Digitaliserat av Jonas Holmgren för Marxists Internet Archive.
Jordens avkastning - allt det som utvinnes av dess yta genom den förenade användningen av arbete, maskineri och kapital, delas mellan tre klasser i samhället, nämligen jordägaren, ägaren av de förråd eller kapital som är nödvändiga för jordens odling och arbetarna genom vars idoghet den odlas. Men de andelar av hela jordens avkastning som tilldelas envar av dessa klasser under namn av jordränta, profit och löner, kommer på olika stadier av samhällets utveckling att vara väsentligt olika, beroende huvudsakligen på jordens aktuella bördighet, anhopningen av kapital och befolkning och den skicklighet och fyndighet och de redskap som används i jordbruket. Att bestämma de lagar, som styr denna fördelning, är huvudproblemet i den Politiska Ekonomin. (Ricardo)
Ekonomin är ett studium av människan i livets vanliga affärer; den undersöker den del av individuellt och socialt handlande som är närmast förbundet med utnyttjandet av välståndets materiella förnödenheter. (Marshall)
Ekonomin är den vetenskap som studerar mänskligt beteende som ett förhållande mellan mål och knappa medel som har alternativa användningar. (Robbins)
Den enda föreställning, som en ekonom inte behöver bekymra sig om att söka få preciserad, är just begreppet nationalekonomi. (Myrdal)[1]
Vad vi här återgivit är fyra - eller kanske tre och en halv - uppfattningar om den ekonomiska vetenskapens uppgifter. Citaten illustrerar en utveckling.
För Ricardo liksom för hans omedelbara föregångare var det självklart att det samhälle han iakttog var ett klassamhälle. Samhällsklasserna var huvudsakligen tre: jordägare, kapitalister och arbetare. Deras ställning baserade sig på äganderätten till produktionsmedlen, till jord och kapital. Mot klassindelningen svarade tre inkomstkategorier: jordränta, profit och löner. Med större skärpa än sina föregångare ställde Ricardo problemet om fördelningen mellan samhällsklasserna i förgrunden. Av denna fördelning berodde produktionens, produktivkrafternas och samhällets utveckling. Lösningen av detta problem förutsatte en analys av förhållandena mellan de tre samhällsklasserna. Naturligtvis var den vetenskap, som behandlade dessa frågor, en politisk ekonomi.
Marshall tillhörde marginalismens andra generation. Marginalismen upplöste samhällsklasserna i individer, vilkas relationer till vad som köptes och såldes bestämdes av givna individuella preferensskalor, och vilkas beteende styrdes av principen att maximera nyttan med givna resurser. Ekonomin beskrev kort sagt hur man hushållar eller ekonomiserar, och detta beteende återfanns i de trivialaste sammanhang - det fanns ingenting politiskt i det. Men Marshall försökte ändå avgränsa det område, som ekonomin sysslade med, till att gälla "utnyttjandet av välståndets materiella förnödenheter".
En sådan avgränsning låg i och för sig inte i marginalismens allmänna metodik. För Lionel Robbins - som härvid följde äldre uppslag - blir ekonomin helt enkelt en aspekt på allt mänskligt beteende, en aspekt som kan anläggas så snart detta beteende beskrivs i termer av mål och medel. Det krävs i själva verket inget annat än en valsituation - verklig eller inbillad - för att ekonomen ska rycka in och erbjuda sina tjänster: vad han tillhandahåller är en praxiologi, en lära om det rationella valets logik, som i princip är lika användbar för alla verksamhetsfält, där val mellan olika alternativ kan antas föreligga.
Och varför skulle då ekonomerna bekymra sig om att försöka precisera området för sin vetenskap - när en sådan precisering bara skulle kunna medföra en inskränkning av den potentiellt nästan obegränsade marknaden för deras tjänster? Hushållas måste det ju nästan överallt, och en köpkraftig efterfrågan på hushållningsexperter finns inte bara hos företagen utan också hos en snabbt expanderande offentlig förvaltning.[2]
Vi använder i denna bok ofta termen borgerlig nationalekonomi. Den härrör inte ur något behov av att "redovisa värderingar" eller använda skällsord. Det är ett faktum, att den vetenskapliga idéutvecklingen äger rum inte i det rena sanningssökandets himmel utan i givna sociala sammanhang, i konkreta samhällsförhållanden med bestämda klassmotsättningar, som de vetenskapliga idéerna dels återspeglar, dels tvingas ta ställning till. Den utveckling av den borgerliga nationalekonomins sätt att se på sin uppgift, som vi här sökt illustrera, belyser detta faktum.
Den klassiska politiska ekonomin utvecklades under en period, då de kapitalistiska produktionsförhållandena ännu slog sig fram i strid mot äldre samhällsförhållanden, mot feodala lämningar, mot en alltjämt inflytelserik men ur kapitalismens synpunkt överflödig klass av jordägare, om vilka Adam Smith påpekade att de "älskar att skörda där andra sått".[3] Det fanns då ännu utrymme för och behov av ett frankt avslöjande av hur fördelningen mellan samhällsklasserna bottnade i deras inbördes förhållanden i själva produktionen, deras ställning till produktionsmedlen.
Men denna angreppsmetod måste om den vidareutvecklas också angripa roten till den kapitalistiska fördelningen och blottlägga motsättningen mellan kapital och arbete. Inför hotet om en sådan utveckling slog den borgerliga nationalekonomin till reträtt. Den retirerade från den politiska ekonomins djärva målsättningar till den avgjort blygsammare - man skulle rent av kunna säga: den förvetenskapliga - uppgiften att vara praktiskt nyttig och användbar rådgivare i hushållningsfrågor åt dem som har hand om hushållningen.[4]
Men denna anspråkslöshet, denna blygsamma inriktning på praktiskt nyttiga och säljbara ting som företagsekonomi, distributionsekonomi, förvaltningsekonomi etc. är bara den ena sidan av saken. Riktigt så anspråkslös är inte den borgerliga nationalekonomin att den numera skulle avstå från att uttala sig om de frågor som den politiska ekonomin ställde sig: om samhällsekonomins struktur och de samhällsekonomiska fördelningsfrågorna. Tvärtom uttalar den sig ju med stor tvärsäkerhet om sådana fördelningsfrågor som hur stort det s.k. utrymmet för löneökningar är vid varje avtalsrörelse. Dess reträtt från att vara politisk ekonomi kamouflerades i själva verket med den föregivna upptäckten av en för alla ekonomiska sammanhang generellt giltig princip, ur vilken också de socialekonomiska fördelningsfrågornas lösning kan härledas.
Denna allmänna princip har många namn: den ekonomiska principen, maximeringsprincipen, knapphetsprincipen etc. Det gäller om den att den alltid förutsätter en analys i termer av mål och medel, d.v.s. undersöker det logiska sambandet mellan vad som förutsätts vara mål och vad som förutsätts vara medel. Om nu en sådan analys ska kunna göra anspråk på att förklara verkligheten, så måste mål-medel-relationen på ett eller annat sätt förvandlas till ett orsakssammanhang, där människornas subjektiva målsättningar upphöjs till de drivande orsaksfaktorerna. På så sätt får vi en verklighetsbild byggd på fiktionen, att "människorna" - abstraherade och oavhängiga från alla objektiva klass- och samhällsförhållanden - uppställer sig vissa mål, och att de givna betingelserna för det mänskliga handlandet och väljandet bara är medel för förverkligandet av dessa mål. I denna verklighetsbild blir de sociala relationerna, egendomsförhållandena och klasskillnaderna en följd av att "människorna" med knappa medel söker maximera sin nytta - det pris som "vi" måste betala för "effektiviteten", d.v.s. det "rationella" utnyttjandet av "våra" knappa resurser. I denna verklighetsbild beror alltså de objektiva betingelserna på subjektiva värderingar, och "vi" antas kunna ändra de objektiva betingelserna med ändrade värderingar - genom att exempelvis sätta lite högre pris på jämlikhet och lite mindre pris på effektivitet!
Den borgerliga nationalekonomins utveckling är därför inte bara en reträtt från den politiska ekonomins uppgifter till för dess avnämare mer omedelbart praktiska nyttouppgifter av mer teknisk karaktär. Reträtten paras med - och motiveras av - en samtidig ideologisk offensiv: de bestående klassförhållandena får en passande skönmålning genom att de verkliga orsakssammanhangen förfalskas i subjektivistisk riktning.
I motsats till den borgerliga nationalekonomins subjektivism står marxismens politiska ekonomi, vilken utgör en del av den marxistiska världsåskådningen - den historiska materialismen. Marxismen utgår ifrån att den materiella produktionen utgör basen för all verksamhet. Därför kommer också produktionsförhållandet att bli avgörande för de politiska, religiösa och juridiska relationernas - överbyggnadens - struktur. För att kunna vinna kunskap om dessa relationers karaktär och utvecklingstendenser - d.v.s. samhällets karaktär och utvecklingstendenser - måste vi studera produktionsprocessen - den ekonomiska basen.
Produktionsprocessen kan studeras utifrån två sidor. Den ena är den tekniska och berör de föremål som är verksamma och som sätts i rörelse under denna process, den andra är den samhälleliga och berör de relationer i vilka individerna och samhällsklasserna träder till varandra i produktionsprocessen. Dessa klassrelationer blir därför objektiva till sin karaktär, d.v.s. de bestäms utanför den enskilda individens subjektiva vilja. Lönearbetare är inte lönarbetare därför att han önskar det (inte heller därför att han på så sätt maximerat sin nytta!), utan därför att det kapitalistiska produktionsförhållandet förutsätter och skapar en egendomslös klass, som tvingas sälja sin arbetskraft.
Den politiska ekonomins uppgift är att behandla den samhälleliga sidan av produktionen. Härav följer att den inte kan vara densamma oavsett vilket produktionsförhållande som råder.
Den politiska ekonomin har hittills framför allt varit inriktad på att skapa en teori om det kapitalistiska produktionsförhållandet. Detta intog under slutet av 1700-talet och hela 1800-talet en dominerande ställning och dess karaktäristika finns bevarade än i dag. Emellertid har kapitalismen genomgått en förändring - från konkurrenskapitalism till monopolkapitalism - vilket innebär att villkoren för den kapitalistiska produktionen i dag inte är identiska med dem som rådde under 1800-talet. Marxismens politiska ekonomi måste i dag, ur de ytliga fenomenens mångfald och oregelbundenhet, undersöka det som ligger till grund för dessa fenomen - de ekonomiska lagar som verkar under kapitalismens monopolkapitalistiska och imperialistiska stadium.
För att vinna kunskap om de ekonomiska lagar som verkar i samhället måste man använda sig av en historisk ansats. Men vi kan inte behandla samtliga socio-ekonomiska relationer i deras olika historiska skepnader samtidigt. Vi måste därför ta fasta på vissa karaktäristika och för samhällsutvecklingen särskilt betydelsefulla förhållanden - vi måste använda oss av abstraktionens metod och studera dessa karaktäristika i deras rena form. Marx belyser denna metod på följande sätt:
"Det förefaller riktigt att börja med det reella och konkreta, de verkliga förutsättningarna, alltså t.ex. i ekonomin med befolkningen, som är hela den samhälleliga produktionsaktens grundval och subjekt. Emellertid visar sig detta vid närmare betraktande vara felaktigt. Befolkningen är en abstraktion, om jag t.ex. skulle utelämna de klasser, av vilka den består. Dessa klasser återigen är ett tomt ord, om jag inte känner de element, på vilka de vilar, t.ex. lönarbete, kapital etc. Dessa sistnämnda förutsätter utbyte, arbetsdelning, priser etc. Kapital t.ex. är ingenting utan lönarbete, utan värde, pengar, priser etc."[5]
Att använda sig av abstraktion innebär emellertid inte att man bortser från det konkreta. Tvärtom! Endast genom att använda sig av en successiv approximation - att stegvis gå från ett abstrakt plan till ett mer konkret plan - kan man ta fasta på de i systemet inneboende drivkrafterna och med dem förklara deras olika konkreta yttringar. För att veta vad man skall abstrahera bort vid en analys av samhällsklassernas politiska och ekonomiska läge samt deras utvecklingstendenser måste man använda sig av en historisk ansats. Genom att studera ett samhälles historiska utveckling - dess produktionsförhållande såsom det befinner sig i utveckling - kan vi skapa oss en bild av vad som i dagens samhälle skiljer sig från tidigare samhällsformationer. Vi kan på detta sätt fästa uppmärksamheten på det specifika i det rådande produktionsförhållandet och vad som är avgörande för samhällsklassernas läge och relationer till varandra.
Klassrelationerna kommer, liksom naturbetingelserna under vilka människan arbetar, att ange ramar för den mänskliga aktiviteten vilka inom vissa gränser kan förändras. Vi har en växelverkan - en dialektisk process - mellan det subjektiva, viljan, och det objektiva, de ur produktionsprocessen härledda ramarna för den mänskliga aktiviteten. Om man, som de borgerliga nationalekonomerna, utgår ifrån att endast naturbetingade gränser finns för det mänskliga handlandet, kommer man i själva verket att begränsa den viljans frihet som man så ivrigt vill försvara. Ty om man ignorerar de gränser, som har sitt ursprung i produktionsförhållandena, kommer dessa gränser i individernas medvetande att få en ställning som eviga lagar utanför den mänskliga samhälleliga praktikens räckvidd. Därmed kommer de faktiskt att begränsa individernas möjlighet att förändra sin situation. Denna dialektik gäller på samma sätt inom vetenskapen och för dess utveckling.
Kunskap om den objektiva verkligheten är alltid en nödvändig del av vår aktivitet för att förändra denna verklighet. Vetenskapen behövs för handlandet. Den politiska ekonomin var i sin ursprungliga form ett uttryck för den progressiva kapitalismens försök att bemästra samhällsutvecklingen, att övervinna hindren för sin egen utveckling. Vi har ovan illustrerat den borgerliga nationalekonomins förvandling från vetenskap till ideologi. Den förvandlingen har sin motsvarighet i att kapitalismen - när den etablerat sig som härskande system - upplever samhällsutvecklingen som ett hot och vetenskapen om den som ett obehagligt avslöjande. Det är därför ingen tillfällighet, att den politiska ekonomins utveckling efter Ricardo har varit förbunden med framväxten av en ny, progressiv samhällsklass, vars strävan riktat sig mot kapitalismen - arbetarklassen.
För att kunna förändra de betingelser under vilka vi verkar måste vi alltså lära känna dessa betingelser. För detta ändamål är kanske inte valhandlingsteorier och praxiologiska övningar de mest lämpade. Vi vet alla att vi måste välja mellan olika saker. För att få reda på varför vi ställs inför vissa val och hur vi ska förändra vår valsituation måste vi ha kunskap om samhällets sätt att fungera, dess uppbyggnad och utveckling. Vi menar att marxismens politiska ekonomi är det adekvata instrumentet för en sådan analys.
Samhällsvetenskapen tycker om att föreställa sig Människan som ständigt väljande och med värderingar av olika alternativ som grundval för ett rationellt beteende i valsituationer. Så söker den också ge en allmänmänsklig förklaring av det ekonomiska värdet. Den utrustar individerna med var sitt autonoma system av värde- eller preferensskalor eller nyttofunktioner, som uttrycker deras subjektiva uppskattningar av olika varumängder i olika kombinationer. Sedan skickas de till marknaden och byter där givna varumängder med varandra under de mest perfekta betingelser av fri köpslagan och konkurrens. Ur denna konfrontation kan då härledas ett prissystem, som etablerar jämvikt på marknaden och får köpslagan och byten att stanna upp. Detta prissystem tycks framgå som ett slags kompromiss mellan många autonoma viljor, inte helt olikt resultatet av en allmän folkomröstning låt vara med inkomstgraderad rösträtt. Den som svälter i jämvikten, han svälter enligt demokratiskt fattade beslut. Han har dock fått vara med om att rösta, hans alldeles egna och självständiga nyttofunktioner har varit med om att fastställa det slutliga resultatet.
Denna härledning av värdet har dominerat nationalekonomin från omkr. år 1870. Till den är knutna välkända slagord som "konsumentens suveränitet" och "valfrihetens samhälle".
Teorin om konsumentens suveränitet anses ha en föregångare i den franske 1700-talsekonomen Richard Cantillon. Det är lite orättvist mot Cantillon. Hans suveräna konsumenter var inte människorna i största allmänhet utan den härskande klassen i det samhälle han iakttog: jordägarna. För dem sökte han visa att prissystemet förmedlade deras önskemål lika perfekt som om de själva beordrade den ena eller andra användningen av jord och arbete. Men för Cantillon var detta en relativt underordnad aspekt. Prissystemet uttryckte framför allt objektiva realiteter. Om det var önskvärt med en stor befolkning så måste jord reserveras för produktion av nödvändiga livsmedel: "alla måste leva". Varorna hade objektiva värden, bestämda av vad de reellt kostat att framställa i råvaror och livsmedel för de arbetande. Cantillon tänkte sig att dessa kostnader kunde översättas i jordkvantiteter. Kring dessa värden pendlade priserna efter växlingar i jordägarnas efterfrågan med ändrad användning av jorden som följd.
Cantillons sammankoppling av värde och realkostnad vidareutvecklas av Adam Smith och David Ricardo. Det brukar sägas, att deras nonchalerande av bruksvärde och nytta vid utformningen av värdeteorin sammanhängde med deras oförmåga att lösa den s.k. värdeparadoxen - vattnets och diamantens relativa nytta resp. pris - som i sin tur skulle bero på att de saknade begreppet gränsnytta och marginalismens övriga apparatur. Sant är att Adam Smith nämnde värdeparadoxen som en svårighet. Men det är ändå en inskränkt synpunkt. Varken Smith eller Ricardo bestred i och för sig att individerna valde och vrakade på marknaden efter delvis subjektiva värderingar eller att marknadspriserna balanserade utbud och efterfrågan. Men de fann denna mekanism skäligen ointressant, och den formella möjligheten att härleda efterfrågan ur ett antal individers föregivet autonoma värderingssystem och därav betingade rationella valhandlingar skulle knappast ändrat deras bedömning. Deras uppmärksamhet gällde i stället de "naturliga priser", som på längre sikt visade motståndskraft mot växlingar i efterfrågan, och som därför borde studeras i abstraktion från dessa växlingar. I dessa naturliga priser framträdde det ekonomiska värdet som ett socialt fenomen, vilket uttryckte objektiva och av människornas värderingar oberoende förhållanden.
Vilka var då dessa objektiva förhållanden? Mer eller mindre konsekvent företrädde både Smith och Ricardo en arbetsvärdeteori, enligt vilken det på varans produktion nedlagda arbetet bestämde dess värde. Men denna ståndpunkt är hos dem i stor utsträckning intuitiv: de saknar en teori om vad värdet är. Adam Smith filosoferar en del om arbetet: det är en ofrånkomlig uppoffring av vila, fritid och lycka, det är "toil and trouble". Men detta är arbetarens - och närmare bestämt: den moderne lönarbetarens - subjektiva erfarenheter och värderingar; varför inte lika gärna kapitalisternas värderingar, deras uppoffringar i form av "sparande", "väntande" eller "risktagande"? Ricardos hela uppmärksamhet fixerades vid vad han ansåg vara den växande "svårigheten att producera" spannmål och sökte ett sätt att mäta den. Men "svårigheten att producera" är i och för sig inget objektivt förhållande. Det gavs efter hand en mer och mer subjektiv tolkning, tills det hos Marshall upplöste sig i idel "disutilities".
En objektiv värdeteori måste utgå från de objektiva samhällsförhållanden, där värde produceras. Dessa förhållanden är inte tidlösa och allmänmänskliga. Människor har alltid värderat, men värde har inte alltid producerats. Det arbete som producerar värde är inte arbetet som allmänmänsklig verksamhet. Värdet tillhör varan, inte arbetsprodukten i allmänhet. Varor produceras under bestämda, historiskt givna förhållanden. Varuproducenternas arbete är specifikt, betingat av varuproduktionens egenart. En analys av varan bildar därför utgångspunkten för Marx' värdeteori.
Liksom klassikerna för Marx undan bruksvärdet från sin diskussion av bytesvärdet. Varken värdeparadoxen eller någon annan formell svårighet att mäta nyttan har därvid någon avgörande betydelse. Han ger en helt annan motivering för sin ståndpunkt.
Bruksvärdet, noterar Marx, är en allmän egenskap hos varan. Men den egenskapen är inte begränsad till varan, den finns hos både naturföremål och arbetsprodukter som inte är varor. Bruksvärdet är en allmän, av särskilda historiska samhällsformer oberoende kategori. Det gäller också den verksamhet som frambringar det.
"Som ändamålsenlig verksamhet att tillägna sig naturelementen i ena eller andra formen är arbetet den naturliga betingelsen för den mänskliga existensen, en av alla sociala former oberoende betingelse för ämnesomsättningen mellan människa och natur."[6]
Men i varuproduktionen bedrivs denna verksamhet under särskilda villkor:
"En sak kan vara nyttig och produkt av mänskligt arbete utan att vara en vara. Den som genom sin produkt tillgodoser sitt eget behov skapar visserligen bruksvärde men inte vara. För att producera vara måste han inte bara producera bruksvärde utan bruksvärde för andra, samhälleligt bruksvärde."[7]
Varuproduktionen är den organisation av samhällsekonomin, där produktionen bedrivs i enskilda och isolerade enheter i en sådan arbetsfördelning, att de samhälleliga behoven måste tillgodoses genom byte på marknaden. Varuproducenterna arbetar enskilt och självständigt. Ändå är de inbördes beroende av varandra: de måste framställa varor, "bruksvärden för andra, samhälleligt bruksvärde". Båda dessa sidor, isoleringen lika väl som det inbördes beroendet, är objektiva förhållanden. Varuproducenternas arbete har på en gång privat och samhällelig karaktär. Det på oavhängiga och isolerade varuproducenter uppsplittrade samhälleliga arbetet måste fördelas i proportioner som svarar mot vissa givna samhälleliga behov. Bytesvärdet är formen för denna fördelning.
Låt oss som jämförelse erinra om de frågeställningar, som möter i den nationalekonomiska handbokslitteraturen! Där kan man börja med att formulera vad man kallar ekonomins tre grundläggande frågor rörande produktionen: Vad? Hur? och För vem? De ekonomiska kategorierna, framför allt då prissystemet, deduceras sedan fram som allmängiltiga svar på dessa frågor.[8] Utgångspunkten är här truistisk: i varje samhällsform måste de ställda frågorna på ett eller annat sätt besvaras. Vad som försvinner är de för olika samhällsförhållanden specifika former i vilka de framträder och löses. "Varje barn vet", skrev Marx i ett ofta citerat brev till Kugelmann,
"att en nation skulle gå under, om den inställde arbetet under ett år eller t.o.m. ett par veckor. Det vet lika väl, att de produktmängder, som svarar mot de olika behoven, kräver olika och kvantitativt bestämda mängder av samhällets totala arbete. Det är självklart att den samhälleliga produktionens bestämda form inte alls kan upphäva nödvändigheten av att fördela det samhälleliga arbetet i bestämda proportioner, endast ändra det sätt varpå denna nödvändighet framträder. Naturlagar kan överhuvud inte upphävas. Vad som kan ändra sig i historiskt skilda omständigheter är blott den form i vilken dessa lagar gör sig gällande. Och den form, i vilken denna proportionella fördelning av arbetet gör sig gällande i ett samhällstillstånd, där det samhälleliga arbetets samband förverkligas som privat byte av individuella arbetsprodukter - det är just dessa produkters bytesvärde."[9]
Varornas bytesrelationer avslöjar att de har något gemensamt, något som de har mer eller mindre av och som gör dem jämförbara med varandra. Men som arbetsprodukter i allmänhet - som resultat av en eller annan nyttig och ändamålsenlig verksamhet - har de ingenting att göra med varandra; sådana tillverkas oberoende av varandra och under vilka förhållanden som helst. Det arbete, som ingår i alla varor, är abstrakt arbete: arbete utan alla individuella och konkreta särdrag, arbete utan avseende på ändamål, arbete rätt och slätt, genomsnittligt intensiv förbrukning av mänsklig energi. Detta abstrakta arbete kan summeras till samhälleligt totalarbete och kan fördela sig i kvotdelar på de enskilda varorna. Det bildar deras värdesubstans.
"Allt arbete är å ena sidan förbrukning av mänsklig arbetskraft i fysiologisk mening, och i denna egenskap av lika eller abstrakt mänskligt arbete bildar det varuvärdet. Allt arbete är å andra sidan förbrukning av mänsklig arbetskraft i särskild ändamålsbestämd form, och i denna egenskap av konkret nyttigt arbete producerar det bruksvärden."[10]
Varorna innehåller alltså olika mängder av denna värdesubstans, och detta bestämmer deras bytesrelationer. Bytesvärdets relativitet är såtillvida skenbar. Om vid en tidpunkt 1 enhet A byts mot 2 enheter B och vid en annan tidpunkt 1 enhet A mot 3 enheter B, så har bytesrelationen ändrats från 2:1 till 3:1. Men bakom denna förändring döljer sig flera tänkbara förändringar av de värdesubstansmängder, som en enhet av A eller B innehåller: A:s värde kan ha ökat vid oförändrat värde av B; B:s värde kan ha minskat vid oförändrat värde av A; A:s värde kan ha ökat medan B:s minskat; bådas värden kan ha ökat eller minskat fast i olika utsträckning. Bakom varornas bytesrelationer ligger deras värden, deras innehåll av värdesubstans. Bakom förhållandena mellan varorna som ting ligger de sociala relationer, som förbinder människorna som varuproducenter med varandra.
Den mängd värdesubstans, som varan innehåller, är mätbar i arbetstid, förutsatt att vi räknar i enkelt arbete och betraktar komplicerat arbete som potenser av det enkla. Men den arbetstid, som olika enheter av samma vara faktiskt innehåller, kan växla med den individuelle varuproducentens större eller mindre flyhänthet. Dessa växlingar berör givetvis inte värdets storlek. Under givna förutsättningar och vid given tidpunkt finns det en viss arbetstid, som i genomsnitt erfordras för framställningen av en enhet av en viss vara. Denna arbetstid - den socialt nödvändiga under givna fysiska, tekniska och sociala produktionsbetingelser - bestämmer värdets storlek. Ändrade betingelser, som förändrar denna i genomsnitt nödvändiga arbetstid, ändrar också värdets storlek.
Socialt nödvändig arbetstid i denna mening måste noga skiljas från den samlade arbetstid, som är nödvändig för att tillgodose en viss social efterfrågan på en vara.[11] Den senare behöver givetvis inte sammanfalla med den för en viss producerad varumängd produktionstekniskt erforderliga arbetstiden. Den kan alltefter växlingar i efterfrågan både över- och understiga den. Dessa växlingar berör vid oförändrade produktionsbetingelser inte den individuella varans värde, däremot dess pris och den samlade värdemängd av denna vara, som kan realiseras på marknaden.
Distinktionen mellan värde och pris är väsentlig både för Marx' värdeteori och för den klassiska realkostnadsteorin. Det är här inte fråga om något glapp i dessa teorier. Tvärtom är det deras syfte att skilja värde från pris. När priset avviker från värdet, framtvingas en omfördelning av arbete från en produktionsgren till en annan. I jämviktsläget svarar genomsnittspriserna på längre sikt mot värdena, och efterfrågan reglerar produktionens kvantitativa fördelning.
Bruksvärde, nytta och efterfrågan är här utan betydelse för värdet. De saknar för den skull inte ekonomisk betydelse. Hos Marx har exempelvis bruksvärdet hos en särskilt vara - varan arbetskraft - en central betydelse för mervärdeteorin, och den sociala efterfrågans materiella inriktning spelar en viktig roll både för reproduktionsteorin, för omvandlingen av värden till produktionspriser och för jordränteteorin.
Värdet uttrycker den samhälleliga karaktären hos det i varan nedlagda arbetet. Men den samhälleliga karaktären hos de enskilda varuproducenternas arbete är inte direkt, medveten och planmässig. Tvärtom är den indirekt och omedveten, och den framträder först post festum, när den färdiga arbetsprodukten möter sina likar på marknaden och byts mot dem. Här i värdeformen eller bytesvärderelationen förvandlas de sociala relationerna mellan producenterna till ett förhållande mellan varor, mellan ting. Den förvandlingen är inte ett tillfälligt beslöjande av verkligheten, inte en synvilla rätt och slätt. Dess grundval är objektiva karakteristika hos varuproduktionen: motsättningen mellan arbetets församhälleligande och det privata tillägnandet och bytet.
Marx spårar denna förvandling redan i bytesvärdets enkla och tillfälliga form, t.ex. i
20 alnar linneväv = 1 rock.
Vävens värde, alltså det abstrakta arbete den innehåller, antar här den något fantastiska formen av en rock.
"Värdet av varan linneväv uttrycks alltså i varan rocks kropp, värdet av en vara i den andras bruksvärde. Som bruksvärde är linneväven ett från rocken sinnligt skiljaktigt ting, som värde är den en 'rocklike' och ser därför ut som en rock. Så erhåller den en från dess naturalform avvikande värdeform. Dess värdeexistens framträder i likheten med rocken, så som den kristnes fårnatur i hans likhet med Guds lamm."
Rocken, som här tjänar som ekvivalent, genomgår en inte mindre fantastisk transsubstantiation: det ser ut som om "en varukropp, såsom rocken, detta ting som det går och står, uttrycker värde, alltså genom sin natur besitter värdeform." Bytbarheten blir till en naturlig egenskap hos rocken, jämförbar med egenskapen att vara tung eller skydda mot köld.[12]
I värdeformen framträder varans fetischkaraktär: den kläder samhällsförhållandena, relationerna mellan människor, i ett sakligt hölje.
"Liksom ett pund järn och ett pund guld trots sina olika fysiska och kemiska egenskaper utgör samma tyngdkvantitet, så utgör två bruksvärden av varor, som innehåller samma arbetstid, samma bytesvärde. Bytesvärdet uppträder sålunda som samhällelig bestämning hos bruksvärdena, som en bestämning, vilken tillkommer dem som ting, och tack vare vilken de i utbytesprocessen ersätter varandra i bestämda kvantitativa förhållanden, bildar ekvivalenter, alldeles så som enkla kemiska ämnen förenar sig i bestämda kvantitativa förhållanden och bildar kemiska ekvivalenter. Det är bara vanan från dagliga livet, som kommer det att förefalla trivialt, självklart, att ett samhälleligt produktionsförhållande antar formen av ett föremål, så att förhållandet mellan personerna i deras arbete tvärtom framträder som ett förhållande, i vilket tingen befinner sig till varandra och till personerna. I varan är denna mystifikation ännu mycket enkel. Alla föreställer sig mer eller mindre dunkelt, att varornas förhållanden som bytesvärden tvärtom är personernas förhållande till deras ömsesidiga produktiva verksamhet. I högre produktionsförhållanden försvinner detta sken av enkelhet. Alla monetärsystemets illusioner kommer därav att man inte ser, att penningen framställer ett samhälleligt produktionsförhållande, utan betraktar den i formen av ett naturligt ting med bestämda egenskaper."[13]
Att de gamla merkantilisterna odlade ett slags "penning-fetischism", där penningen tillskrevs övernaturliga egenskaper, det har varit ett kärt tema för många liberala ekonomer från Adam Smith till Eli Heckscher. Förklaringen har sökts i penningväsendets egenartade och svårutrotliga benägenhet att beslöja de verkliga sammanhangen, och den liberala ekonomin tilldelade sig själv uppgiften att riva slöjan av tingen och blottlägga de realekonomiska förhållandena. Marx kommenterade dessa övningar beskt:
"Det gåtfulla i ekvivalentformen /.../ slår den politiske ekonomens borgerliga blick, först då denna form är färdig att träda emot honom i penningen. Då söker han bortförklara guldets och silvrets mystiska karaktär, i det han skjuter bakom dem mindre bländande varor och med städse upprepat nöje går igenom katalogen för hela den varupöbel, som på sin tid har spelat rollen av varuekvivalent. Han anar icke, att redan det enklaste värdeuttryck som 20 alnar linneväv = 1 rock, uppställer till lösning ekvivalentformens gåta."[14]
Den frejdiga kampen mot penningväsendets slöjor förråder i själva verket den borgerliga ekonomins oförmåga att fatta varans verkliga fetischkaraktär. Därmed hemfaller den själv åt samma fetischism, särskilt i sin uppfattning av kapitalet:
"De moderna ekonomerna, som nedlåtande grinar åt monetärsystemets illusioner, förråder samma illusion, så snart de behandlar högre ekonomiska kategorier, t.ex. kapitalet. Denna illusion kommer hos dem till uttryck i naiv förvåning, så snart något, som de just trodde sig ha grepp om som ting, uppträder som samhälleligt förhållande, och sedan återigen det, som de knappt hunnit fixera som samhälleligt förhållande, driver gäck med dem som ting."[15]
Först vulgärekonomin kastar denna naiva förvåning åt sidan - för att i stället fira orgier i fetischism i sin lära om de tre produktionsfaktorerna jord, kapital och arbete, denna heliga treenighetslära,
"den förtrollade, bakvända och på huvudet ställda värld, där Monsieur le Capital och Madame la Terre driver sitt spökeri som sociala karaktär och tillika omedelbart som blotta ting."[16]
Varans fetischkaraktär är en realitet, som inte avskaffas genom att genomskådas, som inte låter sig kritiseras bort, lika lite som andra faktiska förhållanden. Den är oupplösligt förbunden med varuproduktionen och försvinner först med den. Först när de sociala relationerna mellan producenterna blir omedelbara, direkta och medvetna, först då befrias de från den försakligade och förstenade karaktär, som vidlåder dem i varubytet.
Det finns naturligtvis många påståenden om Marx' arbetsvärdelära och alla kan inte diskuteras här. Men ett par rätt vanliga kan vi sammanfattningsvis granska.
I denna allmänna formulering är påståendet inte riktigt. Marx' värdeteori är en teori om vad värdet är och hur det produceras. Men värdet är bara den ena sidan av vad som produceras. Den andra är den materiella rikedomen i dess konkreta, ändamålsenliga gestalt. Till den är arbetet inte den enda källan.
"Då arbetet är verksamheten att göra det materiella ägnat för det ena eller andra syftet, behöver det materien som förutsättning. I olika bruksvärden är proportionen mellan arbete och naturstoff mycket olika, men ständigt innehåller bruksvärdet ett naturligt substrat."[17]
I den tyska socialdemokratins Gotha-program av år 1875 skrev man i första punkten in den välklingande satsen "Arbetet är källan till all rikedom". I sin kritik bestred Marx ånyo riktigheten härav:
"Naturen är i lika hög grad källan till bruksvärdena (och av sådana består väl ändå den materiella rikedomen!) som arbetet, vilket självt endast är en yttring av en naturkraft, den mänskliga arbetskraften."
Men här underströk han också satsens politiska tvetydighet:
"Borgarna har synnerligen goda skäl att tilldikta arbetet övernaturlig skaparkraft, ty just ur det naturbetingade i arbetet följer, att den människa, som inte har någon annan egendom än sin arbetskraft, under alla samhälls- och kulturtillstånd måste vara slav under andra människor, som gjort sig till ägare av de materiella arbetsbetingelserna. Hon kan arbeta endast med deras tillåtelse, alltså leva blott med deras tillåtelse."[18]
Däremot hävdade Marx att arbetet skapar varans värde. Som vi sett är det fråga om arbetet i en särskild form: det abstrakta arbetet, arbetet i den församhälleligade form som varuproduktionen ger det. Det är vidare fråga om det socialt nödvändiga arbetet, det arbete som genomsnittligt krävs för varans framställning. Det är väsentligt att få grepp om konsekvenserna härav. Arbetets produktivitet - i betydelsen av dess förmåga att skapa konkreta nyttigheter per tidsenhet - får inte förväxlas med dess värdeskapande effekt. En allmän ökning (minskning) av arbetets produktivitet berör i och för sig inte det värde som arbetet skapar: samma arbetstid skapar samma värde oavsett växlingar i arbetets allmänna produktivitet. Annorlunda uttryckt: den enskilda varans värdestorlek varierar omvänt med arbetets allmänna produktivitet. Vid växande arbetsproduktivitet framställs flera varor per tidsenhet. Den enskilda varans värde sjunker alltså.
Detta är en av de grövsta vantolkningarna. Den är i stor utsträckning falsk när det gäller Smith och Ricardo. När det gäller Marx är förfalskningen dubbel. Den utnyttjar det faktum att Marx var revolutionär för att i ett slag vanställa två saker: innebörden av Marx' teori och de krav som ställs på en revolutionär teori.
Marx "tog ställning" för arbetarklassens kamp. Någon arbetarens rätt till produkten av sitt arbete kände han däremot inte till och kunde därför inte ta ställning vare sig för eller mot. De kapitalistiska produktionsförhållandena skapar sin rätt: den utesluter arbetarens rätt till vad han producerar. Socialismen är ingen rätt utan nya produktionsförhållanden, kännetecknade bl.a. av gemensamt ägande av produktionsmedlen. Dessa nya produktionsförhållanden skapar sin rätt: den kommer säkert inte att tillerkänna den individuelle arbetaren hela produkten av hans arbete. Men dessa frågor har f.ö. ingenting alls med arbetsvärdeteorin att göra. Den är en teori, avsedd att förklara värdet i varuproduktionen; den sysslar med ekonomiska kategorier, inte med rättskategorier.
Marx deltog aktivt i revolutionär verksamhet. Därmed gjorde han självfallet ett moraliskt ställningstagande, som redovisades i handling. Hans teoretiska arbete var lika självfallet drivet av denna verksamhets behov. Men vad den revolutionära verksamheten kräver, det är en teori om dess objektiva villkor, om förhållanden som existerar objektivt och oberoende av vad vi vill och önskar. Däremot är den inte betjänt av att i ord upprepa de värderingar, som redan uttryckts i handling. Av den revolutionära teorin krävs obetingad objektivitet, total inriktning på fastställandet av de objektiva betingelserna för kampen. Den ska vägleda, inte legitimera handlandet.
Också detta är på det hela taget oriktigt. Ordet utsugning är här inte entydigt. Marx' kritiker brukar överträffa varandra i demonstrationer av att man visst inte behöver någon arbetsvärdeteori för att påvisa att utsugning förekommer. Om de har rätt, så förefaller det anförda påståendet meningslöst - trots att det ofta framförs samtidigt.
Men låt oss anta, att man med "påståendet om utsugning" menar Marx' mervärdeteori. I så fall är det - som vi ska se - givetvis riktigt, att värde- och mervärdeteorierna är logiskt förbundna med varandra.
Men - som vi också ska se - är det oriktigt att mervärdeteorin kan deduceras fram ur värdeteorin. Mervärdeteorin har i själva verket flera teoretiska förutsättningar, som inte är givna i värdeteorin: kapitalets uppkomst, arbetskraftens förvandling till vara och denna varas bruksvärde. Å andra sidan har värdeteorin flera uppgifter i Marx' system än att ligga till grund för teorin om mervärdet. En del har redan berörts i diskussionen om värdeformen.
Vi ska starta detta kapitel med en kort diskussion av några drag i den borgerliga nationalekonomins teorier om kapital och kapitalavkastning. Därefter ska vi följa den marxistiska analysen av hur kapitalet utvecklas ur varuproduktionen, ur värde och pengar. Vi ska uppehålla oss vid "kapitalets antediluvianska former", närmast köpmannakapitalet och dess roll, innan vi kommer fram till mervärdeteorin. Till den fogas ett avsnitt om kapitalismens konkreta historiska förutsättningar. Avslutningsvis ska vi återanknyta till den i det första avsnittet förda diskussionen om kapitalets produktivitet.
