

*7 - със съответни изменения. Ред

*8 - съответно. Ред.

57) Оттук до края ръкопис VIII.

58) Това слага веднъж завинаги край на спора за натрупването на капитала между Джеймс Мил и С. Бейли, разгледан в книга I (глава XXII, 5, бележка 65[82]) от друга гледна точка, именно спора за разширяването на действието на промишления капитал при неизменна негова величина. По това отново по-късно.


БЕЛЕЖКИ

[81] Изразът "музика на бъдещето" възникнал във връзка с публикуването през 1850 г. на книгата на германския композитор Рихард Вагнер "Художественото произведение на бъдещето“; противниците на възгледите на Р. Вагнер в областта на музикалното творчество влагали ироничен смисъл в този израз.

[82] Виж настоящото издание, том 23, стр. 619, бележка 64.