Den borgerliga nationalekonomins kapitalteorier brukar börja med den allmänna iakttagelsen att produktion tar tid. Det dröjer ett tag innan produktionsprocessens input förvandlats till output. Under denna tid är kapitalistens pengar frusna i form av realkapital: råvaror, halvfabrikat, maskiner, anläggningar etc. Realkapitalet gör tjänst i produktionsprocessen. Om kapitalisten får en inkomst av sitt kapital, så grundar sig denna inkomst på realkapitalets tjänster. Kapitalet är en produktionsfaktor, och dess avkastning beror på dess produktivitet, dess bidrag till produktionsresultatet. Eftersom produktionen rimligtvis alltid tar tid och realkapital alltså alltid behövs, så framstår kapital och kapitalavkastning som eviga, naturbestämda företeelser. "De socialistiska skogarna växa ju inte fortare än de borgerligt liberala", förmanade Knut Wicksell.[19]
Vad är det som är en produktionsfaktor, som medverkar i produktionen och bidrar till produktionsresultatet? Inte kapitalisten - som kapitalist - utan hans råvaror och maskiner. Men det är inte råvarorna eller maskinerna som spisar gåslever, dricker champagne och reser till Miami Beach. Det är inte produktionsmedlen, som tillägnar sig kapitalavkastningen, utan kapitalisten, ägaren av produktionsmedlen. Vad är det då som är produktivt, produktionsmedlen eller äganderätten till dem?
Man kunde naturligtvis nöja sig med den visserligen inte särskilt upplysande satsen, att kapitalisten därför att han äger produktionsfaktorn lägger beslag på dess avkastning. Men då vore kapitalavkastningen en inkomst av precis samma natur som varje annan exploatering av en ensamrätt av något slag. Ingenting skulle i princip skilja den från exempelvis feodalherrarnas kvarntullar, bropengar och grindslantar.
Alternativt har den borgerliga nationalekonomin sökt utveckla teorier, som tillskriver kapitalisten en produktiv insats. De anknyter då till den s.k. kapitalbildningen. Kapitalisten bildar kapital genom att spara, varvid han heroiskt övervinner en därmed förbunden "onytta". Prototypen för dessa teorier är Seniors abstinensteori, enligt vilken kapitalistens profit är ersättningen för hans avhållsamhet från att konsumera hela sin inkomst. I något mindre utmanande formuleringar varierades temat av Marshall och Böhm-Bawerk. Marshall ansåg att kapitalisten väntade enligt den kända regeln, att "all vår väntan bliver svår". Böhm-Bawerk fann att han övervann nutidsvarornas övervärdering.
Skenbart stödjer sig dessa teorier på psykologin. Men också deras psykologi är dålig. Marx påpekade att ökningen av det egna kapitalet, ackumulation av nytt kapital, för kapitalisten är en nödvändighet och en andra natur; man kunde lika gärna beteckna hans konsumtion som avhållsamhet från att ackumulera.[20] För övrigt tycks kapitalisterna framgångsrikt kunna avlasta både avhållsamheten och väntandet - i mer objektiv mening - på andra, som dock nödgas praktisera dessa dygder utan ersättning. Mot detta kan man då anföra, att det dock är kapitalisten som kan träffa ett val, som har möjligheten att inte konsumera hela sin inkomst. Det är i regel sant - just till följd av den fördelning mellan kapital och arbete, som teorin skulle förklara.
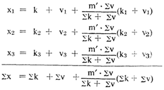
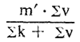
Man kan naturligtvis tautologiskt fastslå, att om det under ett år produceras ett nettotillskott av produktionsmedel eller realkapital, så konsumeras inte hela detta års produktion. I denna mening är ett "sparande" (produktion > konsumtion) en förutsättning för "kapitalbildning". Men detta har ingenting med kapitalisternas profit att göra. Behovet av investeringar, av nytt realkapital, bestämmer inte kapitalisternas profitkvot. Antag i ett samhälle av arbetare och kapitalister att arbetarna konsumerar hela sin lön medan kapitalisterna använder en del (g) av sina samlade profiter (P) till investeringar (I), så att
I = g P
Om vi betecknar förrådet av realkapital eller produktionsmedel med C, så får vi:
I/C = (g P) / C eller
P/C = (I/C) (I/g)
I/C är produktionsmedlens tillväxttakt.[21] Den bestämmer inte ensam profiternas relation till realkapitalet (P/C), vilken också beror av g, som i sin tur väsentligen beror av förväntade profiter. Kapitalisterna tillägnar sig inte profit för att investera. De tillägnar sig en profit, varav de investerar en del om och där dessa investeringar förväntas ge mer profit.
I den borgerliga kapitalteorin har "det stationära samhället" spelat en viss roll. Böhm-Bawerk menade, att kapitalräntan där vore = 0, vilket från hans utgångspunkt föreföll logiskt: nytt kapital bildades inte och kapitalisterna behövde alltså inte någon ersättning för sitt sparande. Hans efterföljare är mer realistiska. Kapitalisterna måste finna det värt att bevara kapitalet och avstå från att konsumera eller förstöra det. För detta ska de ha betalt. Alltså bör det också i det stationära samhället antas existera en positiv kapitalränta. Och följaktligen är också i detta samhälle kapitalets tjänster produktiva och betingar ett pris, en profit.[22] Det förefaller vara rimlig kapitalistisk logik. Men med den logiken faller också alla försök att härleda kapitalisternas profit ur kapitalbildningens nödvändighet. Kvar står bara den obestridliga sanningen att kapitalisterna äger kapitalet.
När den borgerliga nationalekonomin misslyckas med att förklara kapitalistens produktivitet, så misslyckas den i själva verket med sin avgörande uppgift. För "kapitalisten är blott det personifierade kapitalet, fungerar i produktionsprocessen blott som bärare av kapitalet".[23] Kapitalistens profit är kapitalets profit. Det är den som ska förklaras. När ekonomerna flyr till det s.k. realkapitalet, till de producerade produktionsmedlen och deras bruksvärde i produktionsprocessen, så gör de kapitalet stor orättvisa. De bortser helt från dess karakteristiska egenskaper: att vara värde och en social relation till arbetarna. De bortser lika fullständigt från dess historiska uppgift: att revolutionärt omvandla alla produktionsvillkor. De förvandlar det i stället till högst anspråkslösa, triviala och allmängiltiga arbetsbetingelser - och därmed också till människans eviga följeslagare. Den bestående insatsen av dessa teoretiska prestationer ligger däri, att de troget reproducerar den fetischism, det försakligande av samhällsförhållandena, som kapitalismen vidareutvecklar ur den enkla varuproduktionen och gör till en vardagslivets religion. "Vulgärekonomin", anmärkte Marx, "gör i själva verket ingenting annat än att doktrinärt tolka föreställningarna hos de i de borgerliga produktionsförhållandena fångna agenterna för denna produktion, att systematisera och apologetisera dem."[24]
Kapitalet uppträder primärt som pengar. I historien framträder det först som penningförmögenhet. Den dagliga erfarenheten säger oss att kapitalisten "gör pengar". Faktiskt gör han också pengar med pengar. Marx' analys visar, hur pengar utvecklas ur värdet och hur kapital utvecklas ur pengar, d.v.s. hur varuproduktion utvecklas till kapitalism.
Vi såg i kap. 2 att redan det enkla värdeuttrycket 10 alnar linneväv = 1 rock ger åt ekvivalentvaran rocken en egenartad dubbelkaraktär: den framträder inte bara som rock utan också som värdets inkarnation. Värdet kräver denna försakligade form. Varuproduktionen är samhällelig men planlöst och omedvetet samhällelig: sambanden mellan varuproducenterna framträder först i bytet. Den enskilda varan är en individuell arbetsprodukt, resultatet av ett individuellt och särpräglat arbete. Men dess värdesubstans är abstrakt arbete, som måste få en från varan själv kvalitativt skild uttrycksform, måste "vara värt" något annat, t.ex. en rock.
Som enhet av bruksvärde och värde söker varan ständigt uttrycka sig själv i något annat och detta behov växer med bytesprocessens utveckling. Därför är det ett nödvändigt resultat av varuproduktionen att en vara skiljs ut från de andra och framträder som allmän ekvivalent. Denna vara tillgodoser ett allmänt behov, som växer fram ur själva bytesprocessen. Den får därför ett allmänt bruksvärde utöver sitt särskilda bruksvärde som särskild vara. Detta allmänna bruksvärde är att vara bärare av värdet, allmänt bytesmedel. Så småningom fixerar sig detta allmänna bruksvärde vid de av naturen mest lämpade varorna. Guld och silver är sådana naturliga penningvaror.
Penningens uppkomst drivs fram av de i varan inneboende motsättningarna. Den ger i sin tur upphov till nya motsättningar.
Pengarna fungerar både som värdemätare och som cirkulationsmedel. Redan däri ligger ett spänningsförhållande. Som värdemätare ger pengarna varan dess pris. Priset uttrycker ideellt dess värde. Men det uttrycker samtidigt dess "fromma önskan att bli guld" - varuproducenten producerar bruksvärden för andra, inte för sig själv. Transsubstantiationen måste alltså lyckas, varan måste göra sitt dödssprång, dess ägare måste finna "den punkt i varuvärlden" där hans vara "drar till sig guld".[25] Som cirkulationsmedel framträder pengarna (och penningvaran) som den objektiva betingelsen för att varan ska realisera sitt värde, både kvalitativt och kvantitativt. "Varan älskar pengarna", anmärkte Marx, "men 'sann kärleks väg är aldrig jämn' ".[26]
Som cirkulationsmedel förvandlar pengarna det enkla bytet av produkter till varucirkulation. Den egentliga ämnesomsättningen vara mot vara (V1 - V2) utvecklas till en process med pengarna som mellanled (V1 - P - V2). Processen sönderfaller i två led: varans försäljning (V1 - P) och köpet av en ny vara (P - V2) Men båda dessa led är vart för sig både köp och försäljning: det första är köp från penningägarens sida, det andra försäljning från en annan varuägares sida. Processen löser alltså upp sig i två självständiga akter, som kan skilja sig från varandra i tid och rum. Redan varucirkulationens enklaste form innesluter den formella möjligheten av avbrott och stockningar i varucirkulationen, ett faktum av betydelse för bl.a. kristeorin.[27]
Men pengarna medger inte bara en separation av de båda leden i varans metamorfos V1 - P - V2. De möjliggör också en separation av bytesprocessen från varuproducenterna, ett självständiggörande av bytesprocessen som sådan. Pengarnas kretsloppsform är P - V - P. I denna form har bytesprocessen gjort sig oavhängig av sitt ursprungliga ändamål, bytet av bruksvärde mot annat bruksvärde, och förvandlats till en bytesprocess för bytesvärdets skull. Mot denna form svarar en ny socialekonomisk funktion, som tränger sig mellan varuproducenterna: köpmannens, som köper för att sälja för att köpa för att sälja - för att uppehålla och genom de olika transaktionerna fortplanta bytesvärdet som sådant. Liksom köpmannakapitalet är kapitalets "antediluvianska" - urmodiga - form, så företer redan kretsloppsformen P - V - P den väsentliga likheten med kapitalets kretslopp, att pengarna bildar start- och slutpunkten för rörelsen.
Så länge vi bara betraktar pengarna som värdemätare och cirkulationsmedel, så framstår självständiggörandet av denna nya kretsloppsform närmast som en formell möjlighet. Dess reella möjlighet ligger däri att pengarna inte bara är värdemätare och cirkulationsmedel utan också - pengar. Pengar som pengar, det är pengarna som allmän, självständig och ensam företrädare för värdet, pengarna som "bytesvärdets enda adekvata existens".[28] Genom att avbryta varucirkulationen efter dess första fas, genom att sälja utan att köpa, försöker skattbildaren dra cirkulationsmedlet ur cirkulationen, förvandla det till pengar som pengar, ackumulera det som allmän samhällelig rikedom. Med varuproduktionens fortsatta utveckling förvandlas skattbildningen från en tillfällig konservering av överskott till en tvingande nödvändighet. Den driver skattbildaren till ständig anhopning av kvantitativt begränsade värdesummor och gör honom till "bytesvärdets martyr", till "helig asket på metallpelarens topp".[29] Samtidigt utvecklar pengarna en ny funktion, där de åter inträder i cirkulationen som "bytesvärdets absoluta existens" och "bytesprocessens sista ord". Det sker när de fungerar som allmänna betalningsmedel.[30] I båda dessa fall - som föremål för skattbildning och som allmänt betalningsmedel - har penningen delvis lösgjort sig från varucirkulationens elementära form V1 - P - V2. Den har tvingat varucirkulationen att underordna sig bytesvärdet som självändamål och förvandlat dess ena fas - V - P, försäljning utan köp - till en ändamålsenlig akt.
Vi återvänder till P - V - P, den form i vilken pengar ges ut för att fås tillbaka, förskotteras för att återvända. Vad skiljer den från skattbildningen? I båda fallen är bytesvärdet motiv och ändamål. Men om i P - V - P kvantitativt samma penningsumma återvänder som den utlagda, om varan säljs för vad den köpts, då har bytesvärdet endast konserverats. Då förefaller skattbildarens metod enklare och säkrare. Å andra sidan: för skattbildaren är den väsentliga uppgiften att öka sin skatt i principiellt obegränsad omfattning. Och för detta nödgas han inte bara arbeta och försaka, han måste också ständigt dra cirkulationsmedel från cirkulationen, ackumulera bytesvärde genom att avstå från att byta.
Men om det i P - V - P' gäller, att P' > P, att de utlagda pengarna återvänder med ett tillskott ΔP, då har bytesvärdet inte bara konserverats utan ökat. Det har ökat inte genom att pengarna undandras cirkulationen utan tvärtom i och genom deras kretslopp. Och värdeförmeringen gör denna kretsloppsprocess till ett självändamål, som ständigt söker upprepa sig i obegränsat växande omfattning.
Då cirkulerar pengarna inte längre som pengar utan som kapital. P - V - P + ΔP är den allmänna formeln för kapitalets kretsloppsprocess, giltig för såväl köpmanna- som industrikapitalet. ΔP är mervärde. Kapitalet är "Mehrwert heckender Wert", värde som ynglar av sig mervärde. Kapitalets värdeförmeringsprocess är den framgångsrika lösningen på skattbildarens martyrium.
"Denna absoluta drift att berika sig, denna lidelsefulla jakt efter värde har kapitalisten gemensamt med skattbildaren. Men medan skattbildaren bara är den förryckta kapitalisten, är kapitalisten den rationella skattbildaren. Den rastlösa förmering av värdet, som skattbildaren strävar efter i det han söker rädda pengarna undan cirkulationen, den uppnår den klokare kapitalisten i det han ständigt på nytt prisger dem åt cirkulationen."[31]
I det utvecklade kapitalistiska samhället intar handelskapitalet en helt underordnad ställning i förhållande till industrikapitalet. Men den tjänande brodern har finare anor. Kapitalet utvecklas ur varucirkulationen. Handeln med varor - och naturligtvis: med pengar - är dess ursprungliga sysselsättning. Först så småningom bemäktigar sig kapitalet produktionen. Det är dess avgörande erövring, och när den är gjord, reduceras handelskapitalets roll slutgiltigt. Men innan dess intar handelskapitalet - liksom dess följeslagare, det räntebärande kapitalet eller ockerkapitalet - en självständig ställning, ju mer självständig ju mindre utvecklade produktionsförhållandena är.
Bytet skapar inget värde. Att varan går ur hand i hand ändrar ingenting i den för dess framställning socialt nödvändiga mängden abstrakt arbete. Därför gör köpmannen sin vinst genom att köpa billigt och sälja dyrt, så som redan merkantilisterna mycket riktigt framhöll. Han köper varan under och/eller säljer den över dess värde. Han utnyttjar skillnaderna - naturliga eller historiskt uppkomna - i produktionsbetingelser och kostnader mellan olika och från varandra skilda samhällen, som endast tillfälligt förbinds med varandra genom varuhandelns förmedling. Ibland köper han inte alls, d.v.s. plundrar.
Dessa exploateringsmetoder går som en röd tråd genom handelskapitalets historia. Varuhandeln utvecklas i de självhushållande samhällenas utkanter, i den gamla världens porer. Historien uppvisar en rad exempel på utpräglade handelsfolk, som ofta genom långväga handel (med eller utan plundring) transiterade varor mellan olikartade produktionsområdens mynningar och frenetiskt slogs för sin exklusiva mellanhandsställning: fenicier och greker, kartager och syrier, venetianare och genuesare, hanseater och holländare. Genom dem utvecklades också transportmedlen men knappast i någon revolutionerande omfattning. Vind och våg var ännu fram till den industriella revolutionen varutransportens viktigaste hjälpmedel.
Men varuhandeln utvidgar också beständigt sin marknad och drar in en allt större del av produktionen i varucirkulationen. Den avtvingar varuproducenterna mer varor och stimulerar växande behov. Så skapar den ständigt nya marginaler för att köpa billigt och sälja dyrt.
Om varuhandeln hade utvecklats i en jämlikhetens värld av idel självständiga varuproducenter, som själva ägde hela produkten av sitt arbete, då hade utrymmet för handelskapitalets tillväxt haft snävare gränser. Men så var det inte. Varuhandeln tränger in i samhällen, som före den och oberoende av den är delade i klasser. Helt utan varuhandelns förskyllan och värdighet existerar det i dessa samhällen en merprodukt: slavar, bönder och andra beroende producenter avtvingas ett överskott till slavägare, jordägare och andra utsugare. Koncentrationen av ett produktionsöverskott i ett fåtals händer vidgar varucirkulationens bas. Den skapar samtidigt en köpkraftig efterfrågan på de lyxvaror, som ständigt uppträder som pionjärer i varuhandelns historia: pepparn och sidenet blev världshandelsvaror långt före sockret och bomullen. Men framför allt: handelskapitalet snyltar på den av andra utsugare frampressade merprodukten, det stoppar en del av den i egna fickor och omvandlar den till kapital.
I den ekonomiska historien brukar man starkt betona handelns omvandlande roll och utvecklingsbefrämjande effekter under förindustriell tid. Sant är att handelskapital och varuhandel utvecklar varucirkulation och penninghushållning till den nivå, som den kapitalistiska varuproduktionen kräver som sin startpunkt. Såtillvida skapar de nödvändiga betingelser för kapitalistiska produktionsförhållanden, samtidigt som de i viss mån verkar upplösande på äldre samhällsförhållanden. Men det är också sant att handelskapital och varuhandel i sig själva inte omvandlar produktionen eller skapar nya produktionsförhållanden. Tvärtom baserar handelskapitalet sin självständiga ställning just på outvecklade produktionsförhållanden, t.o.m. på det förhållandet att varuproduktionen alltjämt rör sig inom snäva gränser. Det är framför allt viktigt att observera, att handelskapitalet parasiterar på förkapitalistiska utsugningsrelationer, härdar dem, befäster dem och växer samman med dem i ett symbiotiskt förhållande. Perioder av stark tillväxt av handeln under förkapitalistisk tid går regelbundet samman med en skärpning av förkapitalistiska utsugningsformer och eländigare villkor för de omedelbara producenterna: slaveriets blomstringsperioder under antiken, den feodala reaktionen under högmedeltiden, den "andra livegenskapen" i östra Europa från början av nyare tid, plundringen av kolonierna och deras folk är klassiska exempel. Det faller sig också naturligt för köpmannaoligarki och skeppsbroadel att sluta upp på de gamla samhällsförhållandenas sida i de borgerliga revolutionernas period.[32]
Så står varuproduktionens och kapitalismens utveckling i ett dialektiskt förhållande till varandra. Varuproduktionen måste utvecklas till en viss nivå för att kapitalistiska produktionsförhållanden ska kunna uppstå. Men det är först som kapitalistisk produktion, som varuproduktionen blir helt dominerande och penetrerar hela samhällslivet
Den allmänna formeln för kapitalets kretslopp är P - V - P' där P' > P, där alltså kapitalet i och genom sitt kretslopp ynglar av sig ett mervärde ΔP. Men bytet skapar inget värde. Varken transaktionen P - V eller transaktionen V - P' kan i och för sig tillföra kapitalet mera värde. Därför måste köpmannen köpa under och/eller sälja över varans värde, där han inte kan utnyttja värdeförhållandenas tillfälliga karaktär. Men varken outvecklade värderelationer eller avvikelser från värdet i köp och försäljning kan förklara det kapitalistiska mervärdet. Om kapitalismen inte hade producerat mervärde, då hade den inte kunnat omvandla produktionsbetingelserna, den hade inte ens kunnat utveckla varuproduktionen till den generella formen för produktion. Den hade varit dömd att spela samma väsentligen parasitära roll som handelskapitalismen under förkapitalistisk tid.
Utgångspunkten för en förklaring av det kapitalistiska mervärdet måste därför vara att alla varor köps och säljs till sina värden. Det innebär en abstraktion. Vad vi därvid bortser från är i själva verket inte bara prisfluktuationer på kort sikt. Vi arbetar också med den förutsättningen att kapitalet i varje produktionsgren fördelar sig i värdemässigt samma proportioner på lagrat resp. levande arbete, på produktionsmedel och arbetskraft. Den förutsättningen strider givetvis mot verkligheten, där kapitalsammansättningen skiljer sig väsentligt från bransch till bransch. Och till följd av konkurrensen mellan kapital av olika sammansättning kommer - som i ett senare kapitel ska visas - inte heller genomsnittspriserna att sammanfalla med värdena. Men dessa aspekter av den kapitalistiska konkurrensen är sekundära och bör behandlas i ett senare led. För att förstå dem måste vi först ha förklarat kapitalet, vilket i sin tur förutsätter en förklaring av mervärdet. Och mervärdet måste förklaras utifrån varuproduktionens allmänna lagar, d.v.s. utifrån förutsättningen att det alltid är lika värden som byts mot varandra.[33]
Hur är då - under denna förutsättning - mervärdet möjligt? Det är möjligt, säger Marx, endast om man kan få ut bytesvärde genom själva förbrukningen, konsumtionen av den vara man köper. Köparen har obestridlig rätt att utnyttja den köpta varans bruksvärde: köper jag ett bröd, så kan jag äta upp det. Men om förbrukningen ska ge bytesvärde, då
"måste vår penningägare vara så lycklig, att han inom varucirkulationens område, på marknaden, upptäcker en vara, vars själva bruksvärde har den egendomliga beskaffenheten att vara en källa till värde, vars verkliga förbrukning alltså själv är materialisering av arbete och därmed värdeskapande."[34]
Det gäller här varan arbetskraft (arbetsförmåga). Hur denna vara befinner sig på marknaden, det hör till den kapitalistiska produktionens betingelser, och vi ska återkomma till dem. Men låt oss anta att den finns där, att kapitalisten på marknaden kan köpa rätten att förbruka en annans arbetskraft under exempelvis en dag.
Vad betalar han för det? Han måste enligt våra förutsättningar betala varans värde. Om arbetskraften gäller detsamma som om andra varor: dess värde är den för dess framställning socialt nödvändiga mängden abstrakt arbete. Arbetaren måste ha livsmedel, kläder, bostad, försörjning för sig och sin familj, om hans arbetskraft ska reproduceras som vara på marknaden. Hur mycket, det beror av de naturbetingelser och historiskt sociala omständigheter, som format den allmänna levnadsnivån. Men i ett givet samhälle är det en viss mängd varor som arbetaren och hans familj måste förbruka för att hans arbetskraft dagligen ska reproduceras, d.v.s. nästa dag åter kunna bjudas ut på marknaden. Denna varumängd är också en värdemängd, den innehåller en viss mängd abstrakt arbete, socialt nödvändig för dess framställning. Låt oss anta att denna mängd, mätt i tid är 4 timmar. 4 timmar är alltså arbetskraftens värde för en dag, som kapitalisten måste betala. Låt oss därpå följa kapitalistens förbrukning av den vara han köpt, d.v.s. arbetarens arbete. Under arbetsprocessen förbrukas råmaterial, hjälpmedel och redskap av olika slag, som kapitalisten köpt till deras värde, motsvarande den mängd abstrakt arbete de innehåller. Men i den mån produktionsmedlen förbrukas ändamålsenligt i produktionen, d.v.s. tjänar framställningen av nytt bruksvärde, så konserveras de förbrukade och förslitna produktionsmedlens värde och överförs oförändrat på den nya varan. Därtill fogar arbetaren nytt värde. Efter 4 timmar har han - vid genomsnittlig energiförbrukning - reproducerat det värde, varmed kapitalisten köpt hans arbetskraft. Om produktionsprocessen nu avbröts, arbetaren gick hem och kapitalisten sålde den producerade varan till dess värde, så skulle han vid realiserandet av det av arbetaren tillskapade värdet endast få tillbaka det som han betalar för arbetskraften. Därutöver skulle han vid varans försäljning också få täckt sina utgifter för de råmaterial och hjälpmedel som förbrukats och de maskin- och verktygsdelar som förslitits under dessa 4 timmars arbete. Alltså finge han i detta fall bara tillbaka vad han ger ut. Hans kapital skulle inte ha ynglat av sig något mervärde. Och detta vore fallet, helt oberoende av hur kapitalisten än sparat och knåpat, hur han än försakat och väntat, hur tappert han än bekämpat nutidsvarornas övervärdering.[35]
Men varför skulle han avbryta produktionsprocessen efter 4 timmar? Han har köpt rätten att förbruka arbetskraften under en dag. Och arbetaren har sålt denna rätt och får betalt för den - för säkerhets skull dock i efterskott. Alltså utsträcks arbetstiden till exempelvis 8 timmar. Under denna tid fortsätter arbetaren att produktivt förbruka råmaterial och slita redskap, varvid alltjämt deras värde konserveras och överförs på den nyproducerade varan. Men han fortsätter också att timme för timme därutöver tillskapa nytt värde. När arbetsdagen är slut, har 8 timmars värde tillfogats de förbrukade produktionsmedlens. Detta värde kan kapitalisten realisera vid försäljningen, det ingår i hans nya varas värde. Men värdet av den vara han köpt av arbetaren, dennes arbetskraft, är hälften därav eller 4 timmar. Skillnaden mellan det av arbetaren tillskapade värdet och värdet av hans arbetskraft är alltså 4 timmar, och detta värde framträder vid varans försäljning som realiserat mervärde, som ΔP.
Arbetsdagen består alltså av två delar. Dess ena del är den tid under vilken arbetaren reproducerar värdet av sin arbetskraft. Marx kallar den den nödvändiga arbetstiden. Om arbetslönen motsvarar arbetskraftens värde - och det ingår i vår förutsättning - så är den också betald arbetstid. Arbetsdagens andra del är den tid under vilken arbetaren producerar värden utöver värdet av sin arbetskraft. Marx kallar den merarbetstid, den är också obetald. I vårt exempel fördelar sig arbetsdagens 8 timmar med hälften på den nödvändiga och hälften på merarbetstiden. Mervärdet är kristalliserad merarbetstid.
Vi kan nu fullständiga formeln för kapitalets kretslopp i den kapitalistiska produktionen:
![]()
I denna process sker alla köp och försäljningar till varornas värden. P - V och V' - P' är båda byten av ekvivalenter. Värdeförmeringsprocessen sker i produktionen. Kapitalisten köper inte samma vara billigt och säljer den dyrt. Han köper och säljer olika varor.
Vid transaktionen P - V sönderfaller kapitalet i två delar Den ena omvandlas till produktionsmedel. Dess värde förändras inte genom produktionsprocessen; de förbrukade produktionsmedlens värde överförs oförändrat på den nya varan. Marx kallar därför denna del konstant kapital. Den andra delen används för köp av arbetskraft. Den delen reproduceras i produktionsprocessen med ett värdetillskott, som motsvarar merarbetstiden. Marx kallar den därför variabelt kapital. Den producerade varans värde byggs alltså upp av tre beståndsdelar: konstant kapital (k), variabelt kapital (v) och mervärde (m). Lägg märke till att det konstanta kapitalets värde inte reproduceras i produktionsprocessen! Produktionsmedlens bruksvärde förintas men deras värde bevaras, det behöver alltså inte och kan inte heller ersättas av arbetarens arbete. Däremot är det variabla kapitalets värde förmäl för verklig reproduktion: varje arbetstimme - nödvändig såväl som merarbetstid - skapar nytt värde (v+m).[36] Schematiskt kan man alltså illustrera produktionsprocessens värdeförmering så:

Mervärdets förklaring är alltså väsentligen denna: kapitalisten köper varan arbetskraft till dess värde, men han säljer en annan vara, vilken innehåller det större värde, som förbrukningen av arbetskraften skapat.
Redan före Marx hade den klassiska arbetsvärdeteorin beväpnat en socialistisk kritik av kapitalistens arbetsfria inkomst. Men det skedde då i allmänhet i den formen, att bytet mellan kapital och arbete angavs som ett brott mot principen om "equal exchange", byte av ekvivalenter. "Det är endast arbetet som skapar värde", skrev den engelske senricardianen och utopisten J. F. Bray. "I ett rättvist bytessystem skulle alla varors värden bestämmas av hela deras produktionskostnad; och lika värden skulle alltid bytas mot lika värden." Men tvärtom existerar
"detta det mest orättvisa bytessystem - arbetarna har givit kapitalisten ett helt års arbete i utbyte mot endast ett halvt års värde - och därav, inte av påstådda skillnader i individernas kroppsliga och mentala förmögenheter, härrör den brist på jämlikhet och makt som för närvarande finns omkring oss. Ett oundvikligt villkor för denna brist på ekvivalens i bytet - köp till ett pris och försäljning till ett annat - är att kapitalisterna fortsätter att vara kapitalister och arbetarna arbetare - de ena en klass av tyranner och de andra en klass av slavar - för evigt."[37]
Marx däremot visade att kapitalismen är varuproduktion och följer dess allmänna lag om byte av ekvivalenter. Det lönar sig därför inte att ropa på polis för att upprätthålla varuproduktionens och varubytets lagar mot kapitalisterna. Som varuförsäljare behöver arbetaren inte bli prejad. Även när han får betalt för sin arbetskraft till dess fulla värde blir han utsugen. Förhållandet är att han är tvungen att sälja sin arbetskraft och att kapitalisten kan köpa och förbruka den.
Att arbetskraften bjuds ut som vara är därför den väsentliga betingelsen för kapitalistisk mervärdeproduktion. Varje vara måste ha ett bruksvärde för andra än varans ägare, ett bruksvärde för köparen. Arbetskraftens bruksvärde för kapitalisten består i att dess förbrukning alstrar mervärde. Gjorde den inte det vore varan osäljbar. Denna avgörande punkt har ibland missats i senare diskussion. I en artikel från 1935 sökte Oskar Lange omtolka Marx' mervärdeteori till en teori om innovationernas oumbärlighet för det kapitalistiska systemet. Det var, menade han, framför allt teorin om arbetskraftens värde som var otillfredsställande; dess rationella kärna låg däri att den visade att "tekniska framsteg hindrade lönerna från att äta upp profiterna".[38] Men om arbetarna måste sälja sin arbetskraft som vara, till vem skulle de kunna sälja den utan att producera mervärde?
Arbetskraften som vara är resultatet av en historisk process. Dess väsentliga innebörd är att arbetarna gjorts fria i dubbel bemärkelse. Å ena sidan måste arbetaren vara fri att sälja sin arbetskraft till den som vill köpa den. Han kan inte vara slav, ty slaven förfogar inte över sin arbetskraft som vara. Han måste också vara fri från de beroendeförhållanden och bindningar som kännetecknade de feodala produktionsförhållandena. En upplösning av de förkapitalistiska samhällsförhållandena med deras olika former av utomekonomiskt tvång gentemot producenterna är därför en betingelse för kapitalismen. Å andra sidan måste arbetaren vara fri, d.v.s. skild från de produktionsmedel och andra arbetsbetingelser, som är en förutsättning för hans produktiva verksamhet. Friheten i denna mening tvingar honom att sälja sin arbetskraft till dem som förfogar över produktionsmedlen, den är det ekonomiska tvång som kännetecknar kapitalismen. Kapitalet definieras alltså genom sitt förhållande till en egendomslös klass, ett proletariat. Det är en social relation, ett produktionsförhållande.
Den process genom vilken detta förhållande uppkommer, kallade Marx "den så kallade ursprungliga ackumulationen". "Så kallade" är här en ironisk reservation. Det är inte fråga om ackumulation i vanlig mening, d.v.s. mervärdets förvandling till kapital, utan om den process som gör mervärdeproduktionen möjlig. Det är vidare fråga om krossandet av de ursprungliga förhållanden, som kapitalet möter vid sitt första framträdande i historien: den feodala privategendomen, hantverkarnas och böndernas på eget arbete grundade äganderätt till sina produktionsmedel. Det handlar om
"skilsmässoprocessen mellan arbetaren och äganderätten till hans arbetsbetingelser, en process som å ena sidan förvandlar de samhälleliga livs- och produktionsmedlen till kapital, å andra sidan de omedelbara producenterna till lönarbetare. Den s.k. ursprungliga ackumulationen är alltså ingenting annat än den historiska skilsmässoprocessen mellan producent och produktionsmedel."
Historiskt avgörande i denna process är de moment, "då stora människomassor plötsligt och våldsamt lösslitas från sina existensmedel och som fågelfria proletärer slungas ut på arbetsmarknaden."[39] Sin historiska framställning av denna process startar därför Marx med böndernas expropriation från gård och grund, massgrundvalen för hela omvandlingen. Han fortsätter med blodslagarna mot de exproprierade, med uppkomsten av kapitalistiska arrendatorer på landsbygden, med utvecklingen av lönarbetarklassen och den inre marknaden. Slutligen visar han hur koncentrationen av kapital underlättats genom olika former av statligt våld: kolonialsystem och slavhandel, krig och protektionism, statlig upplåning och skatteutplundring. Den kapitalistiska egendomen grundar sig på expropriation av de enkla varuproducenterna, på upphävandet av den förkapitalistiska privategendomen. I denna mening är den socialistiska revolutionen "negationens negation", då "expropriatörerna blir själva exproprierade".[40]
Det är nu möjligt att knyta samman de två trådarna i Marx' analys av kapitalets uppkomst. Den ena tråden leder oss in till varan, den kapitalistiska organismens urcell. Längs den kan vi följa hur varans inre motsättningar framtvingar dess fördubbling i vara och pengar, och hur pengarnas motsättningar driver dem att omvandlas till kapital. Men denna härledning är inte någon reproduktion av den konkreta historiska utvecklingen. Dess syfte är att visa hur varuproduktionen i dess rena och elementära form av "enkel varuproduktion" alstrar kapitalism. Men den enkla varuproduktionen är såtillvida en abstraktion, som den konkreta förhistoriska varuproduktionen är svagt och ofullständigt utvecklad och endast ofullständigt förverkligar varuproduktionens allmänna lagar. Det är först med kapitalismen som varuproduktionen blir produktionens allmänna förhärskande form, som med lönarbetet som grundval påtvingar sig hela samhället och som fullt ut förverkligar varuproduktionens lagar.[41]
I den konkreta historiska utvecklingen föregås kapitalismen inte av någon gyllene tidsålder, då alla är självägande varuproducenter. Den växer tvärtom fram i hägnet av tidigare klassamhällen med sina former av våld, förtryck och exploatering av de omedelbara producenterna. Till dessa äldre klassförhållanden för oss den andra tråden i Marx' analys. De kapitalistiska produktionsförhållandena segar sig fram med det redan existerande klassförtrycket som hävstång.
"Utgångspunkten för den utveckling, som skapade både lönarbetaren och kapitalisten, var arbetarens träldom. Vidareutvecklingen bestod i en ändrad form för denna träldom, i det den feodala exploateringen förvandlades till kapitalistisk."[42]
Vi återvänder nu till den i detta kapitels första avsnitt diskuterade frågan. Uttrycket "kapitalets produktivitet" kan vid första påseende förefalla stå i strid mot den marxistiska teorin. Så är inte fallet. Vad det gäller är att skilja mellan de fetischistiska föreställningar om kapitalets produktivitet, som de kapitalistiska produktionsförhållandena själva alstrar, och kapitalets verkliga produktivitet.
De vanliga, allmänna arbetsbetingelserna - råmaterial, verktyg, produktionsmedel i allmänhet, som själva är produkter av arbete - omvandlas under kapitalismen till kapital. Som kapital uppträder de mot arbetaren som en självständig makt, som "ger honom sysselsättning", exploaterar honom, tvingar honom att bevara och förmera deras värde. Redan därigenom förefaller kapitalet utrustat med egna övernaturliga egenskaper, med egen produktiv kraft. Detta intryck förstärks genom utvecklingen av arbetets samhälleliga karaktär: från enkel samverkan i arbetet över manufakturens arbetsfördelning till fabriksindustrin med dess vetenskapligt genomförda - och på realiserad vetenskap, maskiner, baserade - arbetsorganisation. I allt detta, inte minst i "den tekniska utvecklingen", framträder det mänskliga arbetets samhälleliga karaktär gentemot människorna som kapitaliserat, som kapitalets krafter, som kapitalets bedrifter, som kapitalets och kapitalisternas egna funktioner. Den borgerliga nationalekonomin upptäcker följaktligen i alla dessa yttringar av det mänskliga arbetets församhälleligande endast nya attribut till kapitalet. De samhälleliga produktionsförhållandena uppträder här i samma förvanskade, försakligade eller personifierade form, som när penningen framstår som inkarnationen av den samhälleliga rikedomen.
Kapitalets verkliga produktivitet består däremot i följande:
"1:o i tvång till merarbete; 2:o i att absorbera och tillägna sig det samhälleliga arbetets produktivkrafter och de allmänna samhälleliga produktivkrafterna, däribland vetenskapens."[43]
Är då inte kapitalets produktivitet identisk med arbetets produktivitet, med "att arbetet producerar mer än vad som för dess underhåll är erforderligt"?[44]
Marx diskuterar den uppfattningen ingående och avvisar den energiskt. Mervärdet är icke följden av någon mystisk, naturbetingad egenskap hos arbetet. Det har en naturlig förklaring
"endast i den helt allmänna betydelsen, att det inte finns några naturhinder, som gör det omöjligt för en man att på andra avlasta det arbete, som är nödvändigt för hans uppehälle, alldeles på samma sätt som att inga absoluta naturhinder avhåller den ene från att använda den andres kött till föda. /.../ Vad gynnsamma naturbetingelser ger är alltid endast möjligheten, aldrig däremot förverkligandet av merarbete, mervärde eller merprodukt."
En viss produktivitet hos arbetet är alltså en nödvändig men inte tillräcklig förutsättning för kapitalistisk mervärdeproduktion liksom för annan utsugning. Under gynnsamma naturliga betingelser kan en man kanske under bråkdelen av en dag producera sitt dagsuppehälle. Men det finns inga naturliga skäl till att han ska ägna resten av dagen åt att producera, vare sig åt sig själv eller åt andra:
"Vad naturens givmildhet omedelbart ger honom är mycket fritid. För att han ska kunna använda den produktivt för egen räkning krävs en hel rad historiska omständigheter. För att han ska ge ut den i form av merarbete för andra fordras yttre tvång."[45]
En klar insikt om kapitalets verkliga produktivitet är nödvändig för att förstå dess plats i historien. Kapitalet pressar ut merarbete. Att det - jämfört med tidigare utsugningsformer som slaveri och livegenskap - framstår som unikt när det gäller att piska fram utvecklingen av produktivkrafterna, det beror på att det framtvingar merarbete på sätt och i former, som är gynnsammare för denna utveckling. Därmed förbereder det också ett nytt och högre stadium i den historiska utvecklingen.[46] Fullt konsekvent börjar det Kommunistiska manifestet sitt historiska avsnitt med en medryckande skildring av bourgeoisins revolutionära roll i historien och av vad den skapat i form av "jättelikare och kolossalare produktivkrafter än alla de föregående generationerna gemensamt".[47] Det är den ena sidan. Den andra är att kapitalismen också åstadkommit den absurditet, som inget tidigare samhällstillstånd känt: att göra merarbetets maximering till all produktiv verksamhets ändamål. Det är visserligen sant, att ett visst kvantum merarbete alltid och under alla samhällsformer kommer att fordras, dels som en försäkring mot tillfälligheter, dels för den progressiva utvidgning av reproduktionen, som befolkningens och behovens tillväxt kräver. Men:
"Frihetens rike börjar i själva verket först där det arbete, som betingas av nöd och yttre ändamålsenlighet, upphör. Det ligger enligt sakens natur hinsides den egentliga materiella produktionens sfär. Vilden måste slåss mot naturen för att tillgodose sina behov, för att uppehålla och reproducera sitt liv. Det måste också den civiliserade människan göra i alla samhällsformer och under alla tänkbara produktionssätt. Med den mänskliga utvecklingen utvidgar sig detta nödvändighetens rike, eftersom behoven gör det. Men så gör också de produktivkrafter, som tillgodoser behoven. Friheten på detta område kan blott bestå däri, att den församhälleligade människan, de förenade producenterna, rationellt reglerar denna sin ämnesomsättning med naturen, att de tvingar in den under sin gemensamma kontroll istället för att behärskas av den som en blind makt, att de fullbordar den med minsta möjliga kraftförbrukning och under de för den mänskliga naturen värdigaste och mest adekvata betingelserna. Men likafullt förblir det ett nödvändighetens rike. Hinsides detta börjar den mänskliga kraftutveckling, som gäller som sitt eget ändamål, frihetens sanna rike, som emellertid blott kan blomstra på grundval av nödvändighetens. Förkortning av arbetsdagen är här huvudvillkoret."[48]
I detta kapitel ska vi framför allt behandla arbetslönen. De problem som tes upp är väsentligen två: vad arbetslönen är och vad som bestämmer dess storlek. Till båda dessa frågor lämnar den marxistiska teorin helt andra svar än de dominerande borgerliga uppfattningarna.
Marx' teori om arbetslönen arbetar bl.a. med utgångspunkt från begreppen utsugningsgrad och produktion av absolut resp. relativt mervärde. Vi börjar därför med en redogörelse för dessa begrepp.
I sin egenskap av proletär tvingas lönarbetaren att sälja sin arbetskraft till den som äger produktionsmedlen, till kapitalisten. Det pris som arbetskraften betingar kommer liksom andra varupriser att växla med förändringar i utbud och efterfrågan. Men liksom andra prisfluktuationer rör sig växlingarna i arbetskraft till den som äger produktionsmedlen, till varans värde. Värdet av varan arbetskraft är den mängd abstrakt arbete, som är socialt nödvändig för att reproducera arbetskraften som vara. Det är m.a.o. vad det i allmänhet kostar i arbetstid av genomsnittlig intensitet att framställa värdet av de nyttigheter, som arbetaren och hans familj vid givna levnadsbetingelser kräver för att ständigt på nytt leverera arbetskraft till marknaden. Kapitalismens rättvisa lön, anmärkte Engels,
"är under normala förhållanden den summa som behövs för att skaffa arbetaren de existensmedel, vilka han - alltefter sin ställning och sitt lands levnadsstandard - behöver för att bevara sin arbetsförmåga och fortplanta sin ras."[49]
Men det värde som arbetaren skapar - och som kapitalisten som köpare av hans arbetskraft tillägnar sig - är ett annat värde. Det bestäms vid genomsnittlig arbetsintensitet och arbetsskicklighet av den tid som arbetaren arbetar. Under 8 timmars arbetsdag nyskapar arbetaren 8 timmars värde, helt oberoende av hur många arbetstimmar det krävs för att reproducera hans arbetskraft för en dag. Om arbetskraftens reproduktion för en dag i detta fall också krävde 8 timmar, så vore kapitalistisk mervärdeproduktion omöjlig: arbetskraftens värde och därmed dess pris skulle uttömma det nyproducerade värdet och kapitalisten skulle inte ha någon anledning att köpa arbetskraften. I realiteten arbetar arbetaren alltså bara en del av sin arbetsdag för att reproducera värdet av sin arbetskraft, d.v.s. reproducera värdet av de varor som han med sin lön köper för att försörja sin familj. Resten av arbetsdagen producerar han mervärde åt kapitalisten.
Antag att arbetaren reproducerar värdet av sin arbetskraft för en dag under en tredjedel av arbetsdagen. Av 8 timmars arbetsdag går 22/3 timmar åt för att producera de värden som motsvarar arbetskraftens dagspris, lönen för en dag. Det är vad vi i föregående kapitel kallat den nödvändiga eller betalda arbetstiden. Resterande 51/3 timmar är då merarbetstid eller obetald arbetstid. Relationen mellan merarbetstid och nödvändig arbetstid är här 2/1. Ur kapitalistens synpunkt är detta relationen mellan det mervärde han tillägnar sig och hans variabla, i arbetslöner utlagda kapital, alltså m/v. Marx kallade den mervärdekvot.
Mervärdekvoten mäter utsugningsgraden, förhållandet mellan den tid som arbetaren arbetar gratis åt kapitalisten, och den tid under vilken han reproducerar sin arbetskraft. Den bestämmer den mervärdemängd, som ett variabelt kapital av given storlek kan producera (m = v m/v). Den ligger också till grund för nettonationalinkomstens (V+M) fördelning.
Vid varje givet tillfälle bestäms fördelningen mellan kapital och arbete av en ständigt pågående dragkamp mellan kapitalister och arbetare. Betingelserna för denna kamp växlar ständigt. Den politiska ekonomin har i första hand att analysera de allmänna villkoren. Utgångspunkten måste därvid vara, att alla varor, inklusive arbetskraften, köps och säljs till deras värden.
I så fall bestäms mervärdekvoten av två faktorer, som åtminstone inom vissa gränser är oavhängiga av varandra. Den ena är arbetstidens längd, mätt exempelvis i arbetstimmar per dag; den andra är arbetskraftens värde eller den nödvändiga arbetstiden per samma tidsenhet. Vid givet värde av arbetskraften kan mervärdekvoten endast stiga eller falla med arbetstidens längd; vid given arbetstid endast med fallande resp. stigande värde av arbetskraften. Därav följer att det finns i princip två sätt för kapitalisterna att höja mervärdekvoten: att förlänga arbetstiden och att sänka den nödvändiga arbetstiden. Marx kallade dem produktion av absolut resp. relativt mervärde.
Om arbetstiden vore lika med den nödvändiga arbetstiden, då vore mervärdekvot och mervärdemängd = 0. All kapitalistisk produktion förutsätter alltså en viss förlängning av arbetstiden utöver den nödvändiga. Produktionen av absolut mervärde är därför den allmänna grundvalen för det kapitalistiska produktionssättet och den logiska utgångspunkten för all mervärdeproduktion. Den bildar också den historiska utgångspunkten. I det kapitalistiska produktionssättets första barndom förändrar sig de allmänna produktionsbetingelserna endast långsamt. I motsvarande grad tenderar arbetskraftens värde att vara konstant. Mervärdekvoten kan då bara höjas genom en förlängning av arbetstiden.
Men en höjning av mervärdekvoten genom förlängning av arbetstiden har sina givna gränser. Arbetsdagen kan visserligen - och så skedde också i industrialismens första skede - betraktas som 24 timmar minus den för vila fysiskt nödvändiga tiden. Även så har den emellertid en gräns, vars överskridande bara är möjligt till priset av en snabbare förslitning av arbetskraften och en därav betingad stegring av dess värde. "I sitt eget intresse", anmärkte Marx, "tycks kapitalet därför hänvisat till en normalarbetsdag."[50]
Det betyder naturligtvis inte, att produktionen av absolut mervärde upphör i och med införandet av lagstadgad arbetstid. Den förblir den allmänna grundvalen för den kapitalistiska produktionen. Därtill kommer, att kapitalisterna alltid strävar efter att om möjligt förlänga arbetstiden, exempelvis genom krav på övertid. Dessa strävanden blir särskilt markanta i samband med införandet av större och kostsammare produktionsmedel, som genom sin omvandling av produktionsprocessen annars framför allt karakteriserar den relativa mervärdeproduktionen.
Den relativa mervärdeproduktionen är den höjning av mervärdekvoten, som äger rum oberoende av arbetstidens längd. Om arbetsdagen betraktas som given, kan mervärdekvoten bara stegras genom en förkortning av den nödvändiga arbetstiden, d.v.s. genom en sänkning av arbetskraftens värde.
Det kan i princip innebära två saker. Antingen kan den mängd varor, mätt i bruksvärden, som arbetarna förbrukar till arbetskraftens reproduktion, sjunka. Liksom vid förlängningen av arbetstiden möter vi emellertid här en naturbetingad gräns: arbetskraftens värde måste möjliggöra arbetskraftens fysiska reproduktion. Om vi åter betraktar denna varumängd som given, så kan dess värde bara sänkas genom en förkortning av den för dess framställning socialt nödvändiga arbetstiden, d.v.s. genom en stegring av arbetsproduktiviteten (= produktionen av bruksvärdeenheter per tidsenhet) vid framställningen av de varor, vilka - direkt eller indirekt - ingår i arbetskraftens reproduktion. Den allmänna mervärdekvoten påverkas alltså av förändringar i arbetsproduktiviteten, men endast om och i den utsträckning dessa förändringar inträffar i de branscher, som medverkar i framställningen av arbetarklassens konsumtionsvaror.
Begreppet arbetsproduktivitet i ovan angivna mening är emellertid tvetydigt. Å ena sidan kan produktiviteten hos samma mängd arbete - samma kvantitet fysisk och psykisk energiförbrukning - stiga. Det är vad Marx kallade en stegring av arbetets produktivkraft och förutsätter i regel förändrade produktionsbetingelser: förbättrade produktionsmetoder antingen genom bättre arbetsorganisation eller genom bättre produktionsmedel. Å andra sidan kan arbetsintensiteten - förbrukningen av fysisk och psykisk energi per tidsenhet - växa. Dessa förändringar har olika ekonomisk innebörd. Vi ska undersöka dem i tur och ordning.
Vi förutsätter här att arbetsintensiteten är konstant, så att förändringar i arbetsproduktiviteten är lika med förändringar i arbetets produktivkraft. Till förutsättningarna hör vidare att arbetstiden är konstant liksom den för arbetskraftens reproduktion nödvändiga varumängden, och att alla varor säljs till sina värden. Tre fall urskiljs, som också kan illustrera etapper i produktivitetsstegringens spridning från ett enskilt företag till hela produktionen.
(1) Arbetsproduktiviteten stiger i ett enda företag utan att nämnvärt förändra branschens genomsnittliga arbetsproduktivitet. Eftersom den för varje varas framställning socialt (och genomsnittligt) nödvändiga arbetstiden antas oberörd, är alla varuvärden oförändrade, så också arbetskraftens, och mervärdekvoten påverkas inte vare sig i branschen eller i industrin som helhet. Men de arbetare, vilkas arbetsproduktivitet ökat, kommer nu att per tidsenhet producera ett större antal varuenheter och därmed en större värdemängd. Deras kapitalist kan alltså - så länge produktivitetsstegringen inte spritt sig inom branschen - realisera ett extra mervärde och höja sin individuella mervärdekvot.
Det extra mervärdet reduceras, om kapitalisten på grund av sitt ökade utbud tvingas sänka priset och alltså sälja varan under dess värde. Det vore också möjligt för kapitalisten att betala sin arbetskraft över dess värde och ändå upprätthålla eller öka sin mervärdekvot. Även om mervärdekvoten - av båda dessa skäl - skulle sjunka i förhållande till utgångsläget, så skulle denna privilegierade produktivitetsstegring så länge privilegiet bestod kunna medge kapitalisten en större mervärdemängd.
(2) Arbetsproduktiviteten stiger i alla företag inom en bransch. För branschens output gäller nu, att den för varje varuenhet socialt nödvändiga arbetstiden sjunkit i paritet med produktivitetsstegringen. I motsvarande grad sjunker alltså värdet av varje varuenhet. Inget extra mervärde kan här uppstå. Ty branschens alla arbetare producerar nu per tidsenhet precis samma värdemängd som i andra branscher och som före produktivitetsstegringen. Den enda skillnaden är att denna per tidsenhet producerade värdemängd i berörda bransch fördelar sig på ett större antal varuenheter, av vilka var och en har lägre värde än förut. Om nu branschens output inte vare sig direkt eller indirekt ingår i arbetskraftens reproduktion, så påverkas inte arbetskraftens värde, alltså inte heller mervärdekvoten. Om däremot branschens output ingår i arbetskraftens reproduktion, sjunker arbetskraftens värde: den, för arbetskraftens reproduktion nödvändiga varumängden - som vi förutsatt konstant - får ett lägre värde än förut. Därmed stiger mervärdekvoten inom hela industrin. Sänkningen av arbetskraftens värde blir emellertid beroende av den vikt, som den av produktivitetsstegringen berörda varan har i arbetarnas budget. Om arbetsproduktivitetens stegring vore 25 % skulle den berörda varans värde sjunka med 20 %; om varan upptog 1/3 av arbetarnas konsumtionsutgifter skulle arbetskraftens värde sjunka med 6,67 %.
(3) Arbetsproduktiviteten stiger likmässigt i alla branscher. Alla varuvärden faller i paritet med produktivitetsstegringen. Hela den för arbetskraftens reproduktion nödvändiga varumängden påverkas likformigt. Arbetskraftens värde förändras i omvänd proportion till arbetsproduktiviteten, och mervärdekvoten stiger inom hela industrin.
Förutsättningen är här att arbetets produktivkraft är konstant, endast arbetsintensiteten växlar. Vi erinrar om att värdesubstansen är abstrakt arbete, d.v.s. arbete av genomsnittlig intensitet, av genomsnittlig fysisk och psykisk energiförbrukning per tidsenhet. I företag eller branscher, där arbetsintensiteten överstiger det samhälleliga genomsnittet, innehåller arbetstiden s.a.s. kondenserat arbete: varje arbetstimme innehåller mer än en timmes abstrakt arbete. Där produceras följaktligen mer värde per tidsenhet än genomsnittligt.
En stegring av arbetsintensiteten inom en del av produktionen (även omfattande hela branscher) gör det alltså möjligt för kapitalisterna att här realisera en större mervärdemängd per tidsenhet än förut. Vad som här bestämmer mervärdets ökning är skillnaden gentemot det samhälleliga genomsnittet: ju mer den ökade arbetsintensiteten sprider sig, ju mer påverkas den genomsnittliga arbetsintensiteten och ju mindre blir skillnaden i producerat värde per tidsenhet. Men den ökade arbetsintensiteten försliter arbetskraften snabbare och stegrar därmed dess värde. Arbetarna i mer än genomsnittligt arbetsintensiva företag kan alltså vara bättre betalda och ändå erhålla löner, som understiger värdet av deras arbetskraft. Låt oss som hittills förutsätta att all arbetskraft betalas till dess värde! Huruvida den stegrade arbetsintensiteten kan höja mervärdekvoten blir då beroende av om den genom stegringen åstadkomna skillnaden gentemot genomsnittet blir större än den av ökad förslitning framtvingade höjningen av arbetskraftens värde.
En stegring av den genomsnittliga arbetsintensiteten har också två varandra motverkande effekter på arbetskraftens värde. Eftersom här själva värdesubstansen komprimeras, sjunker å ena sidan alla varuvärden. Å andra sidan stiger arbetskraftens genomsnittliga förslitning. Verkningarna på mervärdekvoten - och därmed på kapitalisternas samlade mervärdemängd - blir beroende av hur dessa balanserar varandra.
Två synpunkter kan anföras till detta problem. Det framstår å ena sidan som sannolikt, att den marginella produkten per enhet förbrukad arbetsenergi - vid given arbetstid - i de flesta fall är sjunkande: även med fördubblade ansträngningar per timme torde arbetarna inte kunna fördubbla sin produktion. Det skulle innebära att varje ökning av arbetsproduktiviteten genom ökad arbetsintensitet måste köpas till priset av en större ökning av den förbrukade arbetsenergin, av förslitningen av arbetskraften.
Men den ökade förslitningen behöver inte - varken helt eller delvis - slå igenom på arbetskraftens värde. Om arbetarna lever på ett fysiskt existensminimum, så bör rimligtvis varje ökad förslitning av arbetskraften medföra en ökning av den för dess reproduktion nödvändiga varumängden. I detta fall är alltså möjligheterna att genom ökad arbetsintensitet stegra mervärdekvoten relativt snävt begränsade. Men i regel innehåller den för arbetskraftens reproduktion socialt nödvändiga varumängden mer än vad som krävs för dess fysiska reproduktion: arbetarklassens levnadsstandard överstiger dess fysiska existensminimum, i särskilt hög grad i de mer utvecklade kapitalistiska länderna.[51] Och denna differens tjänstgör uppenbarligen som en buffert mot arbetsintensitetens stegrande effekt på arbetskraftens värde. För att trygga sin fysiska reproduktion kan arbetarna tvingas ge upp delar av sin förut erövrade levnadsstandard, nämligen av vad denna förut inrymt utöver det fysiskt nödvändiga. I så fall behöver den för arbetskraftens reproduktion socialt nödvändiga varumängden inte öka alls, endast omfördelas. I andra hand kan en relativ omfördelning framtvingas: de fysiska reproduktionskostnaderna kan absorbera en större del av arbetarnas växande inkomster, eftersom den ökade arbetsintensiteten och förslitningen bara slår igenom på en del av deras arbetskrafts värde. Även så blir stegringseffekten på arbetskraftens värde mindre och utsikterna till växande mervärdekvot större.[52]
Slutsatsen kan formuleras så: ju mer arbetarnas levnadsstandard överstiger ett fysiskt existensminimum, ju större är kapitalisternas utsikter att genom ökad arbetsintensitet kunna stegra mervärdekvoten. Den överensstämmer med det faktiska förhållandet att tendenserna till ökad arbetsintensitet är särskilt framträdande i de länder, där arbetarnas levnadsstandard är relativt hög. Men för denna väg att öka utsugningen kvarstår ändå i sista hand naturbetingade gränser av i princip samma slag som vid arbetstidens förlängning. Förlängd arbetstid och ökad arbetsintensitet framstår som jämförbara exempel på renodlad rovdrift med arbetskraften.
Vi har sett hur den relativa mervärdeproduktionen delvis är förbunden med en allmän höjning av arbetets produktivkraft och en därmed sammanhängande ständig omvälvning av produktionsbetingelserna. Det kapitalistiska produktionssättets progressiva sida kommer här till uttryck, såtillvida som det tenderar att sänka den för arbetskraftens fysiska reproduktion nödvändiga arbetstiden och därmed vidga det potentiella utrymmet för fri mänsklig aktivitet.
Men detta är för det första aldrig resultatet av medvetna, planmässiga strävanden. Den enskilde kapitalisten vägleds uteslutande av sin strävan att öka mervärdet. Det första införandet av en ny och bättre arbetsmetod förskaffar honom ett extra mervärde helt oberoende av om det han producerar är till någon reell nytta för arbetarna. Spridningen av denna metod berövar honom det extra mervärdet. Minskningen av den för arbetskraftens reproduktion nödvändiga arbetstiden följer indirekt, och oavsiktligt, som ett resultat av konkurrensens blinda krafter.
Vidare: den kapitalistiska omvandlingen av produktionsmetoderna syftar aldrig till att förkorta arbetstiden, att öka det reella utrymmet för de arbetandes fria verksamhet. Dess syfte är att öka merarbetstiden. Om den nödvändiga arbetstiden sjunker från 3 till 2 timmar per dag, så stiger därmed merarbetstiden från 5 till 6 timmar. Förkortningen av den nödvändiga arbetstiden är i sig själv en ökad utsträckning av arbetstiden utöver den nödvändiga: den relativa mervärdeproduktionen slår omedelbart om i produktion av absolut mervärde.
Och inte nog med det. Jakten efter ökad mervärdemängd driver kapitalisterna att just i samband med införandet av "arbetsbesparande" produktionsmetoder och produktionsmedel öka den exploaterade mängden arbete, genom längre arbetstid och mer övertid och/eller ökad arbetsintensitet. Marx noterade att maskineriets första framträdande i industrin åtföljdes av strävandena till en måttlös förlängning av arbetstiden.[53] Idag är det påtagligt hur den s.k. tekniska utvecklingen, d.v.s. den kapitalistiska exploateringen av teknologin, har som genomgående tendens att stegra arbetsintensiteten.
Det händer att fackföreningsrörelsens ledande män deklarerar sin positiva inställning till den kapitalistiska rationaliseringsprocessen - man menar då synbarligen den ökning av arbetets produktivitet som den medför. Vid bedömningen av detta ställningstagande gäller det inte bara att erinra sig att även en "ren" höjning av arbetets produktivkraft i det kapitalistiska produktionssättet syftar till ökad utsugningsgrad. För arbetarna är kanske ett annat och påtagligt faktum av ännu större betydelse: de upplever nästan aldrig någon ren höjning av arbetets produktivitet i den kapitalistiska sinnevärlden. Vad de möter är nya produktionsmetoder, där ökad produktivitet och stegrad intensitet ingått i en oupplöslig förening med varandra, så att det är omöjligt att välja det ena och vraka det andra. Nya maskiner ger större effekt åt varje handgrepp. Samma maskiner avkräver arbetarna en större energiförbrukning per tidsenhet. Den kapitalistiska produktionsutvecklingens inre motsättningar får här sitt konkreta och sammanpressade uttryck.
De naturliga gränser för mervärdekvotens höjning, som framträder vid arbetstidens förlängning och arbetsintensitetens stegring, synes bortfalla när det gäller den för den relativa mervärdeproduktionen karakteristiska omvandlingen av produktionsbetingelserna och höjningen av arbetets produktivkraft. Genom en därvid åstadkommen fortskridande sänkning av den nödvändiga arbetstiden kan mervärdekvoten tänkas stiga mot oändligheten.
Gränser kvarstår emellertid för mervärdemängden. En arbetare kan inte producera mer än 24 timmars mervärde per dag, även om hans nödvändiga arbetstid ginge mot 0. 24 arbetare producerar alltså under alla förhållanden en större mervärdemängd per tidsenhet än 1 arbetare.
Det kan tyckas som om denna gräns för mervärdemängden skulle vara likgiltig, eftersom samma mervärdemängd vid växande arbetsproduktivitet framställer sig i större varumängder. Den har emellertid sin betydelse.
Om vi sätter mervärdet i relation till hela det i produktionen insatta kapitalet, alltså till summan av konstant och variabelt kapital, erhåller vi kapitalets profitkvot m / k+v. För ett kapital av given storlek gäller tydligen att mervärdemängden bestämmer profitkvoten: en sjunkande mervärdemängd ger en lägre profitkvot, även om mervärdekvoten samtidigt skulle stiga. Den gräns för mervärdemängden som vi just berört får alltså betydelse för profitkvoten, om och när ett kapital av given storlek tenderar att sysselsätta färre arbetare.[54]
För den omvandling av produktionsprocessen, som den relativa mervärdeproduktionen fordrar, är just denna tendens karakteristisk. Höjningen av arbetets produktivkraft sker genom införandet av mer produktionsmedel per arbetare och framträder delvis som en ersättning av levande arbete med lagrat arbete. I denna process blir arbetare friställda, d.v.s. utstötta ur produktionen: det produceras inte bara relativt mervärde utan också en relativ överbefolkning. Vi finner alltså att den process, som strävar mot en obegränsad ökning av mervärdekvoten, själv alstrar en motsatt tendens till krympning av mervärdemängden. Denna motsättning är karakteristisk. Kapitalet kräver på en gång mer arbete att utsuga och färre arbetare för att utsuga dem mer.[55]
Som vi påpekat söker bl.a. den kapitalistiska teknologin att tillgodose båda dessa krav efter bästa förmåga.
Vid en mervärdekvot på 2:1 betalas arbetaren med 1/3 av det värde han producerar. Det gäller oberoende av den löneform som tillämpas. Den s.k. timlönen är i själva verket producerad under 20 minuter. Vid stycklön är det s.k. priset för 9 stycken i realiteten värdet av 3.
Exemplet visar vad Marx menade när han kallade arbetslönen "den förvandlade formen av arbetskraftens värde eller pris". Arbetslönen må utgå som tidlön eller stycklön. I båda fallen framträder den som priset för ett visst kvantum arbete, i ena fallet mätt i tid, i andra fallet mätt i producerade enheter. I båda fallen framstår allt arbete som betalt, varje timme och varje stycke. Till denna formförvandling knyter sig föreställningen att det är arbete som köps och säljs, att arbetaren byter sitt arbete mot kapitalistens kapital.
Men arbete kan inte säljas och köpas. Arbetet är en process, som i varuproduktionen har två sidor: det är dels ändamålsenligt, konkret arbete som skapar nyttigheter, dels abstrakt arbete, energiutveckling av genomsnittlig intensitet, som skapar värde. Det är därför produkten av arbete, som har den för varan nödvändiga dubbla egenskapen att vara ändamålsenlig och ha värde. Produkter av arbete kan därför köpas och säljas som varor på marknaden. Men arbete är inte produkt av arbete.
Det vore naturligtvis omöjligt att påstå att arbetarna säljer produkten av sitt arbete till kapitalisterna. Varje arbetare vet att det han producerar tillhör kapitalisten från första stunden av sin existens. I stället framträder bytet mellan kapitalister och arbetare i den förvanskade och absurda formen att arbetaren byter sitt arbete mot lön. Marx framhöll:
"Det är därför av avgörande betydelse att arbetskraftens värde och pris förvandlas till arbetslön, till värde eller pris på arbetet självt. Både arbetarens och kapitalistens rättsföreställningar, hela det kapitalistiska produktionssättets mystik, alla dess frihetsillusioner, alla vulgärekonomernas apologetiska floskler beror på denna yttre form, som visar raka motsatsen till det verkliga förhållandet, som den döljer."[56]
Att kapitalisten gärna föreställer sig att han är "arbetsköpare" - och att den borgerliga nationalekonomin följaktligen gärna framställer honom som sådan - är relativt lätt att förstå. Marx noterade i förbigående att t.o.m. det faktum, att kapitalisten betalar arbetaren i efterskott - att arbetaren alltså förskotterar sin arbetskraft - befäster föreställningen ätt det är prestationen som betalas. Men framför allt underströk han hur här den allmänna varufetischismen gör sig gällande. Kapitalisten tillgodogör sig faktiskt den nytto- eller bruksvärdeskapande effekt, som det konkreta arbetet besitter. Varför skulle han då inte - i en värld där de sociala relationerna mellan människor allmänt draperar sig som materiella nyttigheter - hänge sig åt den behagliga inbillningen att han betalar denna nyttighet?[57]
Men också hos arbetarna befäster den omedelbara erfarenheten illusionerna om arbetslönen som arbetets pris. Arbetsdagen består av säg 8 timmar. Faktiskt måste arbetaren arbeta 8 timmar för att få ut sin lön. Varufetischismen leder honom helt naturligt till den föreställningen, att han betalar sin lön och sin försörjning med dessa 8 timmars konkreta arbete, med det obehag, den trötthet och plåga som han konkret upplever under dem. Och lönens växlingar, nominella och reella, framstår för honom som växlingar i priset på detta arbete.
Än mer förstärks detta intryck, när arbetslönen varierar med arbetsdagens längd eller arbetets intensitet. Arbetaren får högre lön genom att arbeta antingen längre tid eller mer intensivt: han tycks alltså kunna köpa sig högre lön med merarbete. Det framträder löneskillnader mellan arbetare med samma jobb: några arbetar mer än genomsnittet och får mer betalt, andra tvärtom. Marx erinrade om att också slavägaren tar högre betalt för en starkare slav; skillnaden är den att arbetaren själv äger och säljer sin arbetskraft och därför kan tillgodogöra sig resp. drabbas av att hans varas individuella pris avviker från genomsnittspriset.[58]
Den skillnaden får arbetaren betala med illusioner om sin ställning, illusioner som i sin tur med jämna mellanrum drabbar honom själv. Stycklönen är den löneform, som i särskilt hög grad är ägnad att befästa uppfattningen om lönen som priset för ett visst arbete - förhandlingarnas resultat framträder ju här som "prislistor", där olika stycken prissätts. Samtidigt inviterar den arbetarna att öka arbetstempot, att köpa sig högre lön med mer arbete. Men vid en stegring av arbetsintensiteten växer kapitalistens utbud av färdiga produkter. Om detta tvingar honom att sänka priset på sina varor, så kommer han också att vända sig till arbetarna och kräva ett lägre "styckpris" för att upprätthålla sin mervärdekvot. Med vulgärekonomins benägna hjälp finner han också det rätta argumentet: arbetarna har ju självmant ökat utbudet av arbete! Men när den växande arbetsintensiteten sprids till allt flera företag kommer också de färdiga produkternas värde att sjunka. Och nu måste styckpriset sänkas för att hindra en minskning av både mervärdekvot och mervärdemängd. Dessa orsakssammanhang reglerar vad arbetarna möter som "fördärvade ackord", alltså den ständigt återkommande erfarenheten att högre timförtjänster på ett ackord leder till nya tidsstudier och lägre ackordspriser - varpå arbetarna finner att de nu måste köpa samma lön för mer arbete. Själva uttryckssättet "fördärvade ackord" antyder att sammanhanget ibland feltolkas. Arbetarna kan ha den uppfattningen att det bara är särskilt "bra" ackord som kan fördärvas. Den uppfattningen har naturligtvis sin sakliga grund i att ackordssättningen ofta är godtycklig och att ackorden därför kan vara bättre och sämre. Men fördärvandet av ackorden är en lagbunden följd av ökad arbetsintensitet, även om ackorden är aldrig så dåliga. Ackorden fördärvas inte därför att de är bra utan därför att de alltid är för dåliga, därför att kapitalisten utsuger arbetaren och ständigt vill upprätthålla och förstärka utsugningen.
Lönarbetet påtvingar arbetarna illusionen att deras arbete betalas. Deras individuella strävanden att höja sin lön kan befästa och förstärka denna illusion. Endast konflikten med kapitalisterna, striden om produktionsresultatets fördelning, bidrar till att blotta de verkliga förhållandena. Här visar det sig att lönen alltid kan höjas på profitens bekostnad, och att profiten alltid kan höjas på lönens bekostnad. I dessa konfliktsituationer talar det kapitalistiska produktionssättet alltså bredvid mun om existensen av obetalt arbete.
Att inga mystiska naturlagar bestämmer något "arbetets pris", att arbetslönens höjd är en stridsfråga som avgörs när kapitalet och den organiserade arbetarklassen mäter sina krafter, det är de grundläggande erfarenheter som den fackligt organiserade lönekampen ger arbetarna. Lönekampens erfarenheter skapar av sig själva visserligen inte någon teori om det kapitalistiska produktionssättet och är heller inte något surrogat för en sådan teori. Men de bereder marken för realistiska föreställningar om den kapitalistiska utsugningen och är en avgörande förutsättning för att teorin ska komma till praktisk användning.
Detta gäller arbetarnas egna erfarenheter av egen kamp. Enbart den formella existensen av en facklig organisation har inte samma betydelse. Den fackliga organisationen kan upphöra att mobilisera arbetarna till strid, binda sina händer vid ett organiserat klassamarbete med kapitalet och rida spärr mot varje yttring av egen aktivitet från arbetarnas sida. Den kommer då också att framställa sig själv för arbetarna som något annat än ett stridsorgan, exempelvis som ett serviceorgan på vilket arbetarna tryggt kan delegera uppgiften att köpslå med kapitalisterna. Den tvingas vidare att inför arbetarna motivera denna sin påstådda roll, att fabricera ett ideologiskt stöd för maskeraden. Härvid inställer sig - i en eller annan form - föreställningarna om bytet mellan kapitalister och arbetare som ett byte mellan jämställda parter, präglat av ett ömsesidigt givande och tagande, där den skicklige förhandlaren förmår att i ostörd köpslagan slutligen träffa "det rätta priset". Så här introduceras arbetsmarknadens mysterier i en nutida facklig studiekurs:
"Arbetsmarknaden består också av utbud och efterfrågan. Det är arbetskraften och arbetstillfällena. På arbetarsidan vill vi nog se arbetskraften som ett utbud, något som arbetsgivaren efterfrågar. Men det är kanske ofta så att arbetsgivaren ser på frågan tvärtom: han betraktar arbetstillfällena som utbud, något som arbetarna efterfrågar. Värderingarna har också lite med konjunkturerna att göra. Är det gott om arbete, ser vi nog gärna arbetstillfällena som ett utbud. Men om det är lågkonjunktur, är det lätt att betrakta arbetskraften som ett utbud och arbetstillfällena som en efterfrågan."[59]
Författaren tycks starta med en eftergift - som kanske har lite med konjunkturerna att göra - åt den marxistiska uppfattningen att arbetarna bjuder ut och säljer sin arbetskraft. Men bara för att i nästa andetag försäkra oss att allt beror på hur man ser det, på värderingar. Så följer en förstucken vädjan till arbetarna att - åtminstone under högkonjunktur - se saken lite grann från kapitalistens synpunkt och medge att också denne har något att ge. Vad kapitalisterna ger (och alltså på något outgrundligt sätt tycks ha producerat) är arbetstillfällen. Och plötsligt finner vi att arbetarna säljer sin arbetskraft inte mot lön utan mot tillfällen att få lov att arbeta. Vad de ska göra med dessa tillfällen är lätt att gissa. På en liten omväg har vi kommit fram till arbetslönen som arbetets pris.
Men i verkligheten byts arbetskraften direkt mot kapital, d.v.s. mot det i arbetslöner utlagda variabla kapitalet. Kapitalet bjuder ut sig mot arbetskraft inte för att ge arbetarna tillfälle att få arbeta utan för att förmera sig självt, för att suga till sig obetald arbetstid.
Lönarbetets karakteristika framträder klarast vid en jämförelse med andra utsugningsformer, med slaveri och med feodal dagsverksutsugning.
Ett är gemensamt för dessa olika former: de utsugna producenterna måste dels reproducera sin arbetskapacitet, dels producera en merprodukt till utsugarna. Deras arbetstid fördelar sig alltså under alla omständigheter på nödvändig arbetstid och merarbetstid.
I de feodala storgodsens klassiska "rena arbetsränta" framträder denna tudelning klar och obeslöjad. Den dagsverksskyldige bonden fördelar sitt arbete mellan å ena sidan den jord, av vars avkastning han och hans familj lever, och å andra sidan herremannens jord. De dagsverken han presterar åt sin herre är ren och oförtäckt merarbetstid, även när de juridiskt framställs som ersättning för rätten att till egen försörjning få bruka bondejorden.
Men slaveriet och lönarbetet tenderar båda - fast på motsatt sätt - att sudda ut denna gränsdragning. Den för slaveriet karakteristiska vanföreställningen är att slaven - när han väl förvärvats - arbetar gratis åt sin ägare: den nödvändiga arbetstiden tycks försvinna. T.o.m. Columella - en av den romerska kejsartidens klyftigare jordbruksekonomiska författare - tappar bort slavens underhållskostnader, när han försöker visa, att vinodling lönar sig bättre än penningutlåning.[60] Man kan föreställa sig det materiella underlaget för denna illusion.
Vid lönarbetet framstår tvärtom allt arbete som betalt: merarbetet försvinner. Också den föreställningen har sitt materiella underlag, som vi förut delvis berört och nu återvänder till.[61]
På grundval av lönarbetet når varuproduktion och varucirkulation sin fulla utveckling. Den sociala relation, som på ytan av det varuproducerande samhället - i cirkulationssfären - framstår som dominerande är det ömsesidiga bytet av ekvivalenter. Varuägarna träder i förbindelse med varandra genom slutande av kontrakt enligt den redan i den romerska rätten formulerade grundprincipen: det är tillåtet för kontrahenterna att efter bästa förmåga försöka preja varandra. Ett samhälle som endast tycks hållas samman av denna fria köpslagan, måste det inte - som Marx spefullt anmärkte - framstå som
"... ett sannskyldigt Eden för de nedärvda mänskliga rättigheterna. Det som här endast och allenast härskar är frihet, jämlikhet, egendom och Bentham. Frihet! ty köpare och säljare av en vara, t.ex. arbetskraft, handlar endast i enlighet med sin egen fria vilja. De ingår avtal såsom fria, juridiskt jämbördiga personer. Kontraktet är det slutresultat, vari deras viljor får ett gemensamt rättsuttryck. Jämlikhet! ty de träda i relation till varandra endast som varuägare och byter lika värden. Egendom! ty var och en bestämmer bara över sitt. Bentham! ty var och en av dem bägge har endast att ta vara på sig själv. Den enda makt, som sammanför de två parterna och ställer dem i relation till varandra, är deras egennytta, deras särskilda fördel, deras privatintresse. Och just emedan var och en bara tänker på sig själv och ingen på den andre, fullbordar de till följd av en tingens förutbestämda harmoni eller under en alltigenom slipad försyns beskärm endast ett verk till ömsesidig fördel, ett verk av samhällsnytta och samhällsintresse."[62]
I dessa varuägarnas allmänna rättigheter framstår arbetaren som alltigenom delaktig. Han äger sin arbetskraft och säljer den fritt till vem han vill. Inga slavuppsyningsmäns eller fogdars piskor driver honom till anställningskontor och fabriksportar.
Men "vad skammen inte förmår, förmår hungern". Frånvaron av utomekonomiskt tvång, som så frappant skiljer lönarbetet från äldre utsugningsformer, är bara det naturliga komplementet till det ekonomiska tvång, som driver de egendomslösa att sälja sin arbetskraft till produktionsmedlens ägare.
I arbetskraftens värde urskiljde Marx två element. Det ena kallade han fysiskt: en viss mängd existensmedel är oumbärlig för att bevara och fortplanta arbetarnas fysiska existens. Värdet av detta fysiska existensminimum betecknade han som den nedersta gränsen för arbetskraftens värde, det minimum till vilket arbetskraftens värde kunde pressas ner. Inte ens denna nedre gräns är vid i övrigt givna varuvärden en oföränderlig värdestorhet: bortsett från en viss biologiskt betingad tänjbarhet påverkas den uppenbarligen av arbetskraftens utbildningskostnader och av den förslitning, som arbetstidens längd och arbetets intensitet medför. Det andra elementet betecknade han som historiskt eller samhälleligt: den traditionella levnadsstandarden i varje land vid varje given tidpunkt inrymmer "tillfredsställandet av vissa behov som uppkommer ur de samhälleliga betingelser, under vilka människorna lever och uppfostras". Han betonade att detta samhälleliga element är föränderligt: det "kan ökas eller minskas eller helt utplånas, så att ingenting annat än den fysiska gränsen återstår". I sina exemplifieringar angav Marx bl.a. följande faktorer som verksamma vid formandet av det samhälleliga elementet: en historisk tradition, framträdande exempelvis i löneskillnader mellan olika områden med annars likartade betingelser; den styrka som kapital resp. arbete varaktigt kunde mobilisera i kampen om produktionsresultatet; de särskilda betingelser som i vissa länder under vissa perioder kunde särskilt gynna endera parten i denna kamp - exempelvis tillgången på fri jord i Förenta Staterna. Från dessa utgångspunkter tog han så upp frågan om fördelningen mellan kapital och arbete och avvisade i följande formuleringar varje tänkbar variant av "järnhård lönelag":
"Vad profiten angår, så finns det ingen lag, som bestämmer dess minimum. Vi kan inte säga hur långt det är till dess nedersta gräns. Och varför kan vi inte fastställa denna gräns? Emedan vi väl är i stånd att fastställa minimilönerna men inte maximilönerna. /.../ Bestämmandet av dess [d.v.s. profitens] faktiska storlek avgörs blott av den oavbrutna kampen mellan kapital och arbete. Kapitalisten försöker ständigt att pressa ner arbetslönen till dess fysiska minimimått och utsträcka arbetsdagen till dess fysiska maximimått, under det att arbetaren ständigt utövar ett tryck i motsatt riktning.
Det hela utmynnar i frågan om kraftförhållandet mellan de kämpande."[63]
Detta hindrar naturligtvis inte våra akademiska sakkunniga från att regelbundet tillskriva Marx (a) en "existensminimumteori" för arbetslönen, (b) en "järnhård lönelag", som gör det omöjligt för arbetarna att genom facklig kamp höja sina löner. P.A. Samuelson offrar i sin bekanta handbok t.o.m. ett diagram på att visa att "Karl Marx överdrev" och att lönen inte måste pressas ner till existensminimum.[64] Och Jörgen Westerståhl finner det intressant
"att både Lassalle och Marx, i likhet med de äldre liberala ekonomerna och i själva verket i närmaste anslutning till dessa ekonomer, hävdade att fackföreningarna saknade möjligheter att varaktigt förbättra arbetarnas läge. Särskilt anmärkningsvärt förefaller det, att Marx som levde ända till 1883 aldrig ansåg sig behöva revidera sin uppfattning om fackföreningsrörelsen ..."[65]
Sant i dessa satser är att Marx dog 1883. Men för den uppgiften behöver man inte, som Westerståhl gör, referera till Marx' föredrag om "Lön, pris och profit" - från vilket man däremot kan inhämta den ovan refererade teorin om arbetslönens storlek, och som i sin helhet är en mot den liberala ekonomin riktad plädering för möjligheten och nödvändigheten av att genom ekonomisk och facklig kamp försvara och höja arbetslönen.
Från dem som å andra sidan bemödat sig om att läsa rätt innantill har den invändningen rests, att Marx' argumentering på denna punkt är självmotsägande. Å ena sidan hävdar han, att arbetslönen bestäms av arbetskraftens värde. Å andra sidan medger han möjligheten av att arbetarna kan tillkämpa sig en högre levnadsstandard och därmed höja värdet av sin arbetskraft varvid det alltså tycks som om det tvärtom vore lönen som bestämde arbetskraftens värde.[66]
Den invändningen berör samhällsvetenskapens principfrågor. All mänsklig samhällsaktivitet, som nödvändigtvis har subjektiva element såsom vilja, styrka och uthållighet, vilar på en objektiv grundval, startar från givna betingelser som bestämmer både den mänskliga aktivitetens inriktning och resultat. Å andra sidan förändras dessa objektiva betingelser just genom människornas handlande. Om vi - exempelvis i den fria viljans heliga namn - skulle med hänvisning till denna växelverkan bestrida all lagbundenhet i samhällsutvecklingen, så vore det liktydigt med att förneka existensen av objektiva betingelser och därmed meningen med all samhällsvetenskap, och vi skulle just genom att ignorera det mänskliga handlandets objektiva villkor begränsa det element av frihet som detta handlande har. Marx' teori om arbetslönens storlek är ingen logisk motsägelse utan ett realistiskt erkännande av en dialektisk växelverkan mellan objektiva och subjektiva moment i utvecklingen. Kampen mellan kapital och arbete har vid varje tidpunkt sina givna betingelser: varken kapitalisterna eller arbetarna kan uppnå vad de vill, och arbetskraftens värde verkar som en magnet för att dra till sig arbetslönen och fixera den vid en viss storlek. Men kapitalet kan genom ett varaktigt övertag tvinga arbetarna att ge upp delar av sin tidigare levnadsstandard, pressa ner arbetskraftens värde och därmed uppnå ett nytt och ur kapitalets synpunkt bättre utgångsläge för ytterligare sänkningar av arbetslönen. Omvänt kan arbetarna genom en varaktig förstärkning av sin fackligt organiserade kamp erövra en högre levnadsnivå, som i sin tur bildar en ny utgångspunkt för ytterligare lönekrav.[67] Den marxistiska teorin ger här realistiska redskap för förståelsen av löneutvecklingen - långt mer realistiska än den gängse ekonomiska jämviktsteorin med dess statiska utbuds- och efterfrågefunktioner.
En annan sak är att Marx utöver denna allmänna teori om arbetslönens storlek också analyserade de i det kapitalistiska produktionssättet inneboende utvecklingstendenser, som i sin tur kunde antas påverka kraftförhållandena mellan kapital och arbete och lönekampens möjligheter. Det gäller här framför allt "den kapitalistiska ackumulationens allmänna tendens". Den ska vi ta upp i sitt sammanhang.[68] Här ska endast framhållas, att den på intet sätt upphäver den allmänna teorin om arbetslönens storlek, och att den för ingen del ledde Marx till slutsatsen att den fackliga kampen vore verkningslös.
När borgerliga professorer framhärdar i att pådyvla marxismen den ena eller andra formen av "järnhård lönelag", så har det emellertid sina randiga skäl. Stenkastarna sitter själva i ett glashus, och de överför beständigt på sina motståndare sina egna liberala fördomar. Några glimtar från glasbarackens insida kan belysa förhållandet.
Den borgerliga nationalekonomin diskuterar arbetslönens storlek i termer av utbud och efterfrågan på arbete.[69] Den klassiska versionen var den s.k. lönefondsteorin. Lönefonden var den del av kapitalet som gavs ut i form av arbetslöner och efterfrågade arbete; den uppfattades i regel som en given kvotdel av kapitalisternas sparande. Utbudet var den arbetande befolkningen. Malthus' påstående att befolkningen alltid stångades mot näringsutrymmet ledde direkt till slutsatsen att arbetslönen på längre sikt var fastkedjad vid ett fysiskt existensminimum, en ståndpunkt som också Ricardo i det stora hela företrädde. Om å andra sidan befolkningen betraktades som given - såsom var rimligt vid en analys på kortare sikt - var arbetslönen helt beroende av lönefonden, d.v.s. av kapitalisternas sparande, och kunde bara stiga eller falla med den. "Lönekakan" är alltså klassisk. Så också alla dess implikationer: att det aldrig finns utrymme för högre löner än den kapitalisterna självmant betalar, att en arbetargrupp kan slå sig till högre lön bara på andra arbetargruppers bekostnad, att ojämn inkomstfördelning, lindrig beskattning av kapitalisterna och en därav resulterande hög sparkvot är det enda som kan öka arbetarnas löner och sysselsättning.
Den s.k. marginalistiska revolutionen inom nationalekonomin medförde trots en uppblåst teknisk apparatur mycket små sakliga förändringar i detta betraktelsesätt. Man kan kanske uttrycka det så att kurvorna vreds en smula. Utbudet av arbete befanns vara inte en på kort sikt given kvantitet utan en med lönen stigande utbudsfunktion, eftersom högre löner kunde tänkas locka fram större arbetsinsatser från arbetarna. Efterfrågan på arbete visade sig egentligen vara "inte en fond utan ett flöde" (Marshall) som kunde krympa och svälla. Skärningspunkten mellan utbud och efterfrågan bestämde arbetslön och sysselsättning. Genom en alltigenom tautologisk anpassning av gränsnyttekalkylens begreppsapparat till produktionssidan proklamerades nu denna jämviktslön som "arbetets marginalprodukt", således den adekvata ersättningen för Arbetets insats i produktionen, medan å andra sidan profit, jordränta m.m. utgjorde den lika adekvata ersättningen för Kapitalets, Jordens och ev. andra potentaters insatser.
En känslig fråga i denna typ av jämviktsanalys är alltid, om inte det som framstår som härlett i analysen - i detta fall arbetslönens höjd - möjligen kan tänkas återverka på och förskjuta förutsättningarna, d.v.s. utbuds- och efterfrågefunktionerna. Skulle exempelvis inte en högre lön kunna tänkas inverka på arbetarnas värdering av inkomst visavis arbete och via en sänkning av inkomstens marginalnytta medföra en förskjutning av utbudsfunktionen åt vänster? Det skulle i så fall kunna tolkas därhän att arbetarna genom organiserad kamp kunde höja sin lön. Nationalekonomerna värjde sig mot dessa oförskämda propåer med en hänvisning till efterfrågekurvans elasticitet. Om arbetarna prövade sådana tricks skulle deras lön per enhet arbete visserligen kunna klättra uppför kapitalisternas efterfrågekurva. Men underlaget skulle svikta: elasticiteten skulle medföra att efterfrågad kvantitet och sysselsättning sjönk därhän att den samlade lönesumman blev mindre. Därmed hade den bedagade lönefonden gjort en nödtorftig uppsminkad rentré. Allt var nu frid och fröjd, summan av allt elände var konstant och all arbetslöshet var befunnen frivillig. T.o.m. en så pass hederlig man som Knut Wicksell bevisade med uppbådande av all vederbörlig marginalistisk apparatur att arbetarnas försök att begränsa arbetsdagens längd måste vara helt futila - många andra tokigheter att förglömma.[70]
Var då denna efterfrågans elasticitet helt orubblig? Maurice Dobb ställde år 1928 frågan om den inte möjligen hade något med kapitalisternas anspråk att göra, och om man inte åtminstone i teorin kunde tänka sig ett framtvingande av lägre anspråk från deras sida.[71] Men denna hädelse passerade i stort sett obemärkt.
Man skulle kunna föreställa sig, att 30-talet och den keynesianska sysselsättningsteorin slutgiltigt skulle ha dräpt möjligheterna att argumentera efter dessa linjer. Men så är inte fallet. Alltjämt svävar över varje avtalsrörelse den borgerliga nationalekonomins järnhårda lönelag. Alltjämt plockas i rättan tid den gamla lönefonden fram ur garderoben, dammas av, putsas upp och döps om till "löneutrymme". Alltjämt påstås att lönerna inte kan stiga snabbare än arbetsproduktiviteten - varmed man i själva verket påstår att den existerande fördelningen mellan kapital och arbete inte kan rubbas till arbetarnas förmån.
Ändå är sammanhangen ganska enkla att genomskåda. Låt oss anta att vi har ett socialistiskt samhälle, där folket äger produktionsmedlen och gemensamt bestämmer över deras användning! "Lönerna", d.v.s. delägarnas uttag för privat konsumtion, skulle här ha sina givna, lätt definierade gränser. De skulle uppgå till hela den producerade nationalinkomsten med avdrag för (a) gemensamt beslutade investeringar, (b) vad som behövdes för gemensam, kollektiv förbrukning. Om det i det nuvarande samhället existerar andra gränser för löneutrymmet, så är dessa gränser inte betingade av några eviga lagar för produktionen eller samhället. De betingas helt enkelt av kapitalets krav på obetald arbetstid. Det är detta krav som den borgerliga ideologin maskerar med den ena eller andra varianten av järnhård lönelag.
Kapital är värde, som ynglar av sig mervärde. Frågan om hur detta mervärde uppkommer är alltså avgörande för förståelsen av det kapitalistiska produktionssättet. I Kapitalets första band undersökte Marx produktionen av mervärde i dess rena form, d.v.s. med bortseende från alla andra för denna fråga ovidkommande, därmed mindre väsentliga sidor av den kapitalistiska verkligheten. Det är denna undersökning vi hittills i huvudsak följt. Dess resultat är framför allt blottläggandet av kapitalet som en historiskt uppkommen social relation, ett utsugningsförhållande mellan kapitalist och arbetare.
Den analysen är inte och avsåg heller aldrig att vara uttömmande. I enlighet med den ursprungliga planen för Kapitalets uppbyggnad för Marx i andra och tredje banden ner framställningen från en högre abstraktionsnivå till en successivt lägre och undersöker, i vad mån och på vilket sätt de konkreta omständigheterna kring den kapitalistiska utsugningen specificerar eller modifierar de allmänna lagar, som kunde härledas ur det första bandets mer abstrakta analys.
I detta kapitel ska vi ta upp några moment i dessa undersökningar. De omständigheter, som härvid förs in i bilden, är huvudsakligen två.
För det första: kapitalet kan inte bara producera, d.v.s. konsumera arbetskraft, det måste också cirkulera. När varan producerats måste den säljas, och pengarna måste på nytt omvandlas i produktionsmedel och arbetskraft. Först därmed har kapitalet reproducerats. Kapitalets reproduktion omfattar alltså mer än produktion: den är en kretsloppsprocess i vilken produktionen endast utgör en fas. Med studiet av denna kretsloppsprocess följer nya aspekter på kapitalet, bl.a. uppdelningen i fast och flytande kapital.
För det andra: utöver den dominerande relationen kapital-arbete framträder i den kapitalistiska verkligheten också andra relationer av ekonomisk betydelse, särskilt då relationer som bestämmer fördelningen av det producerade mervärdet. Av dem kommer vi här att bortse från å ena sidan förhållandet mellan kapital och jordegendom, å andra sidan det industriella kapitalets förhållande till kapital med speciella funktioner som exempelvis det räntebärande kapitalet. Däremot tar vi upp de principiella konsekvenserna av att det industriella totalkapitalet är uppdelat på individuella kapital med varierande sammansättning och kretsloppsbetingelser, mellan vilka mervärdet fördelas. Konkurrensen mellan dessa individuella kapital utvecklar en genomsnittlig profitkvot, som i sin tur återverkar på prisbildningen. Dessa förhållanden ger oss anledning att åter ta upp en kort diskussion om värdebegreppet.
Den tid under vilken nytt värde produceras är endast en fas i det kretslopp, som varje kapital måste genomgå för att reproduceras. Detta kretslopp sönderfaller i två huvuddelar. Vi har å ena sidan produktionstiden, den tid under vilken kapitalet befinner sig i form av produktivt kapital - produktionsmedel och arbete. Den sträcker sig fram till den tidpunkt, då varan är färdigproducerad och transporterad till marknaden. Inte ens hela produktionstiden är emellertid arbetstid. Den inrymmer därutöver mer eller mindre naturbetingade, nödvändiga avbrott: arbetarna måste vila, säd måste gro, spira och mogna, skog måste växa etc. Efter produktionstidens slut befinner sig kapitalet i tur och ordning i två olika former av cirkulationskapital: varukapital och penningkapital. Den tid under vilken kapitalet är cirkulationskapital är dess omloppstid. Produktions- resp. omloppstiden för alltså kapitalet genom produktions- och cirkulationssfärerna och fullbordar därmed dess kretslopp. Betraktar vi kretsloppet som en process som ständigt upprepas, så bildar summan av produktions- och omloppstid den tid under vilken kapitalet slår om, d.v.s. dess omslagstid.
Skillnaderna i omslagshastighet - mätt i omslagstid eller i omslag per tidsenhet - har både kvantitativ och kvalitativ betydelse. Den kvantitativa betydelsen är denna: om ett kapitals storlek, sammansättning av konstant och variabelt kapital, samt mervärdekvot är givna, så beror den per tidsenhet producerade mervärdemängden av omslagshastigheten, antalet omslag per tidsenhet.
Den kvalitativa betydelsen är följande. I den kretsloppsprocess, som bildar kapitalets reproduktion, är alla faser - såväl produktions- som cirkulationsfasen - nödvändiga. Kapitalet reproduceras endast genom att genomgå denna process, genomlöpa alla dess faser. Sett ur denna synpunkt framstår kapitalets nödvändiga kvardröjande i envar av dessa faser, likgiltigt vilken, som ett likvärdigt hinder på vägen mot dess fullständiga reproduktion. Kapitalet framstår som "bundet", och dess bundenhet i endera formen - som produktivt kapital eller cirkulationskapital - framstår som likvärdig. Kretsloppsprocessen tenderar därför att sudda ut skillnaden mellan produktions- och cirkulationssfären, mellan produktivt kapital och cirkulationskapital, mellan den tid då kapitalet verkligen producerar mervärde och "flyger som en fjäril" och den tid då det ligger i träda, i "förpuppat tillstånd".[72] Kretsloppsprocessens ytfenomen alstrar därmed vissa välbekanta ekonomiska föreställningar: dels föreställningen om tidsfaktorns utslagsgivande betydelse för själva kapitalbegreppet, dels föreställningen om cirkulationsfasens produktivitet. Å ena sidan härleds själva begreppet kapital ur det faktum att "produktionen" tar tid, å andra sidan utsträcks begreppet produktion till cirkulationsfasen, till vad som enbart är kapitalets formförvandlingar från vara till pengar och från pengar till produktivt kapital.
Dessa föreställningar till trots är omloppstiden helt improduktiv och tillfogar inget värde. Att den skenbart gör det har huvudsakligen två olika orsaker. För det första bildar omloppstiden ett avdrag från den potentiella värdeförmeringstiden, och strävandena att minska detta avdrag får så ett sken av produktivitet. För det andra: den omfördelning av mervärdet, som sker via genomsnittsprofitkvoten - och som vi i ett senare avsnitt ska diskutera - medför faktiskt att enskilda kapitalister kan ta betalt för sina varors längre kvardröjande i cirkulationssfären på andra kapitalisters bekostnad. Härtill fogade Marx denna anmärkning:
"Kapitalets omloppstid inskränker alltså överhuvud dess produktionstid och därmed dess värdeförmeringsprocess. Och den inskränker denna också i proportion till sin varaktighet. Denna kan emellertid till- eller avtaga i mycket olika mån och därför i mycket olika grad begränsa kapitalets produktionstid. Men vad den politiska ekonomin ser är det som syns, nämligen omloppstidens verkan på kapitalets värdeförmeringsprocess överhuvud. Den uppfattar denna negativa verkan som positiv, emedan dess följder är positiva. Den håller så mycket mer fast vid detta sken, som det tycks lämna beviset för att kapitalet äger en av dess produktionstid och därmed av arbetets exploatering oavhängig mystisk källa till självförmering som rinner upp ur cirkulationssfären"[73]
Motsvarande gäller om de rena cirkulationskostnaderna, d.v.s. om de kostnader som enbart hänför sig till kapitalets formförvandlingar ur vara i pengar och ur pengar i produktivt kapital. De funktioner som utövas inom cirkulationssfären och de kostnader som är förbundna därmed må vara nödvändiga i samma mening som omloppstiden är ett nödvändigt element i kapitalets reproduktion. Likafullt tillhör de den kapitalistiska produktionsprocessens rena omkostnader, som varken skapar värde eller mervärde. I sin helhet måste de betalas ur produktionen och ur det producerade mervärdet. Att dessa funktioner kan utövas av särskilda kapitalister, som gör anspråk på en genomsnittsprofit på sitt i cirkulationssfären instuckna kapital ändrar ingenting i saken.
Cirkulationsfunktionernas improduktivitet har ingenting att göra med deras "immateriella" karaktär, deras karaktär av "tjänster". När Marx i annat sammanhang skiljer mellan produktivt och improduktivt arbete, så är hans kriterium frågan huruvida arbetet byts mot kapital eller mot reveny (mot arbetslöner och icke-ackumulerade mervärdesinkomster). Produktivt ur kapitalistisk synpunkt är endast det arbete som byts mot kapital och producerar mervärde.[74] Från denna synpunkt är kapitalistisk produktion av "immateriella" tjänster inte bara fullt möjlig utan också en med kapitalismens utveckling växande realitet. Cirkulationsfunktionernas improduktivitet innebär alltså endast att ett producerat varukapital inte kan öka i värde genom att enbart byta ägare, hur lång tid och med vilka kostnader det än dröjer sig kvar i cirkulationssfären. (Däremot kan det förlora värde genom att t.ex. ruttna eller på annat sätt förlora sitt bruksvärde i cirkulationssfären.)
Skillnaden mellan konstant och variabelt kapital - den kapitaldel som köper produktionsmedel respektive den som köper arbetskraft - har behandlats i kap. 3. Värdet av det konstanta kapitalet blir - som vi där såg - inte föremål för reproduktion i produktionsprocessen, det endast konserveras. Värdet av de i produktionsprocessen ändamålsenligt förbrukade produktionsmedlen överförs successivt på den nya varan i samma takt som produktionsmedlen förlorar sitt bruksvärde.[75]
För olika produktionsmedel - och alltså för olika delar av det konstanta kapitalet - sker denna värdeöverföring på två principiellt olika sätt. Under en viss varas produktionsperiod har en del produktionsmedel förbrukats fullständigt och överfört hela sitt värde på den nya varan. Det gäller i allmänhet om de produktionsmedel, som Marx betecknar som arbetsföremål: råvaror och halvfabrikat, bränsle och andra hjälpmedel som gått åt i produktionen. Det gäller inom jordbruksproduktionen exempelvis också utsädet, som vid produktionsperiodens slut (skörden) uttömt sin produktiva funktion. Om andra produktionsmedel gäller däremot att de under varans framställning visserligen genomgår en förslitning men likafullt har sin användbarhet i behåll och kan utnyttjas för en eller flera nya produktionsperioder. Det ursprungliga värdet av dessa produktionsmedel återfinns vid produktionsperiodens slut på två ställen. En del finns kvar i produktionssfären, den minskar successivt under följande produktionsperioder med produktionsmedlens fortskridande förslitning men försvinner helt först då de är helt förbrukade. En annan del lämnar produktionssfären tillsammans med den producerande varan och som en del av dess värde. Den realiseras då varan säljs och droppar sedan enligt normal bokföringssed ner i någon av det kapitalistiska företagets värdeminskningsreserver.[76] De produktionsmedel det här rör sig om är framför allt arbetsmedlen - byggnader, anläggningar, maskiner, verktyg - som tack vare sitt bruksvärdes varaktighet kan bli kvar i produktionssfären under längre tid och där fungera under flera produktionsperioder. Inom jordbruksproduktionen kan de exemplifieras av sådana jordförbättringar, vars verkningar sträcker sig över flera perioder av sådd och skörd.
På grund av sitt särskilda sätt att cirkulera - den under flera produktionsperioder successiva avsöndringen av värde på de nyproducerade varorna - framträder det i arbetsmedel insatta kapitalet som fast kapital, kapital som i särskild mening fixerats eller fastnat i produktionssfären. Därigenom skiljer det sig inte bara från det i arbetsföremål insatta konstanta kapitalet utan också från det variabla kapitalet, eftersom dessa båda vid produktionsperiodens slut i sin helhet lämnar produktionssfären som delar av den producerade varans värde. Summan av dem - av det konstanta kapital som inte är fast och det variabla kapitalet - framstår alltså i motsättning till det fasta kapitalet som flytande kapital.[77]
Först och främst måste nu skillnaden mellan fast och flytande kapital noga hållas isär från gränsdragningen mellan konstant och variabelt. Den sistnämnda skiljer lagrat från levande arbete och är grundläggande för analysen av mervärdeproduktionen. Fast respektive flytande kapital framträder däremot som skilda former av kapital först vid studiet av kapitalvärdets kretslopp.
Därtill måste det fasta kapitalets särskilda karaktär härledas. Marx gjorde det på följande sätt:
"Vad som bestämmer, att en del av det i produktionsmedlen utlagda kapitalvärdet får karaktären av fast kapital, är uteslutande det egendomliga sätt varpå detta värde cirkulerar. Detta säregna cirkulationssätt härrör ur det säregna sätt varpå arbetsmedlet avger sitt värde till produkten, d.v.s. förhåller sig som värdebildare under produktionsprocessen. Och detta säregna sätt härrör i sin tur ur arbetsmedlets särskilda sätt att fungera i arbetsprocessen."[78]
Det fasta kapitalet är en del av det totala kapitalet. Det befinner sig alltså i rörelse, i cirkulation, likaväl som varje annan del: det måste i sin reproduktion genomlöpa både produktions- och cirkulationssfären. Å andra sidan är det flytande kapitalet under en del av sin reproduktionsprocess oundvikligen bundet, fixerat i produktionssfären. Det gäller överhuvud om kapitalets kretsloppsprocess att den är en motsägelsefull enhet av ämnesomsättning och förstoppning: processen måste löpa, men kapitalet är ständigt bundet i den ena eller andra formen av produktivt kapital eller cirkulationskapital. När nu det fasta kapitalet cirkulerar och det flytande fastnar, så uppstår därav lätt den uppfattningen, att skillnaden dem emellan uteslutande beror på den aspekt man anlägger - "stock"- eller flödeaspekten - och att det endast handlar om skillnader i tid, d.v.s. grader av "fördjupning" hos kapitalet. Med Marx' gränsdragning är det emellertid för det första inte i och för sig en fråga om tid: om produktionsperioden är lång (som vid produktion av skog) kan det flytande kapitalet (exempelvis skogsplantornas värde) vara bundet i produktionssfären mycket länge (många årtionden) utan att fördenskull bli fast kapital. För det andra framträder det - inte vid det ömsevisa anläggandet av stock- och flödeaspekterna men vid iakttagandet av kapitalets reproduktionsprocess som helhet - en reell skillnad i sättet att cirkulera hos olika delar av det produktiva kapitalet, och det är denna skillnad som konstituerar dess uppdelning i fast och flytande kapital. Som vi sett härleder Marx denna skillnad ur arbetsmedlens speciella funktion i arbetsprocessen. Det är med andra ord allmänna, av kapitalismen oberoende egenskaper i själva arbetsprocessen, som under kapitalistiska förhållanden kommer till uttryck som skillnaden mellan fast och flytande kapital.
I föregående kapitel har vi sett hur mervärdekvoten växer genom en allmän stegring av arbetets produktivkraft, en stegring som i allmänhet förutsätter en samtidig omvandling av produktionsbetingelserna. Denna omvandling innebär bl.a. en kvantitativ och kvalitativ utveckling av arbetsmedlen. Arbetsmedlen växer inte bara i omfattning och varaktighet. De förvandlas också från den tidigare hantverks- och manufakturperiodens relativt enkla, av enskilda eller mindre grupper av arbetare ännu kontrollerbara redskapsutrustning, till industrisamhällets alltmer utvecklade system av maskinell utrustning, som gentemot de enskilda arbetarna framträder som ett övermäktigt förkroppsligande av hela samhällets gemensamma produktivkraft.
Därmed växer det fasta kapitalets andel. Växer gör också den tid, som fordras för att hela kapitalet till alla delar skall reproduceras. En karakteristisk konsekvens härav, som redan Marx noterade, är det skärpta kravet på fullt och kontinuerligt utnyttjande av arbetsmedlen i produktionsprocessen. Det fasta kapitalets värdeminskning fortskrider oberoende av om maskinerna går eller inte. Den fysiska förslitningen är delvis oberoende av själva arbetsprocessen: maskiner rostar när de står still. Än mer oberoende är vad Marx kallade den moraliska förslitningen, den som förorsakas av att den tekniska utvecklingen kontinuerligt medför nya och bättre arbetsmedel resp. förbilligar deras framställning. För det flytande kapitalet innebär avbrott i produktionsprocessen (bortsett från eventuellt ruttnande lager) "endast" avbrott i mervärdeproduktionen. För det fasta kapitalet medför de destruktion av existerande värden.
I de borgerliga och småborgerliga allmänföreställningarna identifieras kapitalet i allt högre grad med maskiner, fabriker, anläggningar - och därifrån vidare med arbetsmöjligheter, sysselsättning etc. Det fasta kapitalets materiella uppenbarelseformer framstår som kapital par préférence. Kapitalfetischismen får här sin speciella näring av det faktiska förhållandet, att produktionens alltmer samhälleliga karaktär just kommer till uttryck i det fasta kapitalets tillväxt. Det är särskilt i form av fast kapital, som kapitalet i sig tycks absorbera samhälleliga produktivkrafter som organisation, specialisering, vetenskap och teknik och förvandla dem till från det levande arbetet oavhängiga, kapitalet tillhöriga egenskaper. Detta förhållande har naturligtvis sin andra och positiva sida. Den är att de utopiska förhoppningarna om en återgång till den på det egna individuella arbetet baserade privata äganderätten till produktionsmedlen obönhörligen rensas ut. Paroller som "egendomsägande demokrati" blir till löjeväckande besvärjelser. Maskiner och fabriker kan inte plockas isär så att envar får sin lilla bit att leka med. Församhälleligandet av produktionsprocessen tillhör de progressiva sidorna i kapitalismens utveckling. Makten och kontrollen över de av kapitalismen omvandlade produktionsbetingelserna kan bara återerövras av de arbetande i kollektiv gemenskap.
Liksom arbetslönen är den förvandlade formen av arbetskraftens värde, så är profiten den förvandlade formen av mervärdet. Denna formförvandling följer vi bäst från samma utgångspunkt som Marx: en undersökning av skillnaden mellan vad varan är värd och vad den kostar kapitalisten.
Varans värde byggs upp av den för dess framställning socialt nödvändiga mängden abstrakt arbete. Denna arbetsmängd införlivas med varuvärdet i olika led av varans framställning. Skriver vi varuvärdet som k + v + m, så är k den i de förbrukade produktionsmedlen innehållna värdemängden, som i detta produktionsled inte produceras utan endast överförs på den nya varan, k är alltså tidigare nedlagt arbete. Summan av v och m är däremot den i detta led nyskapade värdemängden, alltså nytillsatt arbete. Om vi endast känner dessa båda arbetsmängder - vilka också uttömmande bestämmer vad varan i realiteten kostar - så måste varuvärdet betraktas som k + (v+m). Hur parentesens summa fördelar sig på v och m är här ännu obestämt: varken v eller m representerar några av denna varas framställningsbetingelser bestämda arbetsmängder; endast deras summa är bestämd av att så och så mycket arbete måste tillsättas k. Som vi i föregående kapitel sett bestäms fördelningen mellan v och m - när deras summa är given - av värdet av en annan vara: varan arbetskraft. Denna fördelning är emellertid likgiltig så länge vi endast frågar oss vad varan kostar i arbetstid.
Likgiltig är den däremot inte för kapitalisten. Ur hans synpunkt är det en del av varuvärdet som definitivt inte kostar honom någonting alls, nämligen det obetalda arbetet eller mervärdet. Vad varan kostar honom är alltså varuvärdet minus mervärdet, alltså k+v. k+v är därför varans kostnadspris, vad den kostat kapitalisten av i varans produktion insatt kapital, priset för förbrukade produktionsmedel och inköpt arbetskraft.[79] Summan k+v är visserligen sammansatt av ett i dubbel mening omaka par. Betraktade som ingredienser i den färdiga varans värde är den ena summan av tidigare nedlagt arbete, den andra en del av det nytillsatta arbetet. Betraktade som produktivt kapital förhåller de sig helt olika i värdebildningsprocessen: det konstanta kapitalet köper lagrat arbete, vars värde konserveras och överförs på den färdiga varan; det variabla kapitalet ersätts i produktionsprocessen av levande arbete, som reproducerar det variabla kapitalet med ett tillskott Δv eller m. Dessa skillnader suddas fullständigt ut i varans kostnadspris, som ju endast är den rest som blir över, när varuvärdet minskats med mervärdet. Här framstår tvärtom k och v som två helt likvärdiga parhästar, som gemensamt drar lasset: k genom att köpa produktionsmedel, v genom att köpa arbetskraft - vilket naturligtvis i kapitalistens föreställningsvärld är liktydigt med att köpa och betala arbete. Varuvärdet visar sig nu bestå av (k+v) + m, alltså av kapitalet, utlagt på produktionsmedel och arbete, plus ett tillskott. Och:
"Det står nu klart för kapitalisten, att detta värdetillskott härrör ur de produktiva saker, som man företar sig med kapitalet, att det alltså härrör ur kapitalet självt - för efter produktionsprocessen finns det där, och före produktionsprocessen fanns det där inte. Vad beträffar det i produktionen utgivna kapitalet, så tycks mervärdet framspringa likmässigt ur dess olika, i produktionsmedel och arbete bestående värdelement. Ty dessa element ingår likmässigt i bildandet av kostnadspriset. Likmässigt tillför de produktvärdet sina som kapitalförskott befintliga värden och skiljer sig inte från varandra som konstanta och variabla värdestorheter."[80]
Men vad som här i lika mån tycks gälla kostnadsprisets båda beståndsdelar, det måste då gälla hela det använda kapitalet, alltså också det fasta kapitalet i dess helhet. Varför skulle just det kapital, som enbart ges ut för att återvända i varuvärdets kostnadsprisandel, vara en speciell källa till resten av varuvärdet, till mervärdet? Kostnadsprisets mystifierande sammanblandning av konstant och variabelt kapital förmedlar alltså helt osökt den föreställningen att allt använt kapital skapar något "förmånligt", en profit. Denna profit är mervärdets förvandlade form. Här framträder mervärdet som "en inbillad avkomma av det tillskjutna totalkapitalet". Mot denna formförvandling svarar en successiv omvandling av varuvärdet:
Varuvärdet = k + v + m = (k+v) + m = Kostnadspris + Profit.
Som alltid gäller det här, att Marx' undersökningar av "förvandlade former", "sken" och "mystifikationer" inte får förväxlas med så kallad "idékritik". Både arbetslön och profit är former, som "med nödvändighet växer fram ur det kapitalistiska produktionssättet". Och vad som intresserar Marx är alltid denna objektiva nödvändighet, inte i och för sig de "i detta produktionssätt fångna agenternas" subjektiva föreställningar.[81]
För kapitalisten, den kapitalistiska produktionens dirigent, är givetvis kostnadspriset en handfast realitet. Det är vad varan som sådan kostar honom, dess självkostnad. Kan han vid varans försäljning inte realisera ens dess kostnadspris, så förstörs en del av hans kapital. Det är därför ingen tillfällighet att den politiska ekonomin i dess naiva barndom, hos de merkantilistiska författarna, implicit eller explicit identifierade varans kostnadspris med det producerade värdet och följaktligen uppfattade profiten som ett genom varans försäljning skapat påslag på värdet. Den föreställningen återvänder sedan i olika former och på olika nivåer i de ekonomiska idéernas utveckling. Faktiskt uttrycker den på ett förvridet sätt ett betydelsefullt faktiskt förhållande. Det är obestridligt, att en vara säljs med profit om den säljs över sitt kostnadspris. Nu är kostnadspriset lika med varuvärdet minus mervärdet, det understiger alltså alltid varans värde. Därav följer att kapitalisten kan realisera en profit även då varan säljs under sitt värde, om nämligen priset ligger mellan kostnadspris och värde. Hela värdet (och mervärdet) behöver alltså inte realiseras för att kapitalisten ska göra sig en profit, det räcker med att en del av mervärdet realiseras. Eller kort sagt:
"Kapitalistens profit härrör därav, att han har något att sälja som han inte betalt."[82]
Den kapitalistiska ekonomin tål alltså att varornas priser avviker från deras värden. Den måste också tåla det. Inte bara därför att tillfälliga växlingar i utbud och efterfrågan framtvingar prisfluktuationer på kort sikt. Utan också därför att - som vi snart skall se - den genom flera individuella kapitals konkurrens utvecklade genomsnittsprofitkvoten framtvingar regelbundna avvikelser mellan varornas genomsnittliga priser på längre sikt och deras värden.
I föregående kapitel diskuterades mervärdekvoten, den exakta mätaren på utsugningsgraden. I denna relaterades den obetalda till den betalda arbetstiden, alltså mervärdet till det variabla kapitalet. Om mervärdekvoten betecknas som m', så är alltså
m' = m/v
Men i sin förvandlade form, som profit, framträder mervärdet som frambragt av hela kapitalet, alltså inte bara av dess variabla, i levande arbete omsatta del utan i lika mån också av det i produktionsmedel utlagda konstanta kapitalet. Man kan alltså säga, att profiten, redan då den framträder, förutsätter en annan relation än mervärdekvoten, nämligen en relation i vilket mervärdet mäter sig med hela kapitalet, med summan av konstant och variabelt kapital. Denna relation är profitkvoten. Om vi betecknar profiten som p och profitkvoten som p' så kan därför mervärdets förvandling till profit uttryckas så:
p = p' (k+v), där
p' = m / (k+v)
Nu är enligt mervärdekvotens definition
m = m' v
Sambandet mellan mervärdekvot och profitkvot kan alltså anges så:
p' = m' v / (k+v)
Profitkvoten är alltså produkten av å ena sidan mervärdekvoten, å andra sidan förhållandet mellan det variabla kapitalet och hela kapitalet. Den beror å ena sidan av utsugningsgraden, å andra sidan av vad Marx kallar kapitalets organiska sammansättning, alltså dess värdemässiga fördelning på konstant och variabelt kapital. Vid given organisk sammansättning bestäms profitkvoten av utsugningsgraden: ju högre mervärdekvot, ju större profitkvot. Vid given mervärdekvot bestäms profitkvoten av det variabla kapitalets andel av hela kapitalet: ju större denna andel är, ju högre profitkvot.[83]
Här angivna formler för profitkvoten är i ett avseende inte fullständiga. De relaterar mervärdet till summan av konstant och variabelt kapital utan att ta hänsyn till skillnader i omslagshastighet hos kapitalets olika delar. I så måtto kan de inte användas för den praktiska uppgift, som profitkvoten har: att jämföra profitabiliteten hos olika kapital, som skiljer sig från varandra både med hänsyn till organisk sammansättning och omslagsbetingelser. Den svårighet det här gäller är emellertid rent teknisk och i princip lätt avhjälpt. I anslutning till praxis beräknar vi profitkvoten som det under en viss period, säg ett år, producerade mervärdet i förhållande till det under samma tid ständigt bundna kapitalet. Vi kan då i nämnaren (k+v) addera de olika beståndsdelarna hos kapitalet - fast konstant, flytande konstant och variabelt kapital - efter den storlek de har när de en gång ges ut och utan hänsyn till att de återvänder efter kanske 10 år resp. 3 månader. Under förutsättning att inget mervärde ackumuleras under perioden, är allt vad vi behöver veta för att beräkna täljaren hur många gånger det variabla kapitalet slår om under året. Antag att det slår om n gånger. Om det vid varje omslag producerar mervärdet m, så producerar det under året ett mervärde av n m. Alternativt kan vi uttrycka det så att det variabla kapitalets effektiva andel av hela kapitalet måste beräknas med hänsyn till dess omslagshastighet, alltså som n v / (k+v). Ett tredje sätt att uttrycka samma sak är att i formeln använda den årliga mervärdekvoten, definierad som n m'. Under alla omständigheter får vi att den årliga profitkvoten blir
m' n v / (k+v) [84]
Vi kan naturligtvis utan olägenheter använda den enklare formeln för profitkvoten om vi förutsätter samma omslagshastighet hos det variabla kapitalet i alla industrigrenar. Den förutsättningen görs i följande avsnitt.
Konkret gestaltar sig den kapitalistiska produktionen så att det totala industriella kapitalet är uppdelat på ett antal individuella kapital. Dessa är verksamma inom olika industrigrenar. Utgångspunkten för en allmän analys måste vara, att de individuella kapitalen kan röra sig fritt ur den ena industrigrenen in i den andra.[85] Vad som bestämmer deras rörelse är jakten efter profit. Kapitalen söker sig till de verksamhetsfält, där de avkastar mesta möjliga profit. När deras rörelse avstannar och systemet befinner sig i jämvikt, så förutsätter detta att profitkvoten är lika i alla industrigrenar, att alltså kapital av samma storlek avkastar samma profit på olika verksamhetsfält.
Profitkvoten beror dels av mervärdekvoten, dels av kapitalets organiska sammansättning. Det existerar naturligtvis i den konkreta verkligheten många hinder för arbetskraftens rörlighet, som resulterar i skillnader i utsugningsgrad mellan olika platser och i olika industrigrenar. Sådana hinder kan betraktas som olika former av utomekonomiskt tvång och har stor praktisk-politisk betydelse. Men till den allmänna analysen av det kapitalistiska produktionssättet hör de inte. Dess allmänna regel är att arbetskraften är fri och rörlig. Mervärdekvoten bör då tendera att bli lika i olika produktionsgrenar.[86] Detsamma gäller inte om kapitalets organiska sammansättning. Fördelningen på konstant och variabelt kapital återspeglar delvis tekniska produktionsbetingelser: hur mycket produktionsmedel det levande arbetet förbrukar i produktionsprocessen. I det avseendet råder stora skillnader mellan olika industrigrenar, mellan exempelvis maskin- och textilindustri. Det kan inte sägas ligga i det kapitalistiska produktionssättets natur att avskaffa dessa skillnader.
Om vi alltså förutsätter samma mervärdekvot i olika produktionsgrenar, så måste vi däremot förutsätta skillnader i den organiska sammansättningen. Men om kapitalen i olika industrigrenar har samma mervärdekvot men olika organisk sammansättning, då är också profitkvoten sådan vi förut definierat den olika. Den slutsatsen är ofrånkomlig, om vi utgår från att varorna säljs till sina värden. Men - och vi låter Marx själv kommentera slutsatsen -
"Å andra sidan är det höjt över varje tvivel att i verkligheten, bortsett från oväsentliga, tillfälliga skillnader som utjämnar sig, olikheten i de genomsnittliga profitkvoterna för de olika industrigrenarna inte existerar och inte skulle kunna existera utan att upphäva den kapitalistiska produktionens hela system. Det ser alltså ut som om värdeteorin här är oförenlig med den verkliga rörelsen, oförenlig med produktionens faktiska företeelser, och att man därför överhuvud måste avstå från att begripa dessa."[87]
Marx valde att inte avstå från att begripa. Värdeteorin fick stå orubbad. Den allmänna profitkvoten, lika för kapital i olika produktionsgrenar, var ett faktum, som utvecklades genom de individuella kapitalens inbördes konkurrens. Följaktligen framtvang samma konkurrens att varorna såldes till genomsnittliga priser, som avvek från värdena. Dessa priser kunde emellertid härledas ur värdeteorin. Den allmänna profitkvoten, härledd ur värdeförhållandena, bestämde en genomsnittsprofit, lika för kapital av samma storlek. När denna genomsnittsprofit läggs till varornas kostnadspriser, erhålls deras produktionspriser, d.v.s. de sökta genomsnittspriserna. Den medvetet förenklade illustration som Marx gav av denna transformation av värden till produktionspriser kan återges på följande sätt. Antag att vi har tre industrigrenar, vars kapital i genomsnitt har samma mervärdekvot (m') men olika organisk sammansättning. För enkelhetens skull antar vi vidare att det konstanta och det variabla kapitalet slår om tillsammans, så att k + v kan beteckna både hela kapitalet och produkternas kostnadspris. Vi betecknar produktvärdet som a, produktionspriserna som x. Värdeförhållandena blir alltså:

Den inom varje industrigren genomsnittliga profitkvoten skiljer sig från de övrigas, eftersom den organiska sammansättningen är olika. I konkurrensen utvecklas nu en genomsnittsprofitkvot för alla tre industrigrenarna gemensamt. Den beräknas som summan av det producerade mervärdet i förhållande till summan av använt kapital, alltså
![]()
Vi får då följande produktionspriser:

Transformationen innebär här en ren omfördelning av det totalt producerade mervärdet, så att kapitalet i varje industrigren får del därav i förhållande till sin storlek. Eftersom kostnadspriserna inte berörs av transformationen blir också prissumman (Σx) lika med värdesumman (Σa).
Till denna typ av illustration fogade Marx emellertid själv omedelbart en reservation. Om kostnadspriserna inte berörs av transformationen, så betyder det att man om industrigrenarna förutsätter att de inte producerar något åt varandra, att alltså den ena industrigrenens output - vars värde transformeras till produktionspris - inte ingår som input, som produktionsmedel eller lönevaror, i andra industrigrenar. I annat fall kan inte kostnadspriserna förbli oberörda. Men för samhällsekonomin i dess helhet gäller givetvis tvärtom att de olika industrigrenarna i stor utsträckning producerar kostnadselement åt varandra och att det på så sätt råder en allmän interdependens dem emellan. Marx, som i sin allmänna reproduktionsteori[88] gjorde pionjärinsatser just för klarläggandet av denna interdependens, var naturligtvis fullt medveten om detta och påpekade det också uttryckligen i sin diskussion om transformationen.[89]
I allmänhet måste alltså transformationen av värden till produktionspriser simultant omfatta både output och input. Detta gör problemet tekniskt sett mer komplicerat. Den viktigaste frågan vi måste ställa oss är emellertid denna: står en sådan transformation principiellt och metodiskt i strid med värdeteorin i den meningen att den vid förklaringen av priserna utnyttjar förklaringsgrunder, som värdeteorin principiellt avvisar?
Värdet - som social relation - förutsätter konkurrens mellan varuproducenterna. Genom att arbetet kan röra sig fritt mellan olika produktionsgrenar blir produkten av samma mängd abstrakt arbete densamma i olika produktionsgrenar oavsett dessas olika tekniska betingelser. På i princip samma sätt medför konkurrensen mellan kapital med rörelsefrihet mellan olika industrigrenar en genomsnittsprofitkvot, som tillför samma mängd kapital samma mängd mervärde i olika industrigrenar oavsett dessas olika betingelser. Mekanismen är densamma: konkurrensen verkar i båda fallen på i princip samma sätt. Vad vi emellertid i det senare fallet förutsätter är kapitalistiska produktionsförhållanden, där prisrelationerna också uttrycker relationer mellan kapitalistiska producenter:
"Hela svårigheten inträder därigenom att varorna inte bytas endast som varor utan som produkter av kapital, vilka gör anspråk på hela mervärdemassan i förhållande till sina storlekar ..."[90]
Om arbetarna själva ägde sina respektive produktionsmedel och sinsemellan bytte sina producerade varor - om vi alltså förutsätter en icke-kapitalistisk varuproduktion - så skulle "nödvändig arbetstid" och "merarbetstid" följas åt vid fördelningen. Relationen mellan å ena sidan "merarbetstiden", å andra sidan summan av den i produktionsmedel lagrade arbetstiden och den "nödvändiga arbetstiden" - under kapitalistiska förhållanden alltså profitkvoten - skulle vara fullständigt likgiltig för de bytande, och varorna skulle bytas till sina värden.[91] När varorna däremot byts till produktionspriser, så förutsätter det att kapitalistiska produktionsförhållanden utvecklats till en viss nivå.
Transformationen av värden till produktionspriser har förorsakat en ganska omfattande diskussion i litteraturen efter Marx. Detta av flera skäl: å ena sidan har frågan uppfattats som kritisk för Marx' värdeteori, å andra sidan är den i sig själv av ett visst teoretiskt intresse. Därtill kommer att - som vi sett - Marx delvis lämnade den öppen. Den förda diskussionen är delvis svåröverskådlig, delvis av en utpräglat teknisk karaktär. Utan anspråk på fullständighet ska vi här försöka sammanfattande beskriva vad diskussionen gällt.[92]
Antag att vi känner till värdet - i Marx' mening givetvis, alltså det kristalliserade abstrakta arbetet - av hela ekonomins produktion, hur detta värde fördelar sig på dess n stycken industrigrenar, och slutligen hur mycket av varje industrigrens output som ingår som input i varje annan industrigren, det må vara som produktionsmedel eller som konsumtionsvaror för arbetarna. Känt är därmed också mervärdet och dess fördelning på olika industrigrenar. Nu genomför vi en transformation av värden till priser, på vilken vi ställer följande krav: den skall resultera i en för alla industrigrenar lika profitkvot, och den skall samtidigt bevara de i värdesituationen givna input-output-relationerna mellan industrigrenarna. I vilken mening kan man då säga, att givna data i "värdesituationen" bestämmer "prissituationen", d.v.s. genomsnittsprofitkvot och produktionspriser?
För det första: det kan visas, att en och endast en profitkvot uppfyller de krav vi ställt. Genomsnittsprofitkvoten är alltså entydigt bestämd av värdesituationen. Med här givna förutsättningar kan vi emellertid allmänt inte säga mer om den än att den måste ligga mellan den största och den minsta av industrigrenarnas profitkvoter i värdesituationen, och att den under eljest lika omständigheter måste påverkas i överensstämmelse med den allmänna formeln för profitkvoten: uppåt av varje stegring av mervärdekvoten, nedåt av varje ökning av kapitalets organiska sammansättning.
För det andra: med denna ur värdesituationen entydigt bestämda genomsnittsprofitkvot följer ett likaledes bestämt system av relativa priser. Via genomsnittsprofitkvoten bestämmer alltså värdesituationen entydigt de inbördes relationerna mellan de i de olika industrigrenarna producerade varornas produktionspriser. Om vi alltså betecknar produktionspriset per värdeenhet i en industrigren som p1, så kan vi ur värdesituationen härleda p1/pn, p2/pn ... pn-1/pn.
Vad däremot hittills gjorda förutsättningar lämnar obestämt är relationen mellan värde och pris. Vid en simultan transformation med enbart här redovisade förutsättningar är det alltså omöjligt att sluta sig till vare sig att summan av produktionspriser blir lika med summan av värden eller att summan av profiter blir lika med summan av mervärde. Det är heller inte möjligt att - annat än med hjälp av ytterligare förutsättningar - sluta sig till ekvivalens mellan relationerna mellan å ena sidan mervärdesumma och värdesumma, å andra sidan profitsumma och prissumma. Häri skiljer sig tydligen den simultana transformationen under här angivna betingelser från Marx' illustration.
Om vi finner det nödvändigt att s.a.s. slå en kvantitativ brygga mellan värde- och prissituationerna, så måste vi tillfoga ytterligare något postulat. Diskussionen om transformationsproblemet kan sägas uppvisa en låt vara ofullständig katalog över tänkbara sådana. Den ram inom vilken de utformats har i regel varit den hos Marx ibland förekommande uppdelningen av ekonomin i tre sektorer, där sektor I producerar produktionsmedel, sektor II arbetarnas lönevaror och sektor III de konsumtionsvaror som kapitalisterna förbrukar.
Man kan då exempelvis - som Bortkievicz och Sweezy - förutsätta att penningvarans pris är lika med dess värde. Detta postulat räcker i och för sig för att kvantitativt binda produktionsprisernas inbördes relationer till värderelationerna. Därutöver säger det emellertid inget av intresse om transformationen. Bortkievicz och Sweezy införde emellertid ytterligare restriktioner: den enkla reproduktionens jämviktsvillkor skulle gälla, och penningvaran producerades i sektor III. Med dessa förutsättningar blir summan av profiter lika med summan av mervärde, men den totala prissumman blir lika med värdesumman endast i ett specialfall: då penningvaran dessutom produceras under genomsnittliga betingelser, d.v.s. med den för ekonomin som helhet genomsnittliga organiska sammansättningen hos kapitalet.
Winternitz' lösning använder däremot endast ett postulat: att ett vägt genomsnitt av alla priser är lika med värdet och att alltså summan av produktionspriser blir lika med summan av värden. Därav följer emellertid i regel inte att summan av profiter blir lika med summan av mervärde.
Från denna typ av invarianspostulat - förutsättningar om att ett visst pris går oförändrat genom transformationen - skiljer sig Meeks förutsättningar. De innebär att den organiska sammansättningen i sektor II (lönevarusektorn) är lika med genomsnittet för hela ekonomin, och att mervärdekvoten är lika i alla sektorer. Sektor II blir därmed till sin struktur en förminskad modell av ekonomin i dess helhet - KII : VII : MII = K : V : M - och vid transformationen blir förhållandet mellan totalvärdet och arbetskraftens värde - (K + V + M) : V - oförändrat. Här skjuts alltså den frågan i förgrunden, om vi i prissituationen kan återfinna vissa väsentliga relationer i värdesituationen, medan däremot frågan om att "översätta" värden till priser skjuts tillbaka. Meek visar emellertid att den så erhållna lösningen är förenlig med det ytterligare kravet, att summan av profiter är lika med summan av mervärden. Det kan emellertid knappast sägas, att förutsättningen om den organiska sammansättningen i sektor II omedelbart låter sig härledas ur de av Marx angivna betingelserna för transformationen.
Diskussionen om transformationsproblemet kan inte betraktas som avslutad. Men dess här redovisade resultat ger anledning till två synpunkter.
(1) Diskussionen har visat, att Marx' härledning av priser ur värden är formellt sett fullständigt oangriplig. Vid en utjämning av profitkvoten genom en simultan transformation av värden till produktionspriser kan en given värdesituation - likgiltigt vilken - sägas entydigt bestämma prissituationen. Det är också allt som ur rent logisk synpunkt behövs. Det finns skäl att betona detta. Böhm-Bawerk gjorde på sin tid stor succé med påståenden, som alltjämt spelar sin roll i buskagitationen: att transformationen av värden till priser var en logisk omöjlighet, och att "motsägelsen" mellan Kapitalets första och tredje band var hopplös.[93] Mot anseendet hos Böhm-Bawerks Marx-kritik hjälpte inte sådana fakta som att berörda partier av tredje bandet förelåg färdiga före publiceringen av första bandet, att Marx faktiskt läste Ricardo före utarbetandet av sin värdeteori och där snubblade på transformationsproblemet, att offentliggörandet av Theorien über den Mehrwert och Grundrisse visade att han utvecklade sin värdeteori parallellt med behandlingen av förhållandet mellan värden och produktionspriser. Nu kan emellertid också påståendet om transformationens logiska omöjlighet konstateras vara grundlöst. Substansen i Böhm-Bawerks påståenden går därmed snabbt mot noll.
(2) Blott och bart den formella möjligheten säger emellertid ingenting om en härledning av iakttagbara priser ur en värdesituation är vare sig nödvändig eller meningsfull. Vi har sett att prissituationen framträder som ett i sig slutet system av prisrelationer, vars enda nödvändiga länk till värdesituationen är genomsnittsprofitkvoten. Om nu denna profitkvot ges en annan förklaring - eller, för att säga som det är, om den inte förklaras alls, om det helt enkelt tas för givet att det ska vara så att kapital ger profit efter sin storlek varhelst det används - då återstår i prissituationen ingenting annat än de relativa priserna. Och eftersom dessa, tagna för sig, bara framstår som systemets egna jämviktsvillkor så att det ska hänga ihop under givna tekniska betingelser, så förefaller det helt överflödigt att gripa tillbaka på en "hypotetisk" värdesituation för att förklara dem. Om vi alltså tar de kapitalistiska produktionsförhållandena för givna och därmed på förhand begränsar vårt operationsfält till deras manifesterade bytesförhållanden på marknaden, då kommer vi utan tvivel att finna Marx' värdeteori "icke-operationell", överflödig, och onödigt besvärlig att använda.
Vad det gäller är här alltså värdebegreppets funktion. Mest belysande för den frågan är i själva verket att jämföra Marx med den borgerliga ekonom, som före honom prövade arbetsvärdeteoretiska utgångspunkter, och vars resultat han noga studerade.
Ricardos syfte var rent kvantitativt. Värdeproblemet var frågan om att mäta "svårigheten att producera" varor. Fanns det därför en värdemåttstock som var oberoende av fördelningen? Ricardo prövade den för varans framställning nödvändiga arbetstiden. Därpå fann han, att "arbetsvärderegeln" inte gick ihop med kraven på en enhetlig profitkvot, när olika industrigrenar använde kapital och arbete i olika proportioner. Därav följde då att arbetsvärderegeln "avsevärt modifierades" genom "användningen av maskineri och annat fast och varaktigt kapital". Prisförhållandet mellan två varor, som innehöll samma mängder arbete men producerades med olika mängder kapital, påverkades då av en ändrad fördelning mellan profiter och löner. Följaktligen vände Ricardo sin uppmärksamhet mot frågan om det fanns någon vara, vars pris under givna produktionsbetingelser inte kunde påverkas av ändrad fördelning, och som då kunde tjänstgöra som "invariabel värdemåttstock".[94]
Den kritik som Marx riktade mot detta tillvägagångssätt var följande. För det första angrep han Ricardo för att vara besatt av värdeproblemets kvantitativa sida och därmed undvika att besvara frågan om vad värde är. För det andra kritiserade han Ricardo för att illegitimt ha smusslat in de för kapitalistiska produktionsförhållanden karakteristiska kategorierna före lösningen av värdeproblemet:
"Alltså: i detta första kapitel [av Ricardos Principles] förutsätts inte endast varor - och något mer får inte förutsättas, när värdet som sådant betraktas - utan arbetslön, kapital, profit, t.o.m. som vi ska se allmän profitkvot, de olika formerna av kapitalet sådana de framgår ur cirkulationsprocessen /.../"[95]
Och Marx fortsatte: när Ricardo upptäcker skillnaden mellan produktionspris och värde, så har han i själva verket redan förutsatt denna skillnad i och med att han förutsatt en allmän profitkvot och därmed att kapital oavsett skillnader i sin organiska sammansättning avkastar en profit i förhållande till sin storlek. Men det är just värdebegreppets uppgift att utifrån de för varuproduktionen allmänt gällande lagarna förklara både de kapitalistiska produktionsförhållandena och den med dessa förhållanden förbundna uppkomsten av en genomsnittsprofit. När Ricardo inte förmår forma ett sådant värdebegrepp, så brister han i den för begripandet nödvändiga abstraktionsförmågan:
"Alltså: när man förebrår honom [Ricardo] alltför stor abstraktion, så vore den omvända förebråelsen berättigad: brist på abstraktionskraft, oförmåga att vid undersökningen av varornas värden bortse från profiten, ett faktum som möter honom först ur konkurrensen."[96]
Polemiken mot Ricardo är i själva verket en belysande kommentar till det sätt varpå Marx byggde upp sin teori. Vid analysen av värdet förutsätts ingenting annat än varor. Värdebegreppet utvecklas enbart ur varans allmänna egenskaper. Marx använde detta begrepp för att begripa kapitalismen såsom en särskild, historiskt utvecklad form av varuproduktion. Utan denna metod blir de kapitalistiska produktionsförhållandena givna, aldrig undersökta förutsättningar och deras yttringar tidlösa lagar, människans eviga följeslagare. Med denna metod kan man förklara vad kapitalismen är, hur den uppkommit, hur den utvecklas och hur den kan avskaffas.
Även de, som gjort försök att förstå det rationella i Marx' teori och begreppsapparat, har ofta förvillats av dess säregenhet. - Den är en teori om utsugning och fördelning, men den skulle inte ha framställts som en teori om relativa priser![97] - Men den är en teori om sociala relationer mellan varuägare: kapitalister och arbetare är varuägare och möter varandra som sådana, och de inbördes relationer mellan kapitalistiska varuproducenter, som kommer till uttryck i relativa priser, kan bara förstås på denna grundval. - Den bör uppfattas som ett metodologiskt manifest![98] - Bara om vi håller i minnet att metoder inte kan väljas fritt utan är bundna till uppgiften att bemästra den objektiva verkligheten. - Den måste uppfattas som ett postulat, byggt på den värderande iakttagelsen att några arbetar, andra har inkomster utan att arbeta![99] - Bara om vi förväxlar den givna verkligheten med våra "värderande iakttagelser", därmed bortförklarar den och gör all objektiv kunskap omöjlig.
Under varje utvecklingsstadium uppvisar produktionen två sidor: produktivkrafter och produktionsförhållanden. För att kunna fullgöra sin uppgift - att studera i vilka relationer individerna och samhällsklasserna träder till varandra i produktionsprocessen, d.v.s. vilka socioekonomiska relationer som råder - måste därför den politiska ekonomin ta sin utgångspunkt i produktivkrafternas utvecklingsnivå och produktionsförhållandets speciella karaktär. Dessutom måste den politiska ekonomin analysera de ur dessa förhållanden härledda klasstrukturerna.
"I sitt livs samhälleliga produktion träder människor i bestämda, nödvändiga, av deras vilja oberoende förhållanden, som motsvarar en bestämd utvecklingsgrad av deras materiella produktivkrafter. Summan av dessa produktionsförhållanden bildar samhällets ekonomiska struktur, den reella bas, på vilken en juridisk och politisk överbyggnad reser sig och vilken motsvaras av bestämda former av det samhälleliga medvetandet."[100]
Med produktivkrafter avses i den marxistiska politiska ekonomin dels de arbetsmedel med vars hjälp materiella nyttigheter framställs, dels människorna själva med sin kunskap och erfarenhet. Det är på grundval av sin vunna kunskap och erfarenhet som människorna utvecklar arbetsmedlen. Denna utveckling skapar i sin tur nya kunskaper och erfarenheter. På så sätt utvecklas produktivkrafterna ständigt i en dialektisk process.
Vad som skall hänföras till arbetsmedel och därmed till produktivkrafter varierar mellan olika samhällsformationer. Allmänt kan dock arbetsmedel definieras som ett föremål eller komplex av föremål, som arbetaren skjuter mellan sig och det arbetsföremål han avser bearbeta. Arbetsmedlets uppgift är att förmedla arbetarens verksamhet på arbetsföremålet.
Arbetaren begagnar sig alltså av tingens fysiska och kemiska egenskaper för att låta dessa ting påverka andra ting (arbetsföremålen) så att dessa genomgår en förändring från arbetsföremål till produkter eller bruksvärden. Denna process av medveten påverkan av ett ting på ett annat kallas för produktionsprocessens abstrakta eller allmängiltiga form. Den är oberoende av produktivkrafternas utvecklingsnivå och de rådande produktionsförhållandena.
Vi har tidigare konstaterat att individer och grupper av individer träder i bestämda relationer till varandra i produktionsprocessen. Dessa relationer blir avgörande för vilket produktionsförhållande som råder. För att kunna klargöra detta måste vi därför undersöka klasstrukturen i samhället. Avgörande för denna blir egendomsförhållandet till produktionsmedlen, d.v.s. de objektiva relationerna.
Produktionssättet utgör den enhet som produktivkrafternas utvecklingsnivå bildar tillsammans med det rådande produktionsförhållandet.
Under feodalismen är jorden det viktigaste produktionsmedlet. Jorden brukas av bönder, som tvingas prestera merarbete till dem som hävdar en högre äganderätt till jorden - feodalherrar, kyrka och furstar. Formerna för detta merarbete växlar: dagsverken på herremannens domän, naturaprodukter av bondens produktion, pengar när penninghushållningen nått en viss utveckling. Men källan till bondens existens är hans egen hushållning. I motsats till slaven är han därför direkt intresserad i sitt arbetsresultat. Feodalismen medger därför en successiv förbättring av arbetsmedlen och en om också långsam utveckling av produktivkrafterna.
I det feodala samhällets porer - vid hamnarna, på marknadsplatserna, i städerna - börjar varuproduktion och handel utvecklas. Varuproduktion och penninghushållning tränger in i de feodala produktionsförhållandena och verkar upplösande på dem. De stegrar jordägarnas krav på merarbete, samtidigt som de gör bönderna beroende också av marknaden, av köpmännen och av ockrarna. De skiktar bondeklassen i besuttna och halvproletära brukare. Av ruinerade småbrukare och hantverkare bildas embryot till ett proletariat, som samtidigt möjliggör varuproduktionens utveckling till kapitalistisk produktion.
Kapitalistiska produktionsförhållanden - i t.ex. textilmanufakturer och bergshantering - växer så fram inom det feodala samhällets ram. Deras första utveckling är långsam och trevande. Den omhuldas av feodalsamhällets styresmän, som ställer sin lagstiftning och sin maktapparat till förfogande både för att säkra dess behov av marknader och för att mata den med billig arbetskraft. Det feodala klassförtrycket med dess utomekonomiska tvång är till att börja med en hävstång för kapitalismens tidiga växt. Men när kapitalismen nått en viss utveckling, blir de feodala produktionsförhållandena tvärtom en hämsko på produktivkrafternas fortsatta utveckling. Bort måste nu de feodala bindningarna av arbetskraften, bort måste monopolen, privilegierna och förmyndarskapet över industri och handel, och bort måste inte minst de ur det kapitalistiska borgerskapets synpunkt parasitära klasser, som utgjort feodalsamhällets prydnad. Borgarklassen blir revolutionär, och för att frigöra sig från den feodala samhällsordningen och vinna makten i samhället skyr den inte våldsamma omstörtningar. I Kommunistiska manifestet beskrivs den stora franska revolutionen så:
"Vi har alltså sett: de produktions- och samfärdsmedel, på vilkas grundval bourgeoisin växte fram, skapades av det feodala samhället. På ett visst stadium av utvecklingen av dessa produktions- och samfärdsmedel, motsvarande de förhållanden varunder feodalsamhället producerade och drev utbyte, den feodala organisationen av jordbruk och manufaktur, med ett ord de feodala egendomsförhållandena, icke längre de redan utvecklade produktivkrafterna. Dessa förhållanden hämmade produktionen i stället för att främja den. De förvandlades till lika många fjättrar. De måste sprängas och de sprängdes.
I deras ställe trädde den fria konkurrensen med den därtill anpassade samhälleliga och politiska konstitutionen med borgarklassens ekonomiska och politiska herravälde."[101]
Produktionsförhållandet kännetecknas under kapitalismen av att en klass äger och kontrollerar produktionsmedlen - kapitalisterna - och att en annan klass är de omedelbara producenterna - arbetarklassen. Producenterna behärskar inte längre produktionsmedlen utan produktionsmedlen producenterna. Produktionsförhållandets specifika form under kapitalismen kommer att återspegla sig i den kapitalistiska produktionsprocessen. Den kan karaktäriseras på följande sätt:
(1) Producentens skiljande från produktionsmedlen
(2) Produktionsmedlens koncentration till en enda klass
(3) Uppkomsten av ett proletariat
Dessa tre karaktäristika är inte skilda från varandra, utan snarare tre olika sidor av ett och samma fenomen - anpassningen av produktionsförhållandet till produktivkrafternas utvecklingsnivå.
Som vi redan tidigare påpekat är förekomsten av kapital och profit inget specifikt för kapitalistiska produktionsförhållanden. Under förkapitalistiska produktionsförhållanden antog dock kapitalet huvudsakligen karaktären av handels- och ockerkapital. Profiterna utgjordes följaktligen i huvudsak av handelsprofiter - man köpte billigt och sålde dyrt - och av ockerräntor. Det specifikt kapitalistiska är i stället att kapitalet trängt in i produktionssfären från cirkulationssfären och därigenom bemäktigat sig en allt större del av den samhälleliga aktiviteten. Kapitalet kommer inte bara, som under förkapitalistiska produktionsförhållanden, att spela rollen som mellanhand och exploatör av icke-kapitalistiska produktionsformer, utan aktivt deltaga i produktionsprocessen och av kapitalisterna användas för exploatering av arbetarklassen.
Vi har ovan kunnat konstatera att den omedelbara producentens skiljande från produktionsmedlen leder till uppkomsten av två klasser i samhället. En klass äger produktionsmedlen - kapitalisterna - och en annan klass brukar produktionsmedlen - arbetarklassen. Denna klasstruktur härledde vi ur de förändrade produktionsförhållandena. Klasstrukturen i ett samhälle är således inte en "naturens ordning" som den borgerliga nationalekonomin försöker göra gällande utan en produkt av tidigare sociala och ekonomiska utvecklingsstadier och det för tillfället rådande produktionsförhållandet. Dessa klassers relation till varandra förstår vi lättast genom att studera deras respektive uppgift i produktionsprocessen. Vi har redan i tidigare kapitel påvisat att kapitalistens uppgift är att förmera sitt kapital. Kapitalets kretslopp under kapitalismen kan illustreras enligt följande:
P - V - P'
där
P' > P
Detta är själva drivfjädern i det kapitalistiska systemet. Om detta kretslopp avbryts för en längre tid upphör kapitalismen att fungera, likaså upphör den enskilda kapitalisten att fungera som kapitalist om han inte fullföljer kretsloppsprocessen - om han inte förmerar sitt kapital.
Kapitalägarnas motiv för att fullfölja denna process är att P' > P, d.v.s. att de kan tillgodogöra sig en profit. Ju större skillnaden är mellan P' och P desto bättre fullgör kapitalisten sin uppgift som kapitalist.
I kapitel 3 visade vi att P' endast kan bli större än P genom att produktionsprocessen antar karaktären av en värdeförmeringsprocess. Detta sker genom att låta arbetaren arbeta mer än vad som är nödvändigt för arbetskraftens reproduktion Arbetskraftens värde understiger det värde som arbetaren producerar. Mellanskillnaden tillägnar sig kapitalisten i form av mervärde. Ju hårdare kapitalisten exploaterar arbetskraften desto större blir hans profit. Eller tvärtom: ju större lön arbetaren kan tilltvinga sig - d.v.s. ju större andel han tilltvingar sig av det värde han nyproducerar - desto mindre blir profiten för kapitalisten.
Vi kan nu konstatera att det råder en motsättning mellan arbetarnas strävan att få så stor andel som möjligt av det de nyproducerar och kapitalisternas strävan efter att tillägna sig så stor profit som möjligt. Denna motsättning baseras inte på individernas subjektiva önskningar utan på klassernas olika uppgifter i produktionsprocessen. Den ena - kapitalistklassen - är arbetskraftsköpare. Den andra - arbetarklassen - är arbetskraftsförsäljare. Motsättningen är objektiv och inte beroende på individernas subjektiva önskningar, eller med Marx egna ord:
"Ett ord för att förebygga möjliga missförstånd. Kapitalistens och jordägarens gestalter tecknar jag ingalunda i något rosenskimmer. Men det handlar härvid icke om personerna annat än försåvitt de är personifikationer av ekonomiska kategorier, bärare av bestämda klassförhållanden och intressen. Mindre än någon annan kan min ståndpunkt, vilken uppfattar de ekonomiska samhällsformernas utveckling som en naturhistorisk process, göra den enskilde ansvarig för tillstånd, vilkas skapelse han socialt är, hur mycket han än strävar att subjektivt höja sig över dem."[102]
Ur klassmotsättningarnas objektiva karaktär följer klasskampen. De i produktionsförhållandet inkapslade motsättningarna mellan utsugare och utsugna leder till en kamp mellan dem, som i sin elementära form är den omedelbara reflexen av deras förhållande till varandra. Kapitalisterna kan öka sin profit på bekostnad av arbetarnas lön; arbetarna kan höja sin lön på bekostnad av kapitalisternas profit. Den slutliga fördelningen bestäms av kraftförhållandet mellan dem. Så snart detta står klart för de båda parterna - och det klargörs intuitivt för dem av den dagliga erfarenheten - är inte bara motsatta intressen utan också en faktisk kamp mellan dem oundviklig.
Vad som gäller för de kapitalistiska produktionsförhållandena gäller också för tidigare utsugningsrelationer. Kampen mellan utsugare och utsugna går som en röd tråd genom samhällsutvecklingen och driver den framåt. Den framträder inte alltid i öppna konflikter, den syns inte alltid i historikernas alltid begränsade källmaterial, den behöver inte ens vara medvetet uppfattad av dem som deltar i den. Den är inte desto mindre den grundläggande förklaringen till samhällsutvecklingens dynamik, orsaken till att de skenbart stabilaste samhällsformationer störtas genom sociala revolutioner och avlöses av andra.
Det Kommunistiska manifestets skildring av hur proletariatets klasskamp utvecklas kan idag läsas som den mest exakta historieskrivning över vad som skett sedan denna skildring skrevs. Klasskampens elementära former - den enskilde arbetarens instinktiva försvarsreaktioner - utvecklas genom arbetarnas sammanslutning till en alltmer omfattande organiserad kamp både fackligt, ekonomiskt och politiskt. Bekräftad är också Manifestets slutsats att bara en proletär revolution kan bryta ner kapitalismens motstånd och bana väg för nya samhällsförhållanden. Vad Marx däremot inte förutsåg var hur ett senare stadium i kapitalismens utveckling - monopolkapitalism och imperialism - skulle återverka på arbetarrörelsens ledande skikt. Till den frågan återkommer vi i kap. 12.
I den borgerliga nationalekonomin betraktar man staten som något som står över motsättningarna i samhället. Statens uppgift är, enligt den borgerliga nationalekonomin, att överbrygga och i möjligast mån minska dessa. Denna syn på staten, som en institution, där olika grupper möts och sammanjämkar sina olika intressen, bygger på antagandet att motsättningarna i samhället är av subjektiv karaktär. Genom diskussioner och ömsesidig förståelse skall man lösa dessa.
Enligt marxismen är däremot de avgörande motsättningarna i samhället objektiva klassmotsättningar, som har sin rot i produktionsförhållandena. Dessa produktionsförhållanden bildar grundvalen för samhällets juridiska och politiska överbyggnad:
"Det materiella livets produktionssätt är bestämmande för den sociala, politiska och andliga livsprocessen överhuvudtaget."[103]
Staten framträder visserligen som en samhället överordnad makt, men den är inte och kan inte vara oberoende av den grundval den vilar på. I lika hög grad som vetenskap, kultur och konst är rätten, politiken och styrelsen uttryck för de objektiva materiella förhållanden, på vilka de bygger. Det gäller om staten lika väl som om andra delar av överbyggnaden att den är avhängig av samhällets materiella produktion. Men denna produktion är inte bara produktion av materiella nyttigheter. Den är - i det nuvarande samhället - samtidigt en oavbrutet pågående reproduktion av kapitalistiska produktionsförhållanden. Det är obestridligt, att statens - regeringens, förvaltningens - verksamhet har ett "näringsliv" som sin förutsättning. Men inte vilket näringsliv som helst, utan ett kapitalistiskt näringsliv, som oavbrutet producerar mervärde och makt åt kapitalisterna. Statens existens i det kapitalistiska samhället är därför oupplösligt förbunden med kapitalisternas makt. Om det alltså gäller att "en viss tids härskande idéer var alltid blott den härskande klassens idéer",[104] så gäller det i än högre grad, att den härskande staten alltid är den härskande klassens stat.
Men staten är inte bara en del av den överbyggnad, som bestäms av det materiella produktionssättet. Den är också en särskild del av denna överbyggnad och har en särskild uppgift att fylla, som skiljer den från exempelvis vetenskap, kultur och rättsförhållanden.
Staten är en produkt av den historiska utvecklingen. Den uppkommer just när de ursprungliga sociala gemenskaperna - släkten, stammen - faller sönder och avlöses av klassamhällen med antagonistiska klassmotsättningar. Just de antagonistiska klassmotsättningarna framtvingar uppkomsten av ett instrument för att hålla dessa motsättningar i schack, för att hindra dem från att slita sönder samhället, för att garantera de bestående produktionsförhållandena lag och ordning. Av denna statens funktion följer att den måste framträda - och framställa sig själv - som något utanför och ovanför samhället och dess konkreta motsättningar. Den måste ersätta folkledarens naturliga auktoritet med "Guds nåde", med det "offentligas" och "allmännyttigas" mystiska kraft, med den abstrakta folksuveränitetens, de "gemensamma grundvärderingarnas" och de "demokratiska spelreglernas" auktoritet. Den framträder alltså som det sublimerade klassförtrycket. Här som annars tar den borgerliga samhällsvetenskapen skenet för verklighet och reproducerar troget de statliga förvaltarnas föreställningar om sig själva.
Vad staten behöver för att fylla sin uppgift är i första hand en våldsapparat för att garantera lagarnas efterlevnad och de bestående egendomsförhållandenas trygghet. Det ligger i sakens natur att denna våldsapparat handhas diktatoriskt. Polis, fängelser och försvarsstaber är aldrig demokratiska: de resonerar inte utan kommenderar. I denna mening är staten alltid en klassdiktatur, vilka formerna för styrelsens organisation än må vara. I förening med dessa våldsfunktioner utövar staten också kontrollerande funktioner genom bl.a. rättsväsendet, informationen, skol- och utbildningsväsendet. För att finansiera statsapparaten krävs ett beskattningssystem, så utformat att den kapitalistiska reproduktionen och ackumulationen inte hindras utan tvärtom underlättas. I senare stadier av kapitalismens utveckling växer statens roll till att omfatta också åtaganden på ekonomins och produktionens områden. Konsekvenserna härav ska vi diskutera i senare kapitel.
I kampen för att försvara och förbättra sina villkor möter arbetarklassen också staten som motståndare. Klasskampen blir så med nödvändighet politisk. När den politiska kampen utvecklas till en kamp om makten i samhället, blir den också en revolutionär strid mot den härskande klassens våldsapparat. Om den proletära revolutionen segrar, så slår den sönder och samman den kapitalistiska statens våldsapparat. Den ersätter den kapitalistiska diktaturen med en proletär diktatur, en diktatur avsedd att trygga revolutionens landvinningar, säkra uppbygget av socialistiska produktionsförhållanden och undertrycka de gamla utsugarklassernas motstånd. När de sista resterna av antagonistiska klassmotsättningar försvunnit har staten spelat ut sin historiska roll och kan inta en plats "i fornminnesmuseet, vid sidan av spinnrocken och bronsyxan".[105]
Vi skall i detta kapitel diskutera den s.k. reproduktionsteorin, d.v.s. vad som krävs för att i ett kapitalistiskt samhälle den efterfrågade kvantiteten varor (både varor i egentlig bemärkelse och varan arbetskraft) på lång sikt skall befinna sig i jämvikt med den producerade kvantiteten. Den långsiktiga analysen innebär att vi bortser från sådana tillfälliga variationer i den producerade kvantiteten och efterfrågan som medför att varans pris tillfälligt avviker från dess långsiktiga pris - d.v.s. från dess värde.
I framställningen kommer vi att använda oss av en s.k. tvåsektorsmodell, bestående av en konsumtionsvaruproducerande sektor och en produktionsmedelsproducerande sektor. Vi skall vidare arbeta med förutsättningen att arbetarklassen konsumerar hela sin lön.
För att kunna förstå de relationer som karaktäriserar ett kapitalistiskt samhälle är det lämpligt att inledningsvis studera ett system som period efter period befinner sig på samma aktivitetsnivå - d.v.s. där det inte förekommer någon ackumulation. Detta innebär emellertid inte att det någonsin funnits eller kommer att finnas ett sådant samhälle, utan att vi väljer att arbeta på en hög abstraktionsnivå, så att vi kan blottlägga de erforderliga villkoren för jämvikt i ett kapitalistiskt samhälle. Vi kommer därefter att arbeta oss ned på en lägre abstraktionsnivå och studera ett kapitalistiskt samhälle där ackumulation äger rum.
Avslutningsvis kommer vi i detta kapitel att jämföra aggregaten i det Marxska reproduktionschemat och aggregaten i den borgerliga ekonomiska teorin. Vi vet att ett samhälle inte kan upphöra att framställa nyttigheter. För att befinna sig på en stationär nivå måste alltid det som konsumeras ersättas av en exakt lika stor nyproduktion. Vi måste alltså ha en reproduktionsprocess. Marx uttrycker det på följande sätt:
"Vilken produktionsprocessens samhälleliga form än må vara så måste den vara kontinuerlig eller periodiskt genomlöpa samma stadier om och om igen. Lika litet som ett samhälle kan upphöra att konsumera, lika litet kan det upphöra att producera. Betraktat i sitt kontinuerliga sammanhang i ett beständigt förnyelsens flöde är varje samhällelig produktionsprocess därför tillika en reproduktionsprocess."[106]
Vi har i tidigare kapitel konstaterat att det kapitalistiska produktionsförhållandet inte karaktäriseras av att det produceras nyttigheter, inte heller av att det produceras varor utan av att det produceras mervärde. Kapitalisterna kan förbruka mervärdet på i princip två olika sätt.
(1) Förbruka hela mervärdet för sin personliga konsumtion.
(2) Köpa ytterligare arbetsmaterial, arbetsmedel och arbetskraft för att förmera mervärdet.
I första fallet talar vi om enkel reproduktion, i det andra om utvidgad reproduktion eller ackumulation.
Vid enkel reproduktion förs hela mervärdet till konsumtionsfonden.
"Tjänar denna reveny [kapitalisternas mervärde] kapitalisterna blott som en konsumtionsfond, förtärd lika periodiskt som den är skapad, så äger under i övrigt lika förhållanden enkel reproduktion rum."[107]
Mervärdet utgör inte hela konsumtionsfonden. Även arbetarklassen konsumerar. Arbetarklassens konsumtion är emellertid av dubbel natur, dels produktiv dels individuell.
Den produktiva konsumtionen utgörs av de produktionsmedel arbetaren konsumerar under sin arbetstid och vars värde han genom sitt arbete överför på andra varor. Den individuella konsumtionen utgörs av det arbetaren och hans familj konsumerar. Den är en förutsättning för arbetarens egen reproduktion. Arbetarens individuella konsumtion ingår således i konsumtionsfonden.
Marx har framställt den dubbla naturen hos arbetarklassens konsumtion på följande sätt:
"Arbetarens konsumtion är av dubbelt slag. Under producerandet konsumerar han genom sitt arbete produktionsmedel och förvandlar dem till produkter som är av högre värde än det tillskjutna kapitalet. Detta är hans produktiva konsumtion. Den är konsumtion av hans arbetskraft från kapitalistens sida, som köpt den. Å andra sidan ger arbetaren ut de för arbetskraftens köp betalda pengarna för att få livsmedel, som han behöver för att uppehålla och reproducera sig. Detta är hans individuella personliga konsumtion. Arbetarens produktion och individuella konsumtion är således alldeles skilda. Inom den ena handlar han som kapitalets motoriska kraft och tillhör kapitalisten; inom den andra tillhör han sig själv och utför individuella livsfunktioner utanför produktionsprocessen. Resultatet är i ena fallet, att kapitalisten lever, i det andra, att arbetaren själv lever."[108]
Vi kan illustrera den enkla reproduktionen med hjälp av en s.k. tvåsektorsmodell. Detta innebär att vi delar upp ekonomin i två sektorer, en där man endast producerar produktionsmedel, en där man endast producerar konsumtionsvaror. Den förra sektorn betecknar vi med I, den senare med II.
Vi kan då teckna följande samband
| (1) | I | KI | + | VI | + | MI | = | WI | |
| (2) | II | KII | + | VII | + | MII | = | WII |
där K betyder det samlade värdet av förbrukade produktionsmedel i respektive sektor, V är det samlade värdet av det variabla kapitalet i respektive sektor, M är det samlade värdet av mervärdet i respektive sektor, W är det samlade värdet av produktionen i respektive sektor.
Ovanstående samband baserar sig på två indelningsgrunder. För det första en uppdelning horisontellt baserad på varornas materiella användning, som konsumtionsvaror och som produktionsmedel. Denna indelning är allmän i den bemärkelsen att den inte hänför sig till något speciellt produktionsförhållande. För det andra en vertikal indelning av produktionen i de tre värdekomponenterna konstant kapital, variabelt kapital och mervärde. Denna indelning hänför sig till det specifika kapitalistiska produktionsförhållandet.[109]
För att villkoret för enkel reproduktion skall vara uppfyllt måste således den totala efterfrågan på konsumtionsvaror, vilken vid enkel reproduktion blir identisk med den årliga värdeprodukten - det årligen nyproducerade värdet - vara lika med konsumtionsvarusektorns totala produktion. Den totala efterfrågan på konsumtionsvaror består vid enkel reproduktion av arbetarnas individuella konsumtion - det variabla kapitalet - och kapitalägarnas konsumtion - mervärdet, d.v.s.
| (3) | VI | + | MI | + | VII | + | MII | = | WII |
Dessutom krävs att den totala efterfrågan på produktionsmedel är lika med den totala produktionen i den produktionsmedelsproducerande sektorn. Vi kan således teckna följande samband
| (4) | KI | + | KII | = | WI |
Genom att i ekvation 3 och 4 insätta sambanden i ekvation 1 och 2 erhåller vi
| (3') | VI | + | MI | + | VII | + | MII | = | KII | + | VII | + | MII | |
| (4') | KI | + | KII | = | KI | + | VI | + | MI |
Genom att i ekvation 3' reducera båda leden med (VII + MII) och i ekvation 4' reducera båda leden med KI, erhåller vi ur båda ekvationerna sambandet KII = VI + MI
Detta är den enkla reproduktionens grundläggande villkor. Dess innebörd är att värdet av det konstanta kapital, som använts vid produktionen av konsumtionsvaror, skall vara lika med värdet av vad kapitalägarna betalar till arbetarna i den produktionsmedelsproducerande sektorn samt det mervärde kapitalägarna tillägnar sig i samma sektor.
Detta villkor blir lättare att förstå om vi erinrar oss att vi har delat upp ekonomin i två sektorer; en produktionsmedelsproducerande och en konsumtionsvaruproducerande. Sektor I har då ett utbud av konstant kapital men skapar också en efterfrågan dels på konsumtionsvaror dels på konstant kapital. Sektor I kan själv ersätta det konstanta kapital som förbrukats i produktionsprocessen. Efterfrågan på konsumtionsvaror kommer dock att rikta sig mot sektor II.
Sektor II har ett utbud av konsumtionsvaror och skapar en efterfrågan dels på konsumtionsvaror dels på konstant kapital. Efterfrågan på konsumtionsvaror kommer att täckas av sektorns egen produktion, medan efterfrågan på konstant kapital kommer att rikta sig mot sektor I. För att vi skall ha jämvikt på både den produktionsmedelsproducerande marknaden och den konsumtionsvaruproducerande marknaden måste således efterfrågan från sektor I riktad mot sektor II vara lika med efterfrågan från sektor II riktad mot sektor I.
Vi skulle kunna sammanfatta den enkla reproduktionens grundläggande villkor i följande schematiska framställning.

När man studerar den enkla reproduktionen kan man få intrycket av att produktionen är inriktad på konsumtion och inte på produktion av mervärde. Den skulle således inte på något sätt karaktärisera det kapitalistiska produktionsförhållandet, där ju produktion av mervärde är det typiska. Detta är emellertid endast ett skenbart intryck då kapitalisternas konsumtion är konsumtion av mervärde, eller med Marx' ord:
"Den enkla reproduktionen är efter sakens natur riktad på konsumtion som ändamål, ehuru utvinnandet av mervärde framträder som de individuella kapitalisternas drivande motiv: men mervärdet - vilken än dess proportionella storlek är - skall slutligen här blott tjäna som kapitalistens individuella konsumtion."[110]
Det är denna reproduktionsprocess som är grundvalen för det kapitalistiska samhället. Det är ur den enkla reproduktionen vi ser hur det kapitalistiska produktionsförhållandet inte enbart leder till produktion av varor och mervärde. Det skapar också ständigt förutsättningar för sin egen upprepning genom att skilja arbetarklassen från de arbetsredskap och arbetsmaterial den använder sig av i produktionsprocessen och tvingar den därmed ständigt att sälja sig själv för att leva.
"Den kapitalistiska produktionsprocessen, betraktad i sitt sammanhang eller som reproduktionsprocess, producerar alltså inte blott vara, icke blott mervärde, den producerar och reproducerar själva kapitalförhållandet, å ena sidan kapitalisten, å den andra lönarbetaren."[111]
Som vi påpekat tidigare i detta kapitel kommer kapitalisten att vid utvidgad reproduktion använda sig av det av arbetarna producerade mervärdet på två sätt: (1) till konsumtion, (2) till köp av ytterligare konstant kapital och arbetskraft för att kunna formera även mervärdet.
För att utvidgad reproduktion skall vara möjlig måste det produceras mer konstant kapital än vad som åtgår för den enkla reproduktionen. Om detta ej sker, kan inte kapitalisterna köpa ytterligare konstant kapital i en nästföljande period och därmed utvidga sin produktionsprocess. Denna ytterligare produktion måste motsvara den del av det tidigare producerade mervärdet som kapitalisten avser att förmera i stället för att konsumera. En ytterligare förutsättning är, att det produceras mer konsumtionsvaror än vad som är erforderligt vid den enkla reproduktionen. Detta är nödvändigt för att den ytterligare arbetskraft, som kapitalisten måste köpa för att kunna förmera delar av det tidigare producerade mervärdet, skall kunna reproducera sig. Det förefaller dessutom rimligt att anta, att en ökning av den totala mervärdemassan kommer att leda till en absolut höjning av kapitalisternas privata konsumtion. Detta ställer ytterligare krav på en ökning av produktionen inom den konsumtionsvaruproducerande sektorn.
Vi skall nu, liksom vid fallet med enkel reproduktion, dela upp ekonomin i två sektorer - en produktionsmedelsproducerande och en konsumtionsvaruproducerande. Vi får då det tidigare diskuterade sambandet
| (1) | I | KI | + | VI | + | MI | = | WI | |
| (2) | II | KII | + | VII | + | MII | = | WII |
Vid utvidgad reproduktion kan mervärdet delas upp i två delar. En del används produktivt, d.v.s. till köp av ytterligare konstant kapital och arbetskraft. En del används improduktivt. d.v.s. till kapitalisternas privata konsumtion. Den sistnämnda delen av mervärdet kan i sin tur delas upp i två underavdelningar, en som motsvarar kapitalisternas tidigare konsumtionsnivå och en som motsvarar ökningen av kapitalisternas konsumtion.
Om vi använder följande beteckningar
Mc = den tidigare nivån på kapitalisternas egna privata konsumtion.
MΔc = ökningen av kapitalisternas egna privata konsumtion.
Mk = den del av mervärdet som används till köp av ytterligare konstant kapital.
Mv = den del av mervärdet som används till köp av ytterligare arbetskraft erhåller vi
| (1') | KI | + | VI | + | MIc | + | MIΔc | + | MIk | + | MIv | = | WI | |
| (2') | KII | + | VII | + | MIIc | + | MIIΔc | + | MIIk | + | MIIv | = | WII |
där
| MI | = | MIc | + | MIΔc | + | MIk | + | MIv |
| MII | = | MIIc | + | MIIΔc | + | MIIk | + | MIIv |
För att jämvikt skall råda måste efterfrågan från sektor I riktad mot sektor II vara lika stor som efterfrågan från sektor II riktad mot sektor I. Med analogt resonemang som vid enkel reproduktion kan vi teckna följande samband
| (3'') | KI | + | MIk | + | KII | + | MIIk | = | WI | |||||||||
| (4'') | VI | + | MIc | + | MIΔc | + | MIv | + | VII | + | MIIc | + | MIIΔc | + | MIIv | = | WII |
Genom att i ekvation 3'' och 4'' insätta sambanden i ekvationerna 1' och 2' samt i de så erhållna ekvationerna reducera båda leden med (KI + MIk) respektive (VII + MIIc + MIIΔc + MIIv) erhåller vi
| KII | + | MIIk | = | VI | + | MIc | + | MIΔc | + | MIv |
Detta är den utvidgade reproduktionens grundläggande villkor. Dess innebörd är att värdet av den konsumtionsvaruproducerande sektorns totala efterfrågan på produktionsmedel skall vara lika med värdet av den produktionsmedelsproducerande sektorns totala efterfrågan på konsumtionsvaror.
Antag att det inte förekommer någon ackumulation! Då använder kapitalisterna hela mervärdet till sin egna privata konsumtion. Då skulle termerna MIIk, MIΔc och MIv anta värdet noll och MIc bli identiskt med MI. Vi kan då skriva om det ovan tecknade villkoret på följande sätt KII = VI + MI vilket vi känner igen som det grundläggande villkoret för enkel reproduktion. Detta är på intet sätt förvånande då just frånvaron av ackumulation är det kännetecknande för den enkla reproduktionsprocessen.
Vi kan på analogt sätt som vid enkel reproduktion presentera den utvidgade reproduktionens grundläggande villkor i schematisk form.

Vi har alltså funnit att både vid enkel och utvidgad reproduktion måste värdet av sektor I:s köp från sektor II samt sektor II:s köp från sektor I vara lika. Finns det då något i det kapitalistiska produktionsförhållandet som garanterar en sådan jämvikt. Nej, knappast! I ett kapitalistiskt samhälle kommer pengarna att skilja sektor I:s köp från sektor II:s, vilket innebär att det inte finns något i och för sig som garanterar att de två sektorernas köp från varandra kommer att bli ekvivalenta. Denna irrationalitet i det kapitalistiska produktionsförhållandet uttrycker Marx på följande sätt:
"Men såvitt blott ensidiga omsättningar försiggår, en massa blotta köp å ena sidan, en massa blotta försäljningar å andra sidan - och vi har sett, att den årliga produktens normala omsättning å kapitalistisk grundval betingar dessa ensidiga metamorfoser - är jämvikten blott för handen under det antagandet, att värdebeloppet för de ensidiga köpen och värdebeloppet för de ensidiga försäljningarna täcka varandra. Det faktum, att varuproduktionen är den kapitalistiska produktionens allmänna form, innesluter redan den roll, som penningen spelar icke blott som cirkulationsmedel utan ock som penningkapital i densamma och frambringar vissa för detta produktionssätt egendomliga betingelser för den normala omsättningens, alltså för det normala förloppet av reproduktionen, vare sig i enkel eller utvidgad skala, vilka slå om i likaså många betingelser för det icke normala förloppet, i möjligheter till kriser, då jämvikt - vid den spontana gestaltningen av denna produktion - själv är en tillfällighet."[112]
Det brukar inte alltför sällan hävdas att problemet med att jämföra olika aggregat endast är ett definitionsproblem. En typ av aggregat kan alltid, genom att beakta de skilda definitionerna, översättas till en annan. Detta är emellertid i stora stycken felaktigt, då en viss typ av aggregat kommer att fästa uppmärksamheten på en viss problemställning och bortse från andra. Val av aggregat är därför ett medvetet val av problemställning.
Marx' aggregeringsprincip består som vi ovan påpekat av två delmoment. Å ena sidan arbetar han som regel med en tvåsektormodell, en sektor som enbart producerar konsumtionsvaror och en produktionsmedelsproducerande sektor. Detta är en uppdelning härledd ur produktionsresultatets materiella användande. Å andra sidan delar Marx in varans värde i tre beståndsdelar, konstant kapital (k), variabelt kapital (v) samt mervärde (m).
Medan den förstnämnda indelningsgrunden är av allmän natur, d.v.s. gäller oavsett vilket produktionsförhållande som råder, är den andra specifik för det kapitalistiska produktionsförhållandet. Marx' frågeställning var "hur uppstår profit?", "vad är det karaktäristiska för det kapitalistiska produktionsförhållandet?" samt "vilka immanenta lagar finns i det kapitalistiska systemet?". Det var för att kunna besvara dessa frågeställningar han valde den aggregeringsprincip vi ovan relaterat.
Det bör i detta sammanhang påpekas att den polske ekonomen M. Kalecki utifrån den marxska aggregeringsprincipen redan år 1933,[113] d.v.s. före J. M. Keynes publicerade sin "General Theory", formulerade en konjunkturteori baserad på förändringar i profitens storlek, där investeringsvolymen och multiplikatoreffekten blir avgörande för nationalinkomstens jämviktsläge.
Den borgerliga nationalekonomins aggregeringsprincip utgår ifrån strävan att skapa "neutrala" aggregat, d.v.s. aggregat som inte beaktar det specifika i det rådande produktionsförhållandet. De speciella relationer mellan aggregaten, som kan härledas ur det kapitalistiska produktionsförhållandet, döljer man i sina funktionsuttryck. Man arbetar med begrepp som konsumtionsfunktion, investeringsfunktion, olika typer av preferensfunktioner o.s.v. Genom att sedan använda sig av begrepp som "benägenhet" och "preferenser" ger man sken av att aggregatens förhållanden till varandra, vilka man förklarar utifrån olika psykologiska och fysiska "lagar" och relaterar till den enskilde individen istället för till samhällsklasser, bestäms utanför de ekonomiska processer man vill använda dem till att förklara. Den borgerliga nationalekonomin utgår ifrån att människans beteende är oberoende av den ekonomiska och sociala miljö hon verkar i. Detta gör att den inte kan förklara kapitalismens utveckling på ett vetenskapligt sätt. Strävan efter "neutralitet" i kombination med en odialektisk metod leder med nödvändighet till att den borgerliga nationalekonomin kommer att försvara det kapitalistiska produktionsförhållandet, då man med sin aggregeringsprincip och metod inte är i stånd att förstå kapitalismens effekter på arbetarklassen respektive kapitalisterna.
I föregående kapitel behandlade vi bl.a. den utvidgade reproduktionen. Vi studerade villkoren för att ekonomin skulle befinna sig i jämvikt när det pågår en ackumulationsprocess - en process där kapitalet växer och anhopas. I detta kapitel avser vi att behandla själva ackumulationsprocessen och därvid studera dels varför det sker en dylik process i ett kapitalistiskt samhälle, dels dess effekter på arbetarklassen respektive kapitalisterna. Därvid skall vi bl.a. behandla den s.k. utarmningsteorin och även kortfattat diskutera de borgerliga vulgärekonomernas syn på denna teori.
Innan vi går in på en närmare diskussion om själva ackumulationsprocessen är det emellertid nödvändigt att lite närmare diskutera ackumulationens ursprung, dels sådant det mer eller mindre explicit framställs i den borgerliga nationalekonomin, dels sådant det faktiskt är.
Om man som den borgerliga nationalekonomin anlägger ett helt ohistoriskt betraktelsesätt på det kapitalistiska samhället, kommer man att uppfatta ackumulationsprocessen som en ständigt sig upprepande process, där man varken kan skönja början eller slut. För att ändå förklara ackumulationens uppkomst antar man istället att det existerat en "ursprunglig ackumulation". Denna skulle inte vara ett resultat av ett kapitalistiskt produktionsförhållande utan dess utgångspunkt.
Denna, den kapitalistiska produktionens utgångspunkt förklaras genom att berättas som en anekdot ur det förgångna.
I en mycket avlägsen tid fanns det å ena sidan flitiga, intelligenta, sparsamma människor med en förmåga att organisera sitt arbete. Dessa människor karaktäriserades vidare av en inneboende vilja till risktagande. Å andra sidan fanns den stora massan av människor, som var lata och slösaktiga. Dessa slösade bort allt de hade och mer därtill. Så småningom blev dessa människor totalt utarmade och blev tvungna att sälja sig själva för att kunna överleva. Så kom det sig att de flitiga och riskvilliga började ackumulera rikedom medan den stora massan generation efter generation blev tvungen att leva i armod. De hade ju sig själva att skylla! Emellertid kunde de slippa dö av svält, ty de rika gav dem arbete - och blev på så sätt arbetsgivare. Massan av folket tog tacksamt emot denna gåva från de rika och blev på så sätt arbetstagare.[114]
Marx drar parallellen mellan den borgerliga nationalekonomins syn på den s.k. ursprungliga ackumulationen och teologernas syn på syndafallet. Han kommenterar historien om "det ekonomiska syndafallet" på följande sätt:
"I den verkliga historien spelar som bekant erövringen, underkuvandet, rånmord, kort sagt, våldet den stora rollen. Inom den fårfromma politiska ekonomin har av ålder idyllen härskat. Rätten och 'arbetet' vore av ålder de enda medlen att bli rik, naturligtvis varje gång med undantag för 'detta år'. I själva verket är den ursprungliga ackumulationens metoder allt annat än idylliska."[115]
Endast genom att anlägga ett historiskt betraktelsesätt på det kapitalistiska samhället kan vi förklara dess ursprung och verklighet.[116] I kapitel 6 visade vi hur det kapitalistiska samhället utvecklades ur det feodala. Upplösningen av det feodala samhället, vilken var ett resultat av produktivkrafternas utveckling, var en förutsättning för kapitalismens framväxt. Det grundläggande i denna process var de omedelbara producenternas skiljande från produktionsmedlen. Därmed möjliggjordes uppkomsten av "fria" arbetare. "Fria" i den dubbla bemärkelsen att de varken hörde omedelbart ihop med de produktionsmedel som de brukar eller att produktionsmedlen tillhör arbetarna. På detta sätt skilde sig de "fria" arbetarna både från slaven eller den livegne och den självägande bonden. Dessa "fria" arbetare blev försäljare av sin arbetskraft.
"Den s.k. ursprungliga ackumulationen är alltså ingenting annat än den historiska skilsmässoprocessen mellan producent och produktionsmedel. Den framstår som 'ursprunglig' emedan den utgör kapitalets och det däremot svarande produktionssättets förhistoria."[117]
Att de borgerliga ekonomerna inte kan förklara kapitalismens uppkomst bekymrar dem inte nämnvärt, då de inte är intresserade av att ge en förklaring. En förklaring av kapitalismens uppkomst skulle innebära ett erkännande av att kapitalismen utgör ett specifikt samhällsförhållande, ett särskilt skede i samhällsutvecklingen. Ett historiskt perspektiv på kapitalismen framtvingar ett ställningstagande inte bara till kapitalismens uppkomst utan också till frågan om dess framtida öde. Denna brist på historiskt perspektiv är betecknande för de borgerliga "samhällsvetenskaperna".
Vi konstaterade i föregående kapitel att ackumulationsprocessen avser en process där mervärdet förvandlas till kapital. Detta sker genom att mervärdet i form av konstant och variabelt kapital återinträder i produktionsprocessen. En förutsättning för detta återinträde är att kapitalisten efter produktionsprocessens avslutande, d.v.s. när produktionsmedlen förvandlats till varor vars värde överstiger värdet på det ursprungligen tillskjutna kapitalet, kan realisera det producerade mervärdet. Varorna måste alltså säljas i cirkulationssfären för att förvandlas till pengar. Dessa pengar kan sedan användas av kapitalisten till att köpa nytt konstant och variabelt kapital.
"Den första betingelse för ackumulationen är, att kapitalisten lyckas sälja sina varor och förvandla största delen av de sålunda erhållna pengarna till kapital igen."[118]
För att mervärdet skall kunna förvandlas till kapital måste en del av merprodukten, d.v.s. den del av årsproduktionen som inte utgör ersättning för under året förbrukat konstant och variabelt kapital, anta formen av produktionsmedel och konsumtionsvaror för arbetarklassen.
"Med ett ord: mervärdet kan förvandlas till kapital endast därigenom, att merprodukten, vars värde den utgör, redan innehåller de materiella beståndsdelarna av ett nytt kapital."[119]
För att denna merprodukts beståndsdelar faktiskt skall kunna fungera som kapital krävs att det finns ett tillskott av arbete. Detta tillskott kan uppstå antingen genom en hårdare exploatering av den redan köpta arbetskraften eller genom att kapitalisterna köper ytterligare arbetskraft. Man kan naturligtvis även tänka sig en kombination av dessa två metoder. Problemet med tillskott av arbete har det kapitalistiska produktionsförhållandet löst genom att skapa ett överskott av arbetskraft, eller en industriell reservarmé.
Vi kan nu konstatera att vad som krävs för att ackumulationsprocessen skall kunna komma till stånd är:
(1) Att kapitalisten kan realisera sina varor i cirkulationssfären och på så sätt förvandla mervärdet till pengar.
(2) Att merprodukten innehåller de materiella beståndsdelarna som är nödvändiga för produktionsprocessen.
(3) Att det finns tillskottsarbetskraft, d.v.s. att det skapas en industriell reservarmé.
Kapitalets kretslopp
P - V - P'
är objektivt sett en värdeförmeringsprocess, då P' motsvarar en större mängd abstrakt arbete än P. Denna objektiva karaktär kommer att avspeglas i kapitalistens subjektiva agerande. Den kapitalist som upphör att ackumulera - att värdeförmera - den kommer också genom konkurrensen att slås ut av övriga kapitalister. Kapitalisten kommer att upphöra att vara kapitalist. Härav får man inte dra slutsatsen att kapitalisterna är ett speciellt girigt släkte. Deras subjektiva agerande som pådrivare i värdeförmeringsprocessen beror på deras roll i den kapitalistiska produktionsprocessen. Eller med Marx egna ord:
"Blott som personifierat kapital är kapitalisten respektabel. I denna egenskap delar han med skattbildaren den absoluta driften till rikedom. Men det som hos den senare framstår som en individuell mani, är hos kapitalisten en verkan av samhällsmekanismen, däri han blott är ett kugghjul.
Den kapitalistiska produktionens utveckling gör, att oupphörlig stegring av det i ett industriföretag placerade kapitalet blir en nödvändighet och konkurrensen pålägger varje individuell kapitalist det kapitalistiska produktionssättets immanenta lagar såsom yttre tvångslagar. Han tillåts inte att bevara sitt kapital utan att permanent förstora det, och det kan endast ske genom fortsatt ackumulation."[120]
Denna strävan efter att tillägna sig en allt större mervärdemassa får som resultat en ständigt utvidgad produktion. Parallellt med denna produktionsökning sker en utveckling av det samhälleliga arbetets produktivitet, som möjliggörs genom införande av nya produktionsmetoder med tillhörande organiserad arbetsdelning och arbetskombination. Utvecklingen av arbetets produktivitet leder till att förhållandet mellan mängden använda produktionsmedel och den för dess användning erforderliga arbetskraften kommer att öka, d.v.s. den grad i vilken produktionsmedlen är sysslomedel för arbetskraften kommer att minska. Detta kallar vi för att kapitalets tekniska sammansättning kommer att stiga.
Stegringen av kapitalets tekniska sammansättning innebär, att den mängd produktionsmedel en arbetare under en given tidsperiod kommer att förvandla till varor kommer att öka. Det variabla kapitalets värdestorlek tenderar således att avta i relation till det konstanta. Detta innebär att det konstanta kapitalets andel av totalkapitalet - kvoten k / (k+v) - kommer att stiga. Detta kallar vi för att kapitalets organiska sammansättning kommer att stiga.
Vi kan konstatera att ackumulationsprocessen innebär att varje enskild kapitalists totalkapital kommer att växa. Denna anhopning av kapital kallas för kapitalets koncentration.
"Med den ökade massan av den som kapital fungerande rikedomen utvidgar den dess koncentration i händerna på individuella kapitalister och därmed grundvalen för produktionen i stor skala och de specifikt kapitalistiska produktionsmetoderna. Det samhälleliga kapitalets tillväxt fullbordas av tillväxten av många individuella kapital."[121]
Parallellt med kapitalets koncentration uppstår tendenser till ökad splittring av kapitalet. Denna splittring kan komma att ske genom att t.ex. kompanjoner separerar, kapitalet splittras på flera händer genom dödsfall o.dyl.
Ackumulationsprocessen får alltså som konsekvens både en koncentration av kapital i den enskilde kapitalistens händer och en tendens till en utökning av antalet kapitalister.
"Detta splittrande av det samhälleliga totalkapitalet i många individuella kapital eller repulsionen mellan deras delar motverkas av deras attraktion."[122]
Denna attraktion är inte en effekt av själva ackumulationsprocessen, utan en sammanslagning av redan existerande kapital i allt färre kapitalisters händer. Denna kapitalisternas expropriation av varandra kallas för kapitalets centralisation. Centralisationsprocessen kan härledas dels ur vad som brukar kallas för stordriftsfördelar, dels ur investeringarnas odelbarhet - det krävs en viss tekniskt bestämd minimistorlek på investeringarna för att dessa skall bli meningsfulla - samt dels ur kreditväsendets framväxt.
I Kapitalet utvecklar inte Marx närmare lagarna för kapitalets centralisation utan nöjer sig med att antyda de ovan nämnda orsakerna till centralisation. Så skriver han:
"Konkurrenskampen förs genom varornas förbilligande. Varornas billighet beror under i övrigt lika förhållanden på arbetets produktivitet men denna på produktionens skala. De större kapitalen slår därför de mindre [stordriftsfördelar]. Man erinrar sig vidare, att med det kapitalistiska produktionssättets utveckling minimiomfattningen växer på det individuella kapital, som krävs för att bedriva ett företag under dess normala betingelser [odelbarhet]."[123]
Kreditväsendets betydelse för kapitalets centralisation beskriver Marx bl.a. på följande sätt:
"Bortsett härifrån utbildas med den kapitalistiska produktionen en alldeles ny makt, kreditväsendet. /.../ Snart blir det emellertid ett nytt och fruktansvärt vapen i konkurrenskampen och förvandlas slutligen till en oerhörd social mekanism för kapitalets centralisation."[124]
Konkurrensen och kreditväsendets framväxt är således de två avgörande faktorerna för kapitalets centralisation. Resultatet av centralisationsprocessen kommer att bli monopolets framväxt. Konkurrenskapitalismen övergår i ett monopolkapitalistiskt stadium. Att Sverige genomgått en dylik utveckling verifieras av bl.a. den 1968 framlagda Koncentrationsutredningen.[125] Man konstaterar bl.a.
"Koncentrationen till ett litet antal privata storföretagare är således avsevärd. /.../ Koncentrationsgraden [innebär här både koncentration och centralisation] har således ökat märkbart under den gångna 20-årsperioden."[126]
Vi har således två samtidigt verkande krafter - koncentrationen och centralisationen - vilka båda möjliggör en kapitalistisk produktion i allt större skala. Kapitalismen har genomgått en utvecklingsprocess från isolerade och på traditionellt sätt bedrivna produktionsprocesser till samhälleligt kombinerade och reglerade. Utvecklingen har medfört att kapitalets tekniska sammansättning har ökat. Därmed har också dess organiska sammansättning ökat. Vi har kunnat iakttaga en process där det konstanta kapitalet har växt i relation till det variabla. Därmed har det uppstått en minskning av den relativa efterfrågan på arbetskraft. Denna minskning ger upphov till ett relativt överskott på arbetskraft. Men detta överskott, som är ett resultat av kapitalets koncentration och centralisation, blir en existensbetingelse för det kapitalistiska produktionsförhållandet. Överskottet av arbetskraft kommer att garantera att kapitalisterna kan utvidga sin produktion utan att därför behöva betala ett högre pris för arbetskraften.
Konkurrensen inom de olika branscherna tvingar den enskilda kapitalisten att ständigt förbättra produktionsmetoderna genom att utnyttja det tekniska framåtskridandet och införliva allt mer avancerade maskiner i produktionsprocessen. Härigenom kommer den organiska sammansättningen av kapitalet att öka och den relativa efterfrågan på arbetskraft att minska.
Kapitalets ackumulation tenderar tillsammans med dess centralisation att reducera antalet sysselsatta arbetare i relation till totalkapitalet. Samtidigt tenderar samma krafter att genom proletariseringen av främst "småborgarna" utöka proletariatet. På så sätt uppstår och hålls vid liv den industriella reservarmén i ett kapitalistiskt samhälle.
Denna utveckling har beskrivits av Marx på följande sätt:
"Med det samlade kapitalets tillväxt växer visserligen även det variabla kapitalet och därmed även den arbetskraft, som det representerar, men i ständigt avtagande proportion. /.../ Denna relativa minskning av det variabla kapitalet, som sker ännu snabbare än totalkapitalets egen tillväxt, ger det intrycket att arbetarnas antal ökar fortare än det variabla kapitalet eller de medel, varmed de kan sättas i arbete. I verkligheten är det tvärtom den kapitalistiska ackumulationen, som oavbrutet framtvingar en relativ överbefolkning, vars storlek är beroende av kapitalets egen omfattning, tillväxt och energi, ett arbetsöverskott, som är obehövligt för kapitalets genomsnittliga exploateringsbehov."[127]
Vi har tidigare kunnat konstatera att den industriella reservarmén är ett resultat av kapitalets koncentration och centralisation. Men dessa processer är i sin tur beroende av arbetets produktivitet. Det är alltså arbetarklassen som under det kapitalistiska produktionsförhållandet producerar medlen för sin egen överbefolkning. Detta är vad Marx har kallat för "det kapitalistiska produktionssättets egenartade befolkningslag."[128]
Vi kan illustrera den industriella reservarméns uppkomst och relation till produktionsprocessen i övrigt med följande schematiska framställning.[129]

I den övre boxen finner vi den sysselsatta delen av arbetarklassen. Tillskottet till denna del representeras av strömmarna A och D. A utgörs av dem som inträder på arbetsmarknaden och där lyckas sälja sin arbetskraft till kapitalisterna. Det är dels proletariserade småborgare, dels barn ur arbetarklassen som nått en sådan ålder att de uppträder som arbetskraftsförsäljare. D utgörs av dem ur reservarmén - tidigare arbetslösa - som kapitalisterna får användning för i produktionsprocessen.
Den sysselsatta delen av arbetarklassen kommer å andra sidan att reduceras genom strömmarna F och C. F utgörs av dem, som av ålder, sjukdom, yrkesskador eller död tvingas lämna produktionsprocessen. C utgörs av dem, som blir arbetslösa och kastas ner i reservarmén.
Strömmen B utgörs av dem, som inträder på arbetsmarknaden men där inte lyckas sälja sin arbetskraft och alltså går direkt till reservarmén. Strömmen E slutligen utgörs av dem, som tillhör reservarmén och av olika skäl lämnar denna utan att inträda i produktionsprocessen.
I läroböcker i ämnet nationalekonomi kan man ofta läsa att efterkrigstidens Sverige kännetecknas av att vi haft i det närmaste full sysselsättning. Så skriver t.ex. Assar Lindbeck
"... men Sverige var, tillsammans med Storbritannien, ett av de länder som först nådde en situation med nära nog permanent full sysselsättning."[130]
Marx teori om att kapitalismen föder en industriell reservarmé, vilken blir en förutsättning för det kapitalistiska produktionsförhållandets existens, skulle således vara felaktig. Det vore därför angeläget att studera hur den s.k. fulla sysselsättningens politik bedrivits och dess faktiska effekter på den svenska arbetarklassen. Emellertid får vi här nöja oss med några kommentarer.
För det första har vi under hela efterkrigstiden haft en stor reservarmé bestående av kvinnliga arbetare. Vid en högkonjunktur har dessa köpts av kapitalisterna för användning i produktionsprocessen. När sedan konjunkturerna avmattats har dessa kvinnliga arbetare till stor del kastats ut ur produktionsprocessen och på så sätt åter hamnat i reservarmén. Då flertalet av de kvinnliga arbetarna av olika skäl inte har registrerats som arbetslösa, kan man fortfarande upprätthålla skenet av full sysselsättning trots en växande reservarmé av kvinnliga arbetare.
För det andra befinner sig en stor del av reservarmén under s.k. omskolning, vilket inte registreras som arbetslöshet. Omskolningens funktion är att se till att arbetarklassen ständigt utbildas så att den blir användbar för kapitalisterna i produktionsprocessen. Omskolningen brukar ofta kombineras med omflyttning. Man sänder i väg arbetare dit kapitalisterna har mest användning för dem, vilket är det samma som där arbetarna bäst förmerar kapitalistens kapital, d.v.s. där de producerar mest mervärde. Detta innebär att omflyttningsverksamhetens direkta innebörd är att öka utsugningen av arbetarklassen.
Då den kapitalistiska staten i dag ger kapitalisterna denna service - att tillhandahålla den typ av arbetskraft och på den ort som bäst passar kapitalisten - är det inte nödvändigt att reservarméns kvantitet är lika stor som under tidigare perioder. I Sverige är det i dag i det närmaste tillräckligt att ha ett reservarméreservat i Norrland, varifrån staten kan distribuera arbetskraften till de olika kapitalisterna i övriga Sverige.
För det tredje används immigrationen som ett medel för att tillhandahålla kapitalisterna arbetskraft. Under uppåtgående konjunkturer sänder staten sina uppköpare till främst de sydeuropeiska länderna för att där skaffa den arbetskraft som de svenska kapitalisterna är i behov av. När sedan konjunkturerna börjar gå ned, inför man i det närmaste inreseförbud för den sydeuropeiska arbetskraften, då den inte längre kan användas av kapitalisterna i deras profitjakt.
För det fjärde har vi gruppen äldre arbetskraft. Även dessa utgör en del av reservarmén. Vid en högkonjunktur har kapitalisterna användning för denna kategori arbetskraft och behåller den i produktionsprocessen. När sedan konjunkturavmattningen inträder kastas dessa ut ur produktionsprocessen. För att inte sysselsättningsstatistiken skall avslöja kapitalismens sanna karaktär förtidspensioneras den äldre arbetskraften, som kanske bara någon månad tidigare var fullt användbar för kapitalisterna. På detta sätt försvinner den äldre arbetskraften ur arbetslöshetsstatistiken.
Flera exempel skulle kunna anföras, men vi tror att de ovan givna fullt tillräckligt belyser att det i Sverige även i dag existerar en industriell reservarmé, vilken utgör ett existensvillkor för kapitalismen. Talet om full sysselsättning är således ingenting annat än ett utslag för den borgerliga nationalekonomins klasskaraktär.
Den industriella reservarmén kommer att inta en central roll vid bestämningen av arbetskraftens pris - lönen.
Vid en konjunkturuppgång kommer ackumulationsprocessen att tillta i intensitet. Därmed kommer även efterfrågan på arbetskraft - d.v.s. det variabla kapitalets absoluta storlek - att öka. Vi kan då även få en temporär stegring av arbetskraftens pris. Men själva existensen av en industriell reservarmé kommer att möjliggöra för kapitalisterna att köpa ytterligare arbetskraft (D i fig 8:1) för att på så sätt pressa lönen så att den åter motsvarar arbetskraftens värde - dess reproduktionskostnad. Under en nedåtgående konjunktur kommer allt fler arbetare att kastas ut från produktionsprocessen till reservarmén (C i fig 8:1). Den stigande massan arbetslösa inom den industriella reservarmén kommer att utöva ett allt större tryck på de inom arbetarklassen som lyckats sälja sig till kapitalisterna. Detta tryck kan komma att leda till att lönen kommer att understiga arbetarens reproduktionskostnad. När sedan konjunkturerna börjar gå upp igen kommer lönen att åter stiga så att den motsvarar arbetskraftens värde.
"Den relativa överbefolkningen är alltså grundvalen, på vilken lagen om tillgång och efterfrågan på arbete rör sig. Den begränsar spelrummet för denna lag inom gränser som absolut passar kapitalets utsugningsbegär och härsklystnad."[131]
Existensen av en industriell reservarmé kommer att medföra att arbetarklassens läge i relation till vad den producerar ständigt kommer att försämras. Detta sker oavsett om arbetarens reproduktionskostnad och därmed hans lön har stigit eller inte, då ackumulationsprocessen förstärkt och kombinerad med kapitalets centralisation medför en ökad anhopning av rikedom hos kapitalisterna och ett ständigt försämrat läge för arbetarklassen. Vi har en utarmning av arbetarklassen.
Arbetarklassens utarmning äger ständigt rum i ett kapitalistiskt samhälle. Reallönen kan vara oförändrad, den kan t.o.m. stiga - under kapitalismen kommer inte desto mindre arbetslönen att falla i relation till kapitalisternas profit. Detta är endast ett uttryck för de i det kapitalistiska produktionsförhållandet inneboende lagarna.
"Till och med den gynnsammaste situationen för arbetarklassen, snabbast möjliga tillväxt av kapitalet upphäver inte - hur mycket den än må förbättra arbetarens materiella liv - motsättningen mellan hans intressen och bourgeoisiintressena, kapitalistens intresse. Profit och arbetslön står nu liksom tidigare i omvänt förhållande till varandra.
Om kapitalet befinner sig i snabb tillväxt, så kan arbetslönen stiga; kapitalets profit växer dock oproportionerligt mycket snabbare. Arbetarens materiella läge har förbättrats men på bekostnad av hans samhälleliga läge. Den samhälleliga klyfta, som skiljer honom från kapitalisten, har blivit större."[132]
Den av Marx skisserade utvecklingen för arbetarklassen i ett kapitalistiskt samhälle har vi bl.a. kunnat konstatera i Sverige. I en av Industrins Utredningsinstitut publicerad utredning om löneandelens utveckling i Sverige konstaterar man att lönarbetarnas andel av nationalinkomsten minskat alltsedan 1870.[133] Medan löneandelen av industrins produktion då var c:a 60 % hade den 1950 sjunkit till c:a 47 %.
Utredningen konstaterar att löneandelen uppvisat smärre fluktuationer men ger följande sammanfattning om förändringen av arbetarklassens allmänna läge under den undersökta perioden.
"Den tekniska utvecklingen inom industrin synes därför ha haft en utpräglat arbetsbesparande inriktning och effekten därav har varit stark nog att inte bara neutralisera de från arbetskraftens synpunkt positiva effekterna av kapitaltillväxten. Nettoresultatet har blivit en icke obetydlig omfördelning av inkomsterna till arbetskraftens nackdel."[134]
Ytterligare ett exempel på att arbetarklassen i Sverige ständigt genomgår en ökad utarmning utgör det faktum att arbetarklassens sparande är i det närmaste obefintligt, trots den växande anhopningen av kapital. Om det vore så, att arbetarklassens andel av den ständigt stigande nationalprodukten inte skulle minska, utan tvärtom öka, så skulle ju även arbetarklassen ha möjlighet att spara en ökad andel av sin inkomst. Så är emellertid inte fallet! I stället ökar kapitalisternas "sparande", d.v.s. den del av mervärdet som de åter inför i produktionsprocessen för att det ytterligare skall förmeras. Så skriver t.ex. Per Holmberg:
"Hittills har det i Sverige och andra länder med kapitalistiskt ekonomiskt system varit så att löntagarnas sparande varit litet, de enskilda företagarnas ganska stort och de juridiska personernas mycket stort."[135]
Till gruppen juridiska personer räknas bl.a. samtliga aktiebolag. Vi kan alltså slå fast att arbetarklassens utarmning - i den mening vi här givit den - är ett påtagligt faktum i dagens Sverige.
En diskussion om Marx' lag om arbetarklassens utarmning måste ha två utgångspunkter. Den ena är huruvida lagen i sin generella och abstrakta form står i överensstämmelse med den allmänna analysen av den kapitalistiska produktionsprocessens utvecklingstendenser. Den andra utgångspunkten är huruvida lagen beskriver det faktiska historiska skeendet, d.v.s. huruvida den är en prognos rörande det faktiska utvecklingsförloppet under kapitalismen.
För att kunna besvara den första frågeställningen måste vi använda oss av samma abstraktionsnivå som Marx använder sig av. Vi har ovan visat att kapitalisterna strävar efter att tillägna sig en så stor mervärdemassa som möjligt. Detta kommer att resultera i en utvidgning av produktionen. Konkurrensen tvingar kapitalisterna att införa nya produktionsmedel som ökar arbetets produktivitet och därmed åstadkommer en stegring av totalkapitalets organiska sammansättning. Vi visade även ovan hur denna stegring av den organiska sammansättningen leder till uppkomsten av en industriell reservarmé. Reservarméns existens möjliggör för kapitalisterna att ständigt pressa ned priset på arbetskraften. Vi kan således konstatera att ackumulationsprocessen i sig innefattar en tendens till att pressa ned arbetskraftens pris. En ökning av arbetets produktivitet innesluter således en tendens till en utarmning av arbetarklassen.
När vi skall undersöka huruvida lagen om arbetarklassens utarmning beskriver det faktiska skeendet måste vi lämna den abstraktionsnivå vi använde oss av vid diskussionen ovan. Det vore oriktigt att testa Marx' lag i dess abstrakta form mot det faktiska skeendet. I stället måste vi studera hur Marx utifrån lagens abstrakta form formulerar en teori om löneutveckling under kapitalismen. Han hävdade att arbetarklassen, även vid en absolut ökning av reallönen, skulle utsättas för en relativ utarmning. Vi har ovan visat att den faktiska löneutvecklingen för den svenska arbetarklassen också inneburit, att även om dess absoluta läge har förbättrats, så har den samhälleliga klyftan mellan arbetarklassen och kapitalisterna ökat.
I diskussionen om giltigheten av Marx' lag om arbetarklassens utarmning har det som argument mot denna anförts att Marx inte själv trodde att arbetarklassens absoluta läge skulle komma att förbättras. Så skriver t.ex. R. L. Meek:
"Frågan som måste behandlas är emellertid om Marx väntade sig att en väsentlig stegring i den genomsnittliga reallönen skulle äga rum."[136]
Men en sådan ansats är i själva verket inte särskilt intressant. Frågan måste vara huruvida Marx' lag om arbetarklassens utarmning står i överensstämmelse med de i det kapitalistiska systemet faktiskt verkande ekonomiska lagarna eller ej och inte vad Marx som person trodde skulle inträffa.
Utarmningsteorin är kanske den del av marxismens politiska ekonomi, som blivit mest diskuterad. Vi kan här skilja mellan två slag av diskussion och kritik. Å ena sidan har vi den typ av kritik, som vi ovan delvis redovisat, och som präglas av försök att seriöst behandla problemet och vidareutveckla teorin. Å andra sidan möter vi en typ av kritik, som mindre sysslar med teorin såsom den framställs hos Marx och mer med kritikernas egna föreställningar om denna teori. En värdig företrädare för den senare typen av kritik är Bertil Ohlin, som i en artikel om marxismen i Dagens Nyheter bl.a. skriver: "I stället förutsade han [Marx] att de stora obesuttna massorna skulle bli allt fattigare och fattigare. Reallönen skulle sjunka."
Karaktären av detta påstående kan belysas av den diskussion vi tidigare fört. Vi sammanfattar den i tre punkter.
(1) Marx konstaterade att det i det kapitalistiska systemet fanns en tendens att pressa ner lönerna och öka utsugningen. Men han förväxlade aldrig konstaterandet av denna tendens med en prognosticering av den konkreta historiska utvecklingen.
(2) Det finns inte hos Marx någon uttalad förutsägelse om att reallönen skulle sjunka.
(3) Det finns däremot uttalanden av Marx, som säger, att det sannolikt inte är möjligt för arbetarna att genom lönekamp förbättra sin relativa ställning. Tillgängligt statistiskt material bestyrker detta antagande.
Vi finner alltså att Ohlin - i likhet med legioner av andra borgerliga Marx-kritiker - polemiserar inte mot Marx' ekonomiska teori utan mot sin egen föreställning om denna teori. När därför Ohlin avslutar sin polemik med följande belåtna konstaterande: "Nog finns det grund för stor skepsis mot en samhällsteori, som leder till så hel tokiga idéer.",[137] så har han naturligtvis helt rätt. Det är bara det att Marx inte kan göras ansvarig för de heltokiga idéer, som regelbundet uppstår hos hans borgerliga kritiker.
Vi har tidigare kunnat konstatera att kapitalismens historiska uppgift är att under en viss period utveckla produktivkrafterna. Drivkraften i denna utveckling är det tekniska framåtskridandet, vilket under kapitalismen blir ett livsvillkor framtvingat av kapitalisternas jakt efter profit.
Produktivkrafterna kommer så småningom att nå ett stadium, då det kapitalistiska produktionsförhållandet utgör en hämsko på produktivkrafternas fortsatta utveckling. Det rådande produktionsförhållandet måste ersättas med ett som bättre svarar mot produktivkrafternas utvecklingsnivå och som tillåter dessa att vidare utvecklas.
Produktivkrafternas utveckling kommer att medföra en skärpning av de i kapitalismen inneboende motsättningarna, vilket kommer att ta sig uttryck i bl.a.
(1) profitkvotens tendentiella fall,
(2) ständigt återkommande kriser.
Vi skall i detta kapitel återge Marx' framställning av lagen om profitkvotens tendentiella fall såsom den möter oss i första hand i Kapitalets tredje band. I samband med denna framställning skall vi även ta upp en del av den diskussion som förts med anledning av denna lag.
Alltefter som den kapitalistiska produktionsprocessen utvecklas kommer totalkapitalets organiska sammansättning att stiga, då det nytillförda kapitalet har en högre teknisk sammansättning än det i produktionsprocessen befintliga kapitalet. Vi visade i föregående kapitel hur denna utveckling kunde härledas ur de krafter som verkar under kapitalismen.
Marx' lag om profitkvotens tendentiella fall kan illustreras på följande sätt.
Vi har tidigare definierat profitkvoten (p') som mervärdemassan i relation till det av kapitalisten investerade totalkapitalet, d.v.s.
p' = m / (k+v)
Kapitalets organiska sammansättning (q) är det konstanta kapitalet i relation till det totala kapitalet. Alltså
q = k / (k+v)
Relationen mellan profitkvot, mervärdekvot och organisk sammansättning kan då härledas enligt följande

Vi har alltså sambandet[138]
p' = m'(1-q)
Av ovanstående relation framgår, att när vid given mervärdekvot totalkapitalets organiska sammansättning stiger, så kommer profitkvoten att falla. En ökning av den organiska sammansättningen är alltså i sig en faktor som leder till en fallande profitkvot.
Vi har tidigare kunnat konstatera att den tekniska sammansättningen av totalkapitalet kommer att stiga under kapitalismen.[139] Denna utveckling är ett uttryck av det samhälleliga arbetets ökade produktivitet. Marx utgår i sin diskussion om profitkvotens utveckling från att den växande tekniska sammansättningen också medför en växande organisk sammansättning, d.v.s. en värdemässig ökning av det konstanta kapitalets andel av totalkapitalet. Profitkvotens fall blir således endast ett annat uttryck för produktivkrafternas utveckling.
Profitkvotens tendentiella fall vid konstant exploateringsgrad illustreras i tabell 9:1.
| Tab. 9:1 | ||||||||||||
| Period | Kon- stant kapital |
Varia- belt kapital |
Mer- värde |
Mer- värde kvot % |
Organisk samman- sättning % |
Profit- kvot % |
||||||
| I | 50 | 100 | 100 | 100 | 33,3 | 66,7 | ||||||
| II | 100 | 125 | 125 | 100 | 44,4 | 55,6 | ||||||
| III | 200 | 150 | 150 | 100 | 57,1 | 42,9 | ||||||
| IV | 300 | 175 | 175 | 100 | 60,3 | 39,7 | ||||||
| V | 400 | 200 | 200 | 100 | 66,7 | 33,3 | ||||||
Den ökade organiska sammansättningen av totalkapitalet går samman med ett växande totalkapital. Därmed ökar även den absoluta mängd arbetskraft kapitalisten behöver för att förmera sitt kapital. Vid given exploateringsgrad, kommer då även massan merarbete att öka och därmed den profitmassa kapitalisten tillägnar sig. Vi ser att samma faktor, ökningen av den organiska sammansättningen, som leder till en fallande profitkvot, även leder till en ökad profit. Detta är endast ett uttryck för att den kapitalistiska produktionsprocessen tillika är en ackumulationsprocess.
En ofta förekommande kritik mot Marx' framställning av lagen som sådan är att han bortsåg ifrån att även mervärdekvoten kommer att stiga med arbetets stegrade produktivitet. Kritikerna hävdar att profitkvoten genomlöper ett tendentiellt fall endast om mervärdekvotens procentuella ökning är mindre än den procentuella minskningen av det variabla kapitalets andel av totalkapitalet. Detta kan visas på följande sätt. Det variabla kapitalets andel av totalkapitalet (q') kan tecknas
q' = 1-q
Profitkvoten kan då skrivas som
p' = m'q'
Genom differentiering erhålles
dp' = m'dq' + dm'q'
där dp' uttrycker profitkvotens förändring.
För att kunna säga vad som krävs för att dp' skall anta ett negativt värde, d.v.s. profitkvoten falla, måste vi närmare studera storheterna (m'dq') respektive (dm'q').
(m'dq') är negativ, ty m' är en positiv storhet och dq' är definitionsmässigt negativ vid en ökning av totalkapitalets organiska sammansättning.
(dm'q') är positiv, ty dm' som uttrycker förändringen i mervärdekvoten vid en höjning av den organiska sammansättningen, är positiv samt q' är en positiv enhet. Profitkvoten kommer således att falla om
| m'dq' | > | dm'q' |
eller
| dq' / q' | > | dm' / m' |
d.v.s. profitkvoten faller när den procentuella förändringen av det variabla kapitalets andel av totalkapitalet är större än den procentuella förändringen av mervärdekvoten. Om detta villkor ej är uppfyllt kommer inte profitkvoten att falla.
De främsta företrädarna för denna kritik, visserligen i olika former, är P. M. Sweezy, Joan Robinson samt H. D. Dickinson.[140] Så skriver t.ex. Sweezy:
"Det verkar knappast tillrådligt att behandla en integrerad del av den stegrade arbetsproduktiviteten som en separat och motverkande faktor; bättre vore att redan från början erkänna att en ökad produktivitet tenderar att medföra en ökad mervärdekvot."[141]
Att Marx var väl medveten om att en ökad arbetsproduktivitet kommer att leda till en stegring av mervärdekvoten framgår bl.a. av hans polemik mot Ricardo i Theorien über den Mehrwert.[142] Marx kritiserar där Ricardo för att förväxla profitkvot och mervärdekvot. Därmed kunde Ricardo endast förklara profitkvotens fall utifrån ett fall av mervärdekvoten.
"Och detta är endast möjligt (under förutsättning att arbetskraften betalas till sitt värde) om värdet på de varor som ingår i arbetskraftens reproduktion ökar. Emellertid avtar ständigt värdet på manufakturvarorna på grund av arbetets ökade produktivkraft. Återstår endast som förklaringsgrund att matvarorna, som utgör huvudbeståndsdelen av de varor som ingår i arbetskraftens reproduktion, ökar i värde. Detta skulle innebära att jordbruket blir allt mer improduktivt. Profitkvotens fall skulle således vara förbunden med det ständigt ökade värdet på grundräntan. Jag har ovan visat att Ricardos uppfattning om grundräntan är felaktig. Därmed faller hans förklaring till profitkvotens fall."
Lite längre ner fortsätter Marx:
"Den [profitkvoten] faller inte på grund av att arbetet blivit improduktivare, utan för att det blivit produktivare. Inte för att arbetaren blivit mindre utan mer exploaterad /.../"[143]
Även ett noggrant studium av avsnittet "Lagen som sådan" i Kapitalets tredje band visar att Marx var medveten om vilken effekt arbetets ökade produktivitet skulle kunna få på mervärdekvoten. Så skriver han t.ex.:
"Denna [den kapitalistiska produktionens tendens] framtvingar med den fortsatta relativa minskningen i det variabla kapitalet gentemot det konstanta en stigande högre organisk sammansättning av totalkapitalet, vars omedelbara följd är att mervärdets kvot vid konstant och t.o.m. vid stigande exploateringsgrad av arbetet uttrycker sig i en beständigt sjunkande allmän profitkvot."[144]
Frågan blir då: vad fanns det för skäl för Marx att anta att effekten av arbetets ökade produktivitet på mervärdekvoten skulle mer än upphävas av dess effekt på den organiska sammansättningen och därmed resultera i en fallande profitkvot? Marx resonerar härvidlag på följande sätt:
"Med avseende på den använda arbetskraften visar sig produktivkraftens utveckling återigen dubbelt. För det första i ökningen av merarbetet; d.v.s. avkortandet av den nödvändiga arbetstiden, som kräves för arbetskraftens reproduktion. För det andra i minskning av mängden arbetskraft (arbetarantal), som överhuvud användes för att sätta i rörelse ett givet kapital.
Bägge rörelserna gå icke blott hand i hand utan betinga varandra ömsesidigt, äro företeelser vari samma lag kommer till uttryck. Emellertid verka de i motsatt riktning på profitkvoten. /.../ Åt den ena sidan stiger den ena faktorn, mervärdekvoten; åt den andra faller (relativt eller absolut) den andra faktorn, antalet arbetare. Såvida utvecklingen av produktivkrafterna förminskar det använda arbetets totala del, stegrar den mervärdet i och med dess kvot: försåvitt den dock förminskar totalmassan av av ett givet kapital använt arbete, förminskar den andelsfaktorn, varmed mervärdekvoten multipliceras för att få fram dess massa. Två arbetare som dagligen arbeta 12 timmar kunna icke leverera samma massa mervärde som 24, vilka var och en arbeta blott två timmar, t.o.m. om de kunde leva av luft och därför inte alls behövde arbeta för sig själva. I detta hänseende har alltså kompensationen av det minskade arbetarantalet genom stegring av arbetets exploateringsgrad vissa gränser som icke kunna överskridas; den kan därför väl hämma profitkvotens fall men icke upphäva det."[145]
Vi kan således tillbakavisa den kritik mot Marx' framställning av lagen som sådan, som vill göra gällande att Marx inte var medveten om att en ökning av den organiska sammansättningen skulle medföra en höjning av mervärdekvoten. Marx inte bara var medveten om detta faktum, utan påtalar även klart varför han ansåg att effekten av en stegring av arbetets produktivitet på totalkapitalets organiska sammansättning skulle komma att upphäva dess effekt på mervärdekvoten, så att profitkvoten skulle komma att falla. Marx utgår ifrån att en given mängd kapital med den kapitalistiska utvecklingen kommer att sysselsätta en sjunkande kvantitet levande arbete. Detta är den grund på vilken Marx baserar sin uppfattning om gränserna för en stegring av mervärdekvoten.[146]
Efter att ha formulerat lagen som sådan tar Marx upp sådana faktorer, som kan tänkas komma att motverka profitkvotens fall och gör att fallet endast blir tendentiellt. Det är inte här frågan om sådana faktorer, vilka går att härleda direkt ur arbetets ökade produktivitet, utan sådana som verkar vid sidan om denna utveckling. Problemet var inte för Marx varför profitkvoten faller, utan snarare varför den inte faller snabbare.
"Om man betraktar den enorma utvecklingen av det samhälleliga arbetets produktivkrafter, t.o.m. blott under de sista 30 åren jämfört med alla tidigare perioder, om man särskilt betraktar den enorma massan av fixt kapital, som utom det egentliga maskineriet ingår i den samhälleliga produktionsprocessens totalitet, så träder i stället för den svårighet som hittills sysselsatt ekonomerna, nämligen att förklara profitkvotens fall, den motsatta, nämligen att förklara varför detta fall inte är större eller hastigare. Det måste vara motverkande inflytelser med i spelet, som genomkorsa och upphäva den allmänna lagens verkan och blott ge den karaktären av en tendens, varför vi också beteckna den allmänna profitkvotens fall som ett tendentiellt fall."[147]
Vi skall här ta upp de huvudsakliga faktorer som enligt Marx' framställning motverkar profitkvotens fall. Dessa är
(a) Höjning av arbetets exploateringsgrad
(b) Sänkning av arbetslönen under arbetskraftens värde
(c) Förbilligandet av det konstanta kapitalets
beståndsdelar
(d) Produktion av relativ överbefolkning
(e) Utrikeshandel
Profitmassan som en given mängd arbetskraft skapar kan ökas antingen genom arbetets ökade produktivitet, genom arbetsdagens förlängning eller genom en ökad intensitet i arbetet. Då det förstnämnda tillvägagångssättet är en integrerad del av "lagen som sådan" behandlades det i framställningen ovan. Här skall de två sistnämnda tillvägagångssättens effekt på profitkvoten diskuteras.
I båda fallen blir resultatet en ökad mervärdekvot. De kan betraktas som en strävan från kapitalisterna att kompensera sig för profitkvotens fall, vilket förorsakats av totalkapitalets ökade organiska sammansättning. Men detta försök av kapitalisterna att motverka profitkvotens fall kommer så småningom att i stället påskynda dess fall!
Låt oss illustrera detta med ett exempel. En kapitalist ökar hastigheten på maskinerna för att därmed öka produktionen av relativt mervärde. Mervärdemassan kommer att stiga. Men den ökande intensiteten i produktionen leder till en snabbare förslitning av det konstanta kapitalet. Därmed kommer det konstanta kapitalet använt av en given mängd arbetskraft per tidsenhet att öka. Eller omvänt, en given mängd konstant kapital kommer att sysselsätta en mindre mängd arbetskraft. Konsekvensen blir att det variabla kapitalets andel av totalkapitalet kommer att minska. Den organiska sammansättningen kommer att öka och därmed profitkvoten att falla!
Kapitalisternas strävan att kompensera profitkvotens fall genom att öka exploateringsgraden, genom ökad intensitet eller förlängning av arbetsdagen, kan till att börja med få det för kapitalisterna önskade resultatet, men kommer så småningom att i stället påskynda profitkvotens fall. Detta blir fallet eftersom båda metoderna har sina givna begränsningar, vilket diskuterats i kapitel 4.[148]
Då Marx aldrig hann slutföra Kapitalet III, finns det endast en ytterst fragmentarisk framställning av denna faktors betydelse för profitkvotens rörelseriktning. Marx skriver: "Detta anförs här blott empiriskt,".[149] Dock hann han aldrig sammanställa dessa empiriska data.
Vi avser inte att här göra någon analys av den svenska arbetarklassens läge i allmänhet och av priset på dess arbetskraft i relation till dess reproduktionskostnad i synnerhet. Vi vill endast påpeka att allt fler ur arbetarklassen i dag är hänvisade till hyresbidrag och andra former av sociala bidrag för att kunna reproducera sig. Detta tyder på att arbetskraften i dag snarare betalas under än över sin reproduktionskostnadsnivå. En sänkning av arbetskraftens pris under dess värde innebär, förutsatt att övriga varor säljes till sina värden, att mervärdemassan och därmed profitmassan kommer att stiga. Detta skulle motverka profitkvotens fall.
Med arbetskraftens ökade produktivitet kommer värdet av en given mängd produktionsmedel, vilket ju bestäms av den för dess framställning samhälleligt nödvändiga arbetstiden, att minska. Detta innebär att den förändrade tekniska sammansättningen inte helt kommer att slå igenom på totalkapitalets organiska sammansättning, vilken är en värderelation. En minskning av det konstanta kapitalets värde kommer därför att motverka profitkvotens fall.
"Kort sagt, samma utveckling som stegrar det konstanta kapitalets massa i förhållande till det variabla förminskar i följd av arbetets stegrade produktivkraft värdet av dess element och förhindrar därmed att det konstanta kapitalets värde, ehuru beständigt växande, tillväxer i samma proportion som dess materiella omfång, d.v.s. det materiella omfånget av de produktionsmedel som av samma mängd arbetskraft sättas i rörelse."[150]
Detta är en annan punkt där Marx ofta brukar kritiseras. Kritikerna hävdar att, då värdet av det konstanta kapitalets beståndsdelar kommer att minska p.g.a. arbetets ökade produktivitet, man för det första inte kan behandla detta som en motverkande faktor utan som en integrerad del i framställningen av lagen som sådan, samt för det andra inte kan uttala sig om i vilken riktning den organiska sammansättningen och därmed profitkvoten kommer att utvecklas.[151]
I en uppsats har R. L. Meek[152] visat att effekten av produktivkrafternas utveckling på det konstanta kapitalets värdemassa kommer att motverka profitkvotens fall och t.o.m. upphäva fallet om kapitalets organiska sammansättning i utgångsläget är låg. När den organiska sammansättningen successivt stiger, kommer effekten på det konstanta kapitalets värdemassa att reduceras och profitkvoten att börja falla, dock mindre än om inte värdet på det konstanta kapitalets beståndsdelar hade reducerats.
Det tycks alltså som om den här diskuterade faktorn endast skulle ha en motverkande inverkan på profitkvotens rörelseriktning. Det förefaller dock mer rimligt att behandla denna faktor som en integrerad del av "lagen som sådan" och inte som en motverkande faktor då den är en effekt av arbetets stegrade produktivitet och inte något som verkar vid sidan om denna utveckling.
Själva existensen av en relativ överbefolkning kommer att medföra en viss ovilja hos kapitalisterna att införa mer kapitalkrävande produktionsmetoder, då konkurrensen bland arbetarna kommer att hålla nere lönerna. Produktionen av en relativ överbefolkning kommer dessutom att medföra att kapitalisterna i nya produktionsgrenar - främst i produktionen av lyxvaror - sannolikt till att börja med kommer att använda sig av en större andel variabelt kapital, för att på så sätt kunna tillägna sig en större mervärdemassa. Profitkvoten i dessa produktionsgrenar kommer på så sätt att bli större än i de övriga produktionsgrenarna. Konkurrensen bland kapitalisterna leder emellertid till att allt fler kapitalister söker sig till produktionsgrenar med den högre profitkvoten. Resultatet blir att profitkvoten ånyo kommer att utjämnas, vilket är liktydigt med ett fall av profitkvoten i de nya produktionsgrenarna.
"I bägge fallen intar det variabla kapitalet en betydande proportion av totalkapitalet och ligger arbetslönen under genomsnittet, så att såväl mervärdekvot som mervärdemassa i dessa produktionsgrenar äro ovanligt höga. Då nu den allmänna profitkvoten bildas genom utjämning av profitkvoterna i de särskilda produktionsgrenarna, frambringar här åter samma orsak, vilken framkallar den fallande tendensen i profitkvoten, en motvikt gentemot denna tendens som mer eller mindre paralyserar dess verkan."[153]
Genom import av det konstanta kapitalets beståndsdelar kommer totalkapitalets värde att reduceras. Konsekvensen blir ett fall i den organiska sammansättningen och därmed en stegring av profitkvoten.
Kapitalisterna kan även importera delar av de varor som ingår i arbetskraftens reproduktion. Därmed kommer arbetskraftens värde att minska. Detta får två konsekvenser; å ena sidan leder det till en ökning av den organiska sammansättningen och därmed till ett fall av profitkvoten, å andra sidan leder det till en ökad mervärdekvot och därmed till en stegring av profitkvoten. Avgörande blir således vilken effekt som är kraftigast.
Utrikeshandel innebär även export. Exporten kommer att utvidga produktionen och därmed påskynda ackumulationsprocessen. Vi har ovan visat att om ackumulationsprocessen ökar i intensitet kommer även den organiska sammansättningen att öka. Exporten får således som konsekvens ett snabbare fall av profitkvoten än eljest!
Vi kan således hos utrikeshandeln upptäcka en dubbeltydig verkan på profitkvotens rörelseriktning.
Vi kan konstatera att arbetets ökade produktivitet under bestämda antaganden om gränser för mervärdekvotens stegring kommer att leda till ett tendentiellt fall av profitkvoten. Parallellt härmed finns det under det kapitalistiska produktionsförhållandet en del faktorer som tenderar att motverka den ökade arbetsproduktivitetens nedpressande effekt på profitkvoten. Huruvida profitkvoten faktiskt kommer att genomlöpa ett fall, kan i allmänhet endast avgöras utifrån empiriskt material.
I detta kapitel avser vi att behandla det mer kortsiktiga perspektivet på kapitalismens utveckling - konjunkturteorin. Den marxistiska konjunkturteorin är en kristeori, d.v.s. en analys av varför kapitalismen ständigt kastas in i kriser samt vilka mekanismer i systemet som möjliggör för kapitalismen att häva sig ur dessa kriser.
Vi ämnar även diskutera det ofta förekommande påståendet att monopolkapitalismen under efterkrigstiden har varit en "krisfri" kapitalism. Inledningsvis skall vi emellertid studera hur den borgerliga nationalekonomin försöker förklara krisernas uppkomst och utveckling.
Man kan inom den borgerliga nationalekonomin urskilja ett antal olika förklaringsgrunder till konjunktursvängningarna. Dessa har emellertid i regel det gemensamt, att de är en syntes av multiplikator- och acceleratorteorier. Det innebär att man låter den s.k. marginella sparbenägenheten, d.v.s. den ökning av sparandet som en given ökning av nationalinkomsten förorsakar, bli den strategiska storheten vid analysen. Man härleder således orsaken till kriserna ur ett för stort sparande, eller, vilket hos de borgerliga nationalekonomerna är samma sak, ur en för låg effektiv efterfrågan.
Vad är då denna märkliga benägenhet som ställer till så stor förtret för det kapitalistiska samhället? Inte kan det vara folks benägenhet i största allmänhet, då arbetarklassens sparande är tämligen obefintligt. Det måste således vara kapitalisternas benägenhet att spara som är för stor.
I tidigare kapitel visade vi att kapitalisternas inkomst utgörs av den mervärdemassa de tillägnar sig i produktionsprocessen. En del av denna används improduktivt - som reveny - till kapitalisternas privata konsumtion. Den andra delen används produktivt - som kapital - till köp av ytterligare konstant kapital och arbetskraft. Den sistnämnda andelens förhållande till den totala mervärdemassan, d.v.s. ackumulationsgraden är inget annat än ett uttryck för kapitalisternas jakt efter ytterligare profit - deras formering av mervärdet! Vad som döljer sig bakom det för höga "sparandet" är inget annat än att kapitalisterna uppfattar profiten på investeringar som för liten. Vad som i den borgerliga nationalekonomin kallas för sparbenägenhet är således inget annat än ett uttryck för kapitalisternas profitjakt. Att på detta sätt ge sken av att det finns en benägenhet i största allmänhet, oavsett om man är kapitalist eller arbetare, är att dölja verkligheten. Därmed förlorar också den borgerliga nationalekonomins konjunkturteori sin samhällsvetenskapliga karaktär och blir i stället en ideologisk teoribildning.
En kris kan enklast definieras som ett avbrott i reproduktionsprocessen. Både den individuella och den produktiva konsumtionen faller. Den mänskliga och materiella basen för fortsatt reproduktion reduceras. Utgångspunkten för nästa periods reproduktion blir således lägre än den föregående. På detta sätt reproducerar sig krisen i spiralform och når ett allt djupare stadium.
Under den rena byteshandeln, där varor bytes mot varor genomgår varan metamorfosen
V1-V2
Här är köp och försäljning identiska till både tid och rum. Kriser kan här endast uppstå genom olika typer av utomekonomiska faktorer, som t.ex. epidemier och missväxt.
När det förkapitalistiska samhället nått en viss utvecklingsnivå kommer varorna att genomgå två förvandlingar:
V1 - P - V2
Fortfarande gäller, som under den rena byteshandeln, att man producerar för att konsumera. Kriser kan nu uppstå genom att metamorfosen avbryts på någon punkt. Då köp och försäljning i den enkla varuproduktionen är åtskilda i tid och rum, kommer ett avbrott att spridas genom hela ekonomin, vilket leder till en allmän kris. Under den enkla varuproduktionen skapas således möjligheten till kriser som inte har sitt ursprung i en eller annan katastrof.
Varuproduktionen kännetecknas av motsättningen mellan produktionsprocessens allmänna form - produktion av bruksvärde - och dess specifika form - produktion av bytesvärde. Denna motsättning leder till att varan delas upp i två beståndsdelar; varan själv och dess penningform. Denna tudelning innebär ätt det är nödvändigt inneha en ekvivalent till varans bytesvärde i form av pengar för att kunna konsumera varan som vara. Detta skapar förutsättningar för störningar i cirkulationssfären och möjliggör således krisers uppkomst.
Med den enkla varuproduktionens övergång till den kapitalistiska kommer kapitalets kretslopp att bli bestämmande. Den har den allmänna formen
P - V - P'
där P' = P + ΔP
Produktionen har genomgått en kvalitativ förändring. Man producerar inte längre för att konsumera, utan för att tillägna sig profit. Under kapitalismen blir således profitens storlek (ΔP) den strategiska komponenten.
"ΔP utgör kapitalismens Akilleshäl, vilken saknades vid den enkla varuproduktionen."[154]
När kapitalisten inte längre anser att profitens storlek är tillräcklig avbryter han tillfälligt produktionsprocessen. I stället väljer han att temporärt hålla sitt kapital i penningform, för att senare - när han har skäl förmoda att profiten åter når upp till den storlek han uppfattar som acceptabel - återomvandla pengarna i konstant och variabelt kapital.
Vi kan nu konstatera att det under det kapitalistiska produktionsförhållandet finns tre företeelser som möjliggör kriser:
(1) Åtskiljandet av köp och försäljning i både tid och rum;
(2) Uppdelning av varan i varan själv och dess penningform;
(3) Produktionens förändrade kvalitet: från produktion för konsumtion till produktion för profit.
Den marxistiska teorin ger två huvudförklaringar till att kriserna under kapitalismen inte bara är möjliga utan en regelbundet återkommande realitet. Kriserna uppstår dels ur en relativ överproduktion dels direkt ur profitkvotens tendens att falla.[155]
Under vissa tider kommer en del varor inte att kunna säljas till ett pris motsvarande deras värde. Dessa avsättningssvårigheter uppstår inte för att behovet av varorna skulle vara täckt, utan för att det saknas en effektiv, eller monetär efterfrågan. För att kunna realisera åtminstone en del av mervärdet tvingas kapitalisten sänka priset. Då produktionen inte längre är lika profitabel för kapitalisten kommer han att helt eller delvis avbryta produktionsprocessen. Detta innebär att han avbryter reproduktionsprocessen och en del av hans kapital kommer att anta penningform. Kapitalisten kan nu använda penningkapitalet antingen till investeringar i branscher med en högre profitkvot, eller behålla det i dess penningform tills profitkvoten åter stiger eller tills det skett en allmän nedgång av profitkvoten och kapitalistens uppfattning om vad som kan betecknas som profitkvotens miniminivå ändrats.
Inskränkningen av produktionen innebär att en allt större del av arbetarklassen inte längre kan sälja sin arbetskraft. Det inträder en växande arbetslöshet vilket medför en ytterligare reduktion av den effektiva efterfrågan. Den bristande avsättningsmöjligheten som på så sätt uppstår för allt fler varor kommer att förorsaka ytterligare störningar i det monetära systemet. Vissa kapitalister kommer att få brist på likvida medel och kommer därför inte att kunna betala sina skulder. På så sätt sprids en relativ överproduktion i en bransch till hela samhällsekonomin och övergår i en allmän kris.
Det är viktigt att slå fast att det inte råder absolut överproduktion av varor, utan endast en relativ - i relation till folkets köpkraft. Folk har brist på varor och lider nöd för att det råder ett "överflöd" av varor.
I varje enskilt företag är arbetets organisation underkastad den enskilde kapitalistens vilja. I samhället som helhet råder, som en följd av det privata ägandet av produktionsmedlen, en avsaknad av en medveten planering och koordinering av den totala produktionsprocessens olika beståndsdelar. Det är denna anarki i produktionsprocessen som möjliggör den relativa överproduktionen.
Utvecklingen av produktionsprocessen kommer under kapitalismen inte att ske under balans mellan de enskilda företagens aktiviteter, då varje kapitalist strävar efter att producera så stor profit som möjligt och därmed utvidga sin produktion utan hänsyn till företagets roll i den totala produktionsprocessen. Denna obalans i produktionsprocessen som helhet leder till att enskilda kapitalister kommer att bli tvungna avbryta produktionsprocessen helt eller delvis, då den relativa överproduktionen gör att de inte kan realisera den profit de planerat. Genom skiljandet av köp och försäljning i tid och rum kommer detta avbrott att fortplanta sig och utlösa en allmän kris. Kriserna är ett uttryck för en av de i kapitalismen inneboende motsättningarna; motsättningen mellan produktionens alltmer församhälleligade karaktär och det privata ägandet av produktionsmedlen.
Vi kan konstatera att kriser uppstår ur den relativa överproduktionen. Den relativa överproduktionen är ett resultat av de krafter som existerar i det kapitalistiska systemet och som strävar att ständigt utvidga produktionen och ändå begränsa konsumtionen. Denna objektiva strävan återspeglar sig i kapitalisternas subjektiva agerande genom att de ständigt söker pressa ned arbetskraftens pris för att kunna ackumulera en större mervärdemassa, samtidigt som de önskar att dessa skall kunna öka sin konsumtion. Dessa spänningar i systemet resulterar i kriser.
Vi visade i föregående kapitel, att profitkvoten hade en tendens att falla. Då kapitalisterna har en uppfattning om vad som kan betraktas som en "normal" profitkvot kommer profitkvoten i ett visst läge att understiga denna "normala" nivå. Kapitalisterna kommer då att avbryta produktionsprocessen helt eller delvis i de branscher där profitkvoten anses vara för låg och uppskjuta ackumulationen tills förhållandena återigen betraktas som gynnsamma. Dessa gynnsamma förhållanden uppstår när profitkvoten åter antar den nivå som anses "normal". Genom ökad exploatering av arbetskraften eller öppnandet av nya inhemska eller utländska marknader kan en sådan nivå uppnås. Kapitalisternas uppfattning om profitkvotens "normala" nivå kan ändras så att den lägre nivån nu kommer att uppfattas som en "normal" nivå. Slutligen kommer under krisens förlopp kapital att förstöras. Detta medför en ökning av profitkvoten, vilket får som konsekvens att kapitalisterna åter börjar ackumulera.
Under tiden har det inträtt en störning i cirkulationssfären genom att penningkapital inte återomvandlats till industrikapital. Kriserna kommer att fördjupas och församhälleligas då inte penningkapitalet återomvandlas till produktivt kapital.
Vi har redan tidigare visat att den kapitalistiska produktionens omedelbara syfte är produktion av profit. Vi har även visat att den genomsnittliga profitkvoten har en tendens att falla. Detta fall är emellertid inte rätlinjigt, utan genomgår periodiska svängningar. Profitkvoten kan alltså under en viss period stiga jämfört med närmast föregående period. Konjunkturcykelns olika faser illustreras av profitkvotens läge och rörelseriktning.[156]
Låt oss utgå från en expanderande ekonomi och studera hur och varför denna kommer att genomlöpa konjunkturcykelns olika faser.
Under expansionsfasen kännetecknas ekonomin av att efterfrågan på varor - både för individuell och produktiv konsumtion - är tämligen hög. Då delar av produktionskapaciteten under den föregående fasen inte användes, kan inte varuutbudet i början av expansionsfasen helt tillgodose efterfrågan. Priserna och därmed profiten stiger. Medan kapitalisterna under föregående fas valde att hålla kapitalet i penningform på grund av den låga profitkvoten, kommer de nu att ånyo investera dessa pengar för att dessa skall förmera sig i produktionsprocessen. Ekonomin är nu inne i en högkonjunktur med stora profiter och förhållandevis stora investeringar. Konkurrensen bland kapitalisterna tvingar dem att köpa nya produktionsmedel för att höja arbetarnas produktivitet och därmed tillskansa sig ännu större profiter. Det sker även en rad nyetableringar av kapitalister som lockas av de höga profiterna.
Så småningom kommer relationen mellan produktionskapaciteten och den monetära efterfrågan att förändras. Vissa varor blir osäljbara till priser motsvarande deras värde. För att kunna realisera åtminstone en del av mervärdet tvingas kapitalisten sänka priset på dessa varor. Profiten och därmed profitkvoten kommer att falla. Vissa kapitalister tvingas att helt avbryta den av dem kontrollerade produktionsprocessen, andra endast delvis. Ekonomin är nu inne i en depression. Avbrytandet av produktionsprocesserna förorsakar störningar i cirkulationssfären, vilket leder till en allmän kris. Tidsskillnaden mellan störningarnas inträffande och den allmänna krisen kommer att bli längre ju mer utvecklat kreditsystemet är. Å andra sidan innebär ett utvecklat kreditsystem att krisen får ett häftigare förlopp och en större spridning.
De avbrutna produktionsprocesserna innebär att en stor del av det konstanta kapitalet förstörs. Den del av det totala konstanta kapitalet som inte förstörs kan, just på grund av att den övriga delen av det konstanta kapitalet förstörts, nu användas på ett effektivare sätt. Detta medför att profitkvoten på nytt tenderar att stiga. Kapitalisterna kommer att uppfatta det som profitabelt att göra investeringar, vilket leder till att ekonomin går in i en expansionsfas. Produktionen sker emellertid nu på en lägre aktivitetsnivå än under högkonjunkturen.
Under kriserna "överlever" de företag som har haft den största arbetsproduktiviteten, d.v.s. de företag som arbetat med förhållandevis avancerad teknologi och på så sätt kunnat tillgodogöra sig extraprofiter under högkonjunkturen. Detta innebär att den genomsnittliga arbetsproduktiviteten kommer att höjas kraftigt efter varje kris. Produktivkrafternas utveckling påskyndas. Kriserna förstärker således den i kapitalismen verkande centraliseringen av kapital till ett fåtal kapitalister och därmed monopoliseringstendenserna.
Vi har ovan visat att förstörelsen av produktivkrafter under kriser är en integrerad del av konjunkturcykeln och nödvändiga för att kapitalismen skall kunna komma ur de ständigt återkommande kriserna. Men för att få i gång produktionen på nytt krävs även att det skapas nya marknader, som möjliggör för kapitalisterna att använda den kvarvarande produktionsapparaten på ett, ur deras synpunkt effektivt sätt. Marx och Engels beskriver i Kommunistiska manifestet hur kapitalisterna försöker häva de återkommande kriserna i följande ordalag:
"Varigenom övervinner bourgeoisin kriserna? Å ena sidan genom att framtvinga tillintetgörandet av en massa produktivkrafter, å andra sidan genom erövring av nya marknader och en grundligare utsugning av äldre marknader."[157]
En historisk analys av konjunkturcyklerna visar att det efter varje kris förekommit en expansion av antingen den inhemska marknaden eller också upprättandet av nya marknader utomlands. Nedan ges en beskrivning på hur kapitalisterna efter varje kris under 1800- och 1900-talet upprättat nya marknader.[158]
Konjunkturcykeln 1816-1825: Den brittiska industrin erövrar marknader i Latinamerika; byggandet av gasverk och kanaler i England; Belgiens industrialisering påbörjas.
Konjunkturcykeln 1825-1836: Den brittiska exporten till Latinamerika och USA ökar; industriell expansion i Belgien, Frankrike och Rhenländerna; järnvägsbyggandet påbörjas.
Konjunkturcykeln 1836-1847: Den brittiska exporten till Asien ökar, speciellt till Indien och Kina (efter Opiumkriget); järnvägsbyggandet startar på ett antal platser i Västeuropa.
Konjunkturcykeln 1847-1857: Expansion av den amerikanska marknaden efter upptäckten av guldfyndigheter i Kalifornien; järnvägsbygge i USA, en hel del nya industrier upprättas i USA, Tyskland och Frankrike, de första aktiebolagen bildas.
Konjunkturcykeln 1857-1866: Expansion av bomullsmarknaderna i Indien och Egypten för att ersätta de förluster som inträffat på grund av det amerikanska inbördeskriget.
Konjunkturcykeln 1866-1873: Utveckling av järn och stålindustrin i Tyskland, Österrike-Ungern och USA med anledning av krigen 1866 och 1870-71; boom i järnvägsbyggandet i USA.
Konjunkturcykeln 1882-1891: Expansion av järnvägsbyggandet i Ryssland och Latinamerika (speciellt i Argentina); export av brittiskt kapital; utveckling av den afrikanska marknaden.
Konjunkturcykeln 1891-1900: Byggandet av järnvägar i Afrika, Asien och Latinamerika påbörjas; spårvagnar installeras i de flesta städerna; export av brittiskt, tyskt och franskt kapital; olje- och elkraftsindustrin utvecklas.
Konjunkturcykeln 1900-1907: Den begynnande upprustningen leder till expansion av järn- och stålindustrin; el- och telefonnätet börjar byggas ut; utveckling av marknaderna i Turkiet, Nordafrika och Mellersta Östern; den tunga industrin börjar utvecklas i Italien.
Konjunkturcykeln 1907-1913: Kraftig expansion av rustningsindustrin.
Konjunkturcykeln 1913-1921: Kraftig utbyggnad av den kemiska industrin; bilindustrin börjar utvecklas.
Konjunkturcykeln 1921-1929: Kraftig expansion av bilindustrin, verkstadsindustrin och den kemiska industrin; amerikansk kapitalexport till speciellt Tyskland.
Konjunkturcykeln 1929-1937: Expansion av rustningsindustrin i speciellt Tyskland och Japan; utveckling av den kinesiska och japanska marknaden.
Konjunkturcykeln 1937-1949: Rustningsindustrin i USA, Canada, Australien, England och Tyskland (till 1944); ny uppdelning av världsmarknaderna; flygindustrin, den elektroniska och kemiska industrin expanderar kraftigt; atomindustrin börjar utvecklas; industribyggnationer i u-länderna.
Konjunkturcykeln 1949-1953: Atomindustrin utvecklas kraftigt; fortsatt expansion av rustningsindustrin; förnyad uppbyggnad av den tyska tunga industrin; fortsatta etableringar i u-länderna.
Konjunkturcykeln 1953-1958: Utveckling av den petrokemiska industrin och konsumtionsvaruindustrin speciellt i Europa; den första stora industriautomationen.
I den borgerliga nationalekonomin hävdas ofta att kapitalismen skulle ha blivit krisfri. Denna kvalitativa förändring av kapitalismen skulle ha inträffat efter andra världskriget. Ett studium av efterkrigsperioden visar emellertid att denna period karaktäriseras av allt kortare och därmed allt mer frekventa konjunkturcykler. Det är visserligen sant att man inte i något kapitalistiskt samhälle under efterkrigsperioden upplevt en liknande kris som den 1929.
Men det är inte första gången, som man efter en relativt "krisfri" kapitalism börjar tala om den "organiserade kapitalismen". Sådana föreställningar fördes bl.a. fram av E. Bernstein före första världskriget. Under 20-talet var illusionerna om en evig högkonjunktur så starka att den dåvarande presidenten i USA, Herbert Hoover, t.o.m. efter börskraschen 1929 trosvisst försäkrade: "prosperity is just around the corner" - välståndet väntar bakom nästa husknut. Den som inte använder sina ögon att se med brukar i regel förr eller senare få använda dem att gråta med!
För att kunna ta ställning till huruvida dagens kapitalism skiljer sig från den tidigare i det avseendet att den inte kommer att gå in i en kris efter en längre period av relativ högkonjunktur, måste vi studera vilka faktorer som möjliggör denna högkonjunktur. Dessutom måste vi undersöka huruvida man kan ha anledning förvänta sig att dessa faktorer skall förbli beständigt verkande.
Efter andra världskriget, med dess enorma materiella förstörelse, fanns det ett uppdämt behov av varor. Under kriget hade kapitalisterna, p.g.a. bristande investeringsmöjligheter, samlat tämligen stora penningreserver. Dessa kunde de nu åter förvandla till industrikapital. Det uppstod en kraftig expansion av produktionen. Expansionen förstärktes av USA:s enorma investeringar i Europa via Marshall-"hjälpen". De höga vinsterna som kapitalisterna kunde tillägna sig i början av efterkrigstiden kunde på nytt omvandlas till industriellt kapital p.g.a. expansionen i de nya industrigrenarna: atom-, elektronik- och konstfiberindustrin. Dessutom kom kapprustningen under 50-talet i kombination med rymdforskningen under början av 60-talet att erbjuda ytterligare projekt för kapitalisternas ackumulationsprocess. Av de totala inhemska investeringarna har militärutgifterna dessutom intagit en central roll och utgjorde i slutet av 50-talet 18,4 % i Canada, 58,3 % i USA, 34,7 i Frankrike, 22,4 % i Sverige o.s.v.[159]
De stora militärutgifterna i kombination med ett behov av en stat som bättre kan garantera kapitalisterna profiter har lett till en starkt expanderande offentlig sektor. Denna skall fungera som en stabilisator vid konjunktursvängningar och på så sätt förhindra allt för djupa kriser. Detta kan den emellertid endast göra inom vissa gränser. Den snabba tekniska utvecklingen efter andra världskriget har skapat en oerhörd produktionskapacitet. Denna kommer, vilket vi närmare skall diskutera i ett senare kapitel,[160] att så småningom utgöra ett hinder för fortsatt expansion samtidigt som expansionen av militärutgifterna kommer att nå sina gränser. Den relativt höga konjunkturen kommer så småningom att övergå i en kris.
I kapitel 8 diskuterade vi de processer, som leder till koncentration och centralisation av kapitalet. I detta kapitel ska vi behandla den moderna kapitalismen, som den vuxit fram ur dessa processer. Vi ska inledningsvis ge en kortfattad översikt över produktionens och ägandets struktur i Sverige. Därefter ska vi diskutera de lagar för kapitalismens funktionssätt, som kan härledas ur dessa strukturer. En fråga, som i detta sammanhang blir av intresse, är huruvida och i vilken utsträckning den i tidigare kapitel utvecklade ekonomiska teorin bevarar sin giltighet under det monopolkapitalistiska stadiet. Vi ska avslutningsvis beröra dels förhållandet mellan finanskapital och monopolkapital och dels samhällsklassernas utformning under monopolkapitalismen.
Det material som presenterats av koncentrationsutredningen ska här få tjäna som underlag för en beskrivning av produktionens struktur i Sverige. Koncentrationsutredningen kommer fram till att de 100 största privata företagen svarar för närmare hälften (46 %) av det totala förädlingsvärdet inom industrin 1963. Denna andel har från 1963 till 1967 ökat från 46 till 49 % enbart genom de förvärv av hela företag, som ägt rum under perioden. Detta innebär m.a.o. att kapitalets centralisation fortgår i hög takt. De största företagen verkar framför allt inom de sektorer, där kapitalvaror framställs. Samtliga de 10 största privata industrikoncernerna hade produktion inom någon av sektorerna verkstadsproduktion, metallverk, massa- och pappersindustri.[161]
Koncentrationsutredningen har också undersökt konkurrenssituationen för 450 olika varugrupper. Utredningen finner att det största företaget år 1963 svarade för över 70 % av produktionen i 95 av de 450 varugrupperna. 78 av dessa 95 företag tillhörde de 100 största privatägda koncernerna. Man kan sammanfatta resultaten av undersökningen genom att konstatera, att ett företag eller en kartell dominerar en fjärdedel av de 450 varugrupperna, medan 4-8 företag dominerar en tredjedel och i endast 38 % av varugrupperna kan man tala om låg koncentrationsgrad. Koncentrationsgraden är störst för varugrupper inom sektorerna metallverk, mekaniska verkstäder, elektroteknisk industri, kemisk industri, stålindustri samt massa- och pappersindustri.[162]
Bankväsendet har också genomgått en långtgående koncentrationsprocess. År 1908 fanns i Sverige 84 affärsbanker, medan antalet minskat till 29 år 1927 och f.n. endast uppgår till 16. Av dessa sexton svarar tre - Svenska Handelsbanken, Skandinaviska Banken och Stockholms Enskilda Bank - för 60 % av affärsbankernas in- och utlåning. Genom investmentbolag, som i realiteten är direkta utlöpare från bankerna, kunde de tre tidigare nämnda bankerna utöva ett avgörande inflytande över bolagskapital, som 1963 svarade för 26 % av det totala produktionsvärdet inom industrin.[163]
Ser vi så slutligen på ägandet finner vi, att en fjärdedel av det totala aktieinnehavet i börsnoterade företag fördelar sig mellan ca 200 kapitalägare.
Bland dessa 200 dominerar i sin tur en handfull finansgrupper eller enskilda finanskapitalister. Wallenberg, Wehtje, Johnson, Bonnier och Broström är de förnämsta namnen inom den svenska finansadeln. De har, ensamma eller tillsammans, dominerande ägarintressen inom flertalet av de största svenska bankerna och företagen.[164]
Vi finner alltså, att ett litet antal stora privatkoncerner svarar för huvuddelen av den industriella produktionen i Sverige och att ett enstaka eller ett fåtal av dessa företag behärskar flertalet av de olika varumarknaderna. Storföretagen verkar också inom de mest expansiva industrigrenarna. Slutligen tillkommer, att dessa jätteföretag genom sin finansiella styrka kan kontrollera formellt självständiga leverantörer och köpare. Vi finner också, att en handfull kapitalister och banker, genom sitt direkta ägande eller med hjälp av investmentbolag, kan kontrollera flertalet av dessa storbolag.
Vi måste nu fråga oss, vad denna struktur hos produktion och ägande kommer att innebära för det kapitalistiska systemets sätt att fungera. Vi ska emellertid först se, vad den borgerliga nationalekonomin har att komma med på detta område.
Under 1800- och början av 1900-talet var den politiska ekonomin inriktad på att visa, hur de olika företagen genom konkurrens kom att tjäna det allmänna bästa. Den arbetslöshet som fanns var "frivillig" eftersom varje utbud skapade sin egen efterfrågan, samtidigt som företagens strävanden efter maximal vinst tvang dem att anpassa sin produktion efter efterfrågans inriktning. Efterfrågan på arbetskraft bestämdes av varuefterfrågan och tekniska förhållanden, medan utbudet bestämdes av arbetets "disutility" (negativ nytta). När någon var arbetslös innebar det, att han själv eller den grupp arbetare han tillhörde upplevde en negativ nytta av att arbeta, som var större än den lön, som företagen kunde betala med hänsyn till efterfrågan och de tekniska relationerna i produktionsprocessen. Denna teori var logiskt uppbyggd på de subjektiva upplevelserna hos konsumenter, arbetare och företagare och fyllde syftet att framställa kapitalismen som det bästa och enda möjliga av ekonomiska system. Att 8-10 % av arbetarna valde arbetslöshet framför arbetets "disutility" störde inte bilden nämnvärt. Värre blev det, när under 20- och 30-talet de som gjorde detta val började uppgå till både 20 och 30 %, samtidigt som den ena kapitalisten efter den andra gjorde konkurs.
Nationalekonomin blev under denna tidsperiod en tvådelad disciplin. Å ena sidan växte det fram en makroekonomisk teori som, genom den objektiva verklighetens slagkraftiga argumentation, tvangs att införliva det kapitalistiska systemets irrationaliteter i sina modeller.[165] Å den andra vidareutvecklades studiet av konsumenters och producenters beteende inom den mikroekonomiska teorin. Studiet av marknader med ofullständig konkurrens bedrevs inom sistnämnda gren på så sätt, att man betraktade isolerade marknader med endast en eller ett fåtal säljare som stod mot en eller flera köpare. Man utvecklade teorier för monopol, oligopol, duopol och monopolistisk konkurrens. Hur den ekonomi verkar, vars kännetecknande produktionsenhet är den privata storkoncernen, som ensam eller tillsammans med ytterligare några storföretag dominerar flertalet och de viktigaste marknaderna, har den borgerliga nationalekonomin aldrig försökt besvara. De mer eller mindre vattentäta skott, som finns mellan mikro- och makroekonomin fyller bl.a. funktionen att förhindra ett inordnande av monopolen i den totalanalys som görs inom makroekonomin.
De marxistiska ekonomerna Paul Baran och Paul Sweezy har i sin bok Monopoly Capital gjort en analys av USA:s ekonomi, som utgår från vad de kallar "det jättelika bolaget" (The Giant Corporation). Vi ska här ge en kort sammanfattning av deras teori för hur prisbildningen sker i ett monopolkapitalistiskt samhälle.[166]
De 100 största bolagen behärskar idag mer än hälften av industrikapitalet i USA och det är dessa företag, som är det kännetecknande och avgörande för USA:s ekonomiska liv. Det finns många små företag, som på olika sätt är knutna till, eller har samröre med de stora koncernerna. I detta och endast i detta avseende är de små företagen av intresse - inte i sig själva, men som del av den omgivning inom vilken det jättelika företaget verkar.
Hur kommer nu dessa jättelika bolag att agera och var ligger makten över dessa bolag? Svaret på den sista frågan är att det under 1900-talet skett en avsevärd maktförskjutning från de stora finansgrupperna (Rockefeller, Morgan etc.) till den administrativa ledningen av företaget, d.v.s. från den store aktieägaren till styrelsen och direktörerna. Inte så att ägandet är likgiltigt, när det gäller att erhålla poster inom dessa ledande organ - tvärtom rekryteras bolagsledningen huvudsakligen ur de grupper, som äger stora kapital - men ägandet ger inte i sig självt makt, om det inte är kombinerat med någon ledande funktion inom företaget.
Baran & Sweezy diskuterar utförligt, hur man kan förvänta sig att dessa "bolagsmän" kommer att agera. De förkastar därvid de subjektivistiska teorier som framställer företagaren som girig, samhällsmedveten eller utrustad med något annat individualpsykologiskt särdrag och frågar sig i stället, i vilken riktning systemet kommer att styra individen. De konstaterar, att det sociala mönstret i USA innebär, att den högsta sociala nivå som kan uppnås är, att vara chef för det största av de jättelika bolagen. Bolagsmännens handlande kommer att styras av en strävan att nå en allt högre position inom det företag inom vilket han verkar, att få detta företag att expandera och slutligen att avancera från mindre till större bolag. Utöver företagets storlek räknas dess styrka och dess förmåga att expandera som positiva egenskaper, när det gäller att bestämma dess plats i hierarkin.
Författarna konstaterar, att utbildningen av företagsekonomer och civilingenjörer huvudsakligen går ut på att lära ut metoder för att sänka kostnader och höja intäkter. Man kan också iaktta, hur storbolagen blir allt bättre rustade för att göra korrekta kalkyler - datamaskiner, operations- och system analys är metoder som först introduceras i dessa jättebolag. Man kan alltså konstatera, att bolagsmännen har starka intressen av, att företaget ska växa och att de själva ska avancera i bolagshierarkin samtidigt som de utbildats i kostnadsminimering och intäktsmaximering.
Detta innebär, att de kommer, i likhet med vad traditionell teori hävdar, att sträva efter största möjliga vinst för företaget. Teorier om själfulla bolag och satisfieringsbeteende kan alltså förkastas.
Härmed avses teorier om att företagen i lika stor utsträckning beaktar ägarnas, de anställdas, konsumenternas och "samhällets" intressen. Med satisfieringsbeteende avses att ett företag inte försöker maximera sin profit utan istället försöker uppnå ett "god tagbart" resultat. Dessa företag återfinns i monopolkapitalets propaganda och endast där.
Men hur kommer dessa företag att bete sig i relation till sina kolleger - de andra jättelika bolagen? Under det skede, när en ny industrigren växer fram, försiggår en hård priskonkurrens - det finns då inga etablerade regler för delning av marknaden. I nästa fas, då de företag som har de högsta kostnaderna slagits ut och de med lägre kostnader fått sina andelar av marknaden fastställda, kommer priskonkurrensen att bannlysas. De stora bolagens stora kapital tillåter inte, att de tar de risker till fullständig ruin, som ett fortsatt konkurrerande med priser skulle innebära. De väljer i stället att agera så, att de gör summan av storbolagens profiter inom respektive industrigren så stor som möjligt. Vi får monopolpriser - alltså samma pris som vi skulle fått om ett enda företag behärskat marknaden.[167]
Vad händer nu om efterfrågan eller kostnadsläget inom en viss industrigren ändras så, att monopolprofitens bevarande kräver en prisförändring?
Det kan ske olika saker beroende på vilket beteendemönster som upprättats inom industrin i fråga. Inom vissa industrigrenar, där ett enda företag har en dominerande ställning på grund av sin storlek eller av andra orsaker, kommer detta företag att ta initiativet till prisförändringar - vi får vad man brukar kalla prisledarskap.
När det finns flera storbolag som är relativt jämstarka, kommer prisändringen att kunna initieras av vilket som helst av dessa bolag. Om inte de övriga accepterar det nya priset, kommer de ej att vidta någon förändring, utan initiativtagaren kommer istället att ta tillbaka sitt utspel och gå tillbaka till det ursprungliga priset.
Nu, säger Baran & Sweezy, kommer de jättelika bolagen inte att vara lika inställda på att sänka som att höja priserna, eftersom en sänkning av priset kan tolkas som ett försök att inleda priskrig.
Vi kan alltså sammanfatta Baran & Sweezy's teori för hur priserna sätts i det monopolkapitalistiska systemet på följande sätt. På de marknader där ett fåtal företag dominerar kommer vi att få priser, som skiljer sig från dem vi fått i en ren monopolsituation endast så tillvida, att priserna blir trögrörliga nedåt. Vi får i genomsnitt en högre prisnivå än vad den "rena" monopolsituationen skulle ha givit.
Hur påverkar detta faktum de teorier, som vi presenterat i tidigare kapitel om hur priser bildas?
Vi har tidigare konstaterat, att för ekonomin i sin helhet kan produktionens värde uttryckas i konstant och variabelt kapital samt mervärde:
W = K + V + M
Vi har också sett, att mervärdemassan (M) under vissa förenklande antaganden är lika med profitmassan (P) och slutligen att konkurrensen utjämnar profitkvoterna till en allmän genomsnittlig profitkvot (P') d.v.s.
P' = M / (K+V)
Produktionspriset för en vara (i) kan alltså uttryckas som
ki + vi + M(Ki + Vi) / (K+V)
där ki och vi anger det konstanta respektive det variabla kapital, som förbrukats vid varans framställande.[168] Om nu konkurrensen på en marknad ersätts med monopol eller karteller kommer varans pris inte längre att stå i något bestämt förhållande till dess värde.
"Om vi talar om monopolpris, så menar vi överhuvud ett pris som blott är bestämt genom köparnas köplust och betalningsförmåga, oberoende av det genom det allmänna produktionspriset liksom av det genom produkternas värde bestämda priset."[169]
Även om monopolen upphäver sambandet mellan värde och produktionspris å ena sidan och marknadspris å den andra, kan vi använda värdeteorin för att analysera i vilken riktning avvikelser emellan dessa äger rum. Det faktum, att varornas värde bestäms av den mängd socialt nödvändigt arbete som åtgår för att producera dem, påverkas självfallet inte av om varornas säljs till högre eller lägre priser beroende på konkurrenssituationen.
Den extravinst monopolisten gör genom sin kontroll av marknaden har inte sin motsvarighet i något värdetillskott. Extravinsten måste innebära en överföring av värde från någon annan grupps inkomst:
"Monopolpriset på vissa varor skulle blott överföra en del av de andra varuproducenternas profit på varorna med monopolpris. Indirekt skulle föreligga en lokal störning i mervärdets fördelning mellan de olika produktionssfärerna, vilken emellertid lämnade gränsen för detta mervärde själv oförändrad. Inginge varan med monopolpris i arbetarens nödvändiga konsumtion, så skulle den höja arbetslönen och därigenom förminska mervärdet, ifall arbetaren som förut erhöll betalning för värdet av sin arbetskraft. Den kunde trycka ned lönen under arbetskraftens värde men detta blott om detsamma stod över gränsen för dess fysiska minimum."[170]
Monopolistens extraprofit hämtas m.a.o. antingen från andra kapitalisters mervärde eller från arbetarnas löner. Om vi antar, att de fackliga organisationerna motverkar kapitalets försök att sänka priset på arbetskraft under dess värde, kan vi koncentrera oss på den överföring som sker mellan olika kapitalister.
Monopolens extraprofiter innebär att de icke-monopoliserade sektorerna berövas en del av sitt mervärde. Kapitalet kommer att försöka gå över från mindre till mer räntabla sektorer. Men dessa senare är monopoliserade, vilket innebär att de inte tillåter nytt kapital att komma in. I stället får vi en spridning av monopoliseringen till sektorer som tidigare präglats av konkurrens. Detta leder till en viss utjämning av profitkvoterna, men denna utjämning kan inte bli fullständig eftersom det alltid finns industrier i vilka det är svårt eller omöjligt att åstadkomma effektiva spärrar för nytt kapital. Vi får i stället en hierarki av profitkvoter med de högsta i sektorer, där produktionen bedrivs i stor skala och det startkapital som krävs är mycket stort, och med de lägsta profitkvoterna i sektorer där startkapitalet är obetydligt och produktionen med fördel kan bedrivas i liten skala.
Även när det gäller ackumulationsprocessen måste vi revidera den teori som utvecklats för konkurrenskapitalismen. Centralisationen, de små kapitalens uppgående i större, kommer att innebära, att ackumulationens omfattning ökar eftersom profitmassan är proportionell mot kapitalens storlek och centralisationen innebär att vi får större kapitalenheter som ackumulerar en växande andel av profiten. Dessutom kommer centralisationen att leda till monopolisering och därigenom till extraprofiter för de stora kapitalen. Bägge dessa omständigheter leder till, att kapitalisterna som grupp kommer att försöka ackumulera en växande del av mervärdet.
Ser vi å andra sidan på möjligheterna att ackumulera, finner vi att monopoliseringen av vissa sektorer gör att tillskottskapitalet är utestängt från dessa sektorer. Detta gäller såväl kapital från de icke-monopoliserade, som kapital från de monopoliserade sektorerna. Då en ökad kapitalmängd i en monopoliserad sektor innebär att den producerade varumängden ökar, kommer priserna inom denna sektor att sjunka. Det redan verksamma kapitalet kommer att ge en lägre avkastning. Detta måste monopolisten ta med i sin kalkyl, när han överväger att ackumulera inom den egna industrigrenen. Det blir därför lönsamt för monopolisten att ackumulera i andra sektorer som visserligen har en lägre genomsnittlig profitkvot, men vars marginella profitkvot för monopolisten är högre.[171]
På samma grunder kommer monopolistens benägenhet att införa innovationer att vara mindre än konkurrenskapitalistens. Den förre måste beakta hur införandet av en innovation påverkar värdet av hans befintliga kapital. Om detta blir föråldrat och måste bytas ut kommer monopolisten att vänta med att införa den nya produktionstekniken till dess det existerande produktionskapitalet ändå måste bytas ut. Konkurrenskapitalisten har däremot allt att vinna på att införa tekniska förbättringar, eftersom han därigenom kan höja sin egen profitkvot över den genomsnittliga och göra en om än tillfällig extraprofit. Innovationerna kommer alltså inte att verka stimulerande på ackumulationen inom de monopoliserade sektorerna i samma utsträckning som i de icke monopoliserade.
Vi har funnit dels att ackumulationens omfattning är större och dels att ackumulationen endast i mindre utsträckning kan äga rum i den monopoliserade produktionsgrenar som har den högsta profitkvoten. Vi får därför i det monopolkapitalistiska stadiet av kapitalismen ett överflöd av kapital i de icke helt monopoliserade industrigrenarna och en ytterligare sänkning av profitkvoten i dessa industrigrenar. Detta innebär, att vi får ytterligare en motsättning inom det kapitalistiska systemet som tenderar att fördjupa de på grund av överproduktion och profitkvotens fall uppkommande kriserna.[172] Men det finns samtidigt motverkande faktorer som är karaktäristiska för monopolkapitalismen. Vi ska här nöja oss med att beakta två av dessa: de växande försäljningskostnaderna och statsapparatens ökade betydelse som reglator av ekonomin.
Innan vi går in på denna fråga ska vi något diskutera ett kontroversiellt inslag i Baran-Sweezy's teori: frågan om var den reella makten över monopolen ligger.
Hilferding för i sin Das Finanzkapital fram tesen, att bankerna genom sin finansiella verksamhet dels kommer att påskynda koncentrationsprocessen och dels kommer att erhålla ett växande inflytande över industrikapitalet. Han går så långt att han hävdar, att man så småningom kommer att få en enda jättelik bank som dominerar hela det existerande industrikapitalet.[173]
Baran-Sweezy kan i Monopoly Capital sägas ha nått en annan ytterlighetsståndpunkt, nämligen att ägandet som sådant endast har en villkorlig makt och att den verkliga makten finns förlagd hos den internt verksamma ledningen.[174]
Till skillnad från Hilferding ger Lenin en definition av "finanskapitalet" som inte ensidigt förlägger makten till bankerna:
"Produktionens koncentration; därur framväxande monopol; bankernas sammansmältning eller sammanväxande med industrin: sådan är historien om finanskapitalets uppkomst och detta begrepps innehåll."[175]
Samtidigt som ovanstående citat inte stöder den av Hilferding framlagda teorin om bankerna som det avgörande maktcentrat under monopolkapitalismen, lägger det en helt annan tonvikt vid bankkapitalet än vad Baran och Sweezy gör.
Maurice Dobb tolkar Lenins definition av finanskapitalet som en beskrivning av hur finansiella aspekter kommer att dominera över sådana som har att göra med produktionen. Detta uttrycks av Maurice Dobb på följande sätt:
"Är inte kärnan i Lenin's definition de finansiella inflytelsernas och drivkrafternas ökande dominans över industrin; vilken förvisso kan komma till stånd lika väl genom att stora industriella sammanslutningar förvandlar sig själva till eller ynglar av sig egentliga finansieringsbolag som genom den 'klassiska' tyska metoden med affärsbanker som finansierade och innehade avgörande inflytande över industrin."[176]
På en punkt är samtliga moderna marxister överens, nämligen att det skett en sammansmältning av industri- och finanskapital i form av personalunioner mellan storbankerna och monopolen på produktionssidan. Man kan alltså säga, att det framför allt återstår två närbesläktade frågor att diskutera. Den ena gäller vilken aspekt av monopolföretagens verksamhet som är den dominerande. Den andra frågan skulle då vara, var makten över dessa företag ligger; hos ägare och finansiärer eller hos dem som sitter i den interna ledningen.
I den mån Baran & Sweezy's slutsats, att det allt överskuggande problemet för monopolkapitalet är att realisera ett växande överskott, accepteras, måste de finansiella aspekterna komma att inta en andraplansroll. Det viktigaste för monopolföretaget blir, inte att försäkra sig om finanskapital utifrån, utan att finna en räntabel placering av det överskott som skapats internt.[177] Vår analys av ackumulationsprocessen och prisbildningen talar för att ett sådant synsätt är rimligt. En av monopolets verksamhetsgrenar, nämligen dess aktiva deltagande i centralisationsprocessen - dess uppköp av mindre producerande företag - kommer att få samma konsekvenser som bankernas finansiering av sådana uppköp fick under ett tidigare skede av monopolkapitalismen. Bolagskapitalet ersätter finanskapitalet som den drivande kraften i centralisationsprocessen.
Ser vi å andra sidan tillbaka på vår framställning om produktionens och ägandets struktur i Sverige, finner vi åtminstone ett nominellt inflytande av avsevärd omfattning från bankernas sida över industrikapitalet. Vi konstaterade där, att de tre största affärsbankerna enbart genom sina investmentbolag hade dominerande ägandeposter inom industriföretag, som svarade för över en fjärdedel av industrins totala produktionsvärde. Det finns ingen anledning att anta, att dessa banker och de ägandegrupper som brukar rubriceras som "de femton familjerna" kommer att förhålla sig passiva i händelse av att deras intressen hotas. Däremot kan man tänka sig en sådan passivitet så länge kapitalets ledande administratörer förvaltar kapitalet i enlighet med dessa intressen. De frågor som framför allt kommer att innebära konflikt mellan ägare och förvaltare har att göra med omstruktureringar, där ett enskilt industrikapital förs samman med ett annat. I Sverige kommer bankerna och de stora ägarna att svara för att beslut av detta slag ges en sådan utformning, att de ger dessa ägarkategorier maximal utdelning i form av tillskott i förmögenhet och makt.
Vi kan alltså avslutningsvis konstatera, att Baran & Sweezys' analys inte i sin helhet kan anses vara tillämpbar på svenska förhållanden. Huruvida den kommer att bli tillämpbar i framtiden torde i viss mån hänga samman med Sveriges ställning i förhållande till EEC. Om Sverige kommer att ingå i en ekonomisk union av detta slag, är det möjligt att de stora västeuropeiska monopolen, som utvecklas i riktning mot "jättelika bolag" av USA-typ, tar över de svenska affärsbankernas och "de femton familjernas" roll. Samtidigt innebär det USA-ägda monopolkapitalets växande inflytande i Västeuropa, att de inhemska ägargrupperna, i såväl Sverige som övriga västeuropeiska länder, kommer att i ännu högre grad än f.n. bli beroende av det USA-ägda monopolkapitalet. Detta skulle tala för att Baran & Sweezy's slutsatser kommer att bli giltiga även för svenska förhållanden. Det gammaldags finanskapitalets makt skulle då i alla avseenden ersättas med monopolkapitalets.
Den rena handeln är, till skillnad från varutransport och lagring av varor vilka är en del av produktionsprocessen, en improduktiv verksamhetsgren. Handelskapitalet köper visserligen arbetskraft, men denna arbetskraft är improduktiv och skapar alltså inget värde. Den profit handelskapitalisten gör är en del av det i produktiva verksamhetsgrenar alstrade mervärdet - den innebär att avdrag från den industriella profiten. På samma sätt är handelskapitalistens samtliga utlägg som hänför sig till ren handel att betrakta som delar av den totala mervärdemassan.
"Den allmänna lagen är, att inga cirkulationskostnader som blott härröra ur varans formförvandling, tillsätta denna något värde. De äro blott kostnader för att realisera värdet eller för dess översättande ur en form i en annan. Det i dessa kostnader utlagda kapitalet (inneslutet i det av detsamma kommenderade arbetet) hör till den kapitalistiska produktionens faux frais. Ersättningen av det samma måste ske ur merprodukten och bildar, såvitt hela kapitalistklassen betraktas, ett avdrag från mervärdet eller merprodukten ..."[178]
Detta sätt att använda mervärdet var under konkurrenskapitalismen av betydligt mindre betydelse än kapitalisternas konsumtion och ackumulation. Under monopolkapitalismen är försäljningskostnaderna på ett helt annat sätt en integrerad del av systemet och deras utveckling kommer att få stor betydelse för systemets utveckling.
"Denna expansion har grundligt påverkat försäljningsansträngningens roll i det kapitalistiska systemet som helhet: från att ha varit ett relativt oviktigt drag i detta system, har den avancerat till en position som ett av dess avgörande nervcentra. I sin betydelse för ekonomin överträffas den endast av militarismen. På samhällslivets alla övriga områden står dess allt genomträngande inflytande inte någon efter."[179]
Reklam är ett medel att förhindra främmande kapital från att tränga in på monopoliserade marknader och ersätter priserna som konkurrensmedel, när ett fåtal jättekoncerner dominerar en marknad.
Ett annat konkurrensmedel är införandet av "nya" varor som till det yttre, men inte till sin funktion, skiljer sig från dem som tidigare producerats.
De kostnader, som det innebär att man ändrar modeller och förpackningar, är av samma karaktär som försäljningskostnader. De tillför inte varan något värde. I en monopoliserad ekonomi kommer dessa växande kostnader för reklam och modellförändringar att vara nödvändiga för den enskilde kapitalisten. Om han avstår från att göra reklam för sina produkter kommer någon av konkurrenterna att beröva honom en del av hans marknadsandel och profit.
För monopolkapitalismen som system innebar växande försäljningskostnader att en allt större del av mervärdet som annars skulle ha ackumulerats kommer att förbrukas på reklam och modellförändringar. Reklamen blir ett sätt att förbruka ett växande överskott. Samtidigt innebär reklamen att den i kapitalismen inneboende tendensen till underkonsumtion motverkas. Olika kreditsystem inrättas för att möjliggöra att arbetarklassen lever över sina tillgångar vilket samtidigt innebär att dess beroende av kapitalet växer. Arbetaren tvingas inte bara sälja sin arbetskraft till kapitalet för att reproducera sig och sin familj. Han måste också, för den lön han erhåller, betala tidigare perioders konsumtion.
Vi har i vår hittills förda diskussion betraktat monopolkapitalismen som ett nationellt slutet system. När vi senare tar upp monopolkapitalismens internationella betydelse i kapitlet om imperialismen, får vi anledning att återigen ta upp staten. Här ska vi därför inskränka oss till dess nationella verksamhetsfält.
Motsättningarna i ackumulationsprocessen tenderar att växa under kapitalismens monopolistiska stadium. För att motverka denna tendens måste statens uppgifter växa i omfattning och då framför allt på det ekonomiska området.
Som vi tidigare konstaterat så kommer kapitalet att fördela sig mycket ojämnt mellan olika produktionsgrenar i ett monopolkapitalistiskt system. Monopolens extraprofiter kräver att produktionen begränsas och därigenom också kapitaltillskotten. Det uppstår svårigheter för kapitalisterna att finna profitgivande placering av mervärdet. Här kommer staten in som garant för monopolprofiternas bevarande. Genom att ta över kapitalkrävande bassektorer inom ekonomin, som inte ger tillräckliga profiter för privatkapitalet, förser stat och kommuner företagen med billig elkraft och billiga kommunikationer. När något företag inte längre ger tillräckliga profiter, träder staten in med subsidier eller övertar staten företaget. Detta har ingenting med socialisering att göra, ty det som församhälleligats är enbart monopolkapitalets förluster. Staten svarar också för att monopolkapitalets behov av arbetskraft tillgodoses. Utbildning och forskning anpassas till monopolkapitalets krav såväl till innehåll som omfattning, samtidigt som arbetsmarknadspolitiken ser till att arbetsköparna ständigt kan få sin vara, arbetskraften, levererad i önskad omfattning oavsett var de finner det mest profitgivande att verka.
Staten träder också själv in som köpare av monopolkapitalets produkter och här kommer militärapparatens behov av ständigt mer raffinerade förstörelsevapen att utgöra en effektiv garanti för den tunga industrins monopolprofiter.
Så länge konkurrenskapitalismen var förhärskande, var statens funktion begränsad huvudsakligen till att garantera de rådande egendomsförhållandena. Statens ingrepp i samhällsekonomin begränsades till ett minimum. Som vi sett förändras detta förhållande, när ekonomin monopoliseras. De växande motsättningarna inom ekonomin och i samhället i sin helhet kräver en mer utvecklad statsapparat. Samtidigt som statens inflytelsesfär utökas sker en inskränkning av parlamentets makt. Arbetarpartiernas inträde i parlamentet påskyndar denna process. Parlamentet ställs alltmer åt sidan till förmån för informella och slutna beslutsenheter. Det bildas korporativa samarbetsorgan mellan statsapparatens och kapitalets företrädare, i vilka de avgörande besluten fattas. Alla de mer omfattande frågor i vilka parlamentet har den formella beslutanderätten bereds i kommittéer och utredningar där monopolkapitalet är väl representerat såväl direkt som indirekt.[180]
Vi ska under denna rubrik framför allt uppehålla oss vid de förändringar i samhällsklassernas läge som inträffat med övergången från konkurrens till monopolkapitalism. I ett senare avsnitt om imperialismen ska vi återkomma till klassernas relativa läge, då med speciell tonvikt på vad monopolkapitalets internationella relationer innebär för detta.
Under konkurrenskapitalismen fanns fortfarande ett betydande mellanskikt av självständiga jordbrukare och hantverkare. Kapitalistklassen växte i omfång genom att sådana element övergick till kapitalistisk produktion samtidigt som industriarbetarklassen fick de största tillskotten från dessa skikt. Under senare delen av 1800-talet kompletterades denna spridning av det kapitalistiska produktionsförhållandet till allt vidare sfärer inom produktionen med en centralisation av kapitalet som vid 1900-talets början gått så långt, att det blir berättigat att tala om monopolkapitalism; de monopolistiska industrikapitalen kan sägas ha intagit den dominerande rollen inom produktionen. Arbetarklassen hade vid denna tidpunkt nått en hög grad av facklig och politisk organisation. Den gamla medelklassen, som bestod av småbönder, hantverkare och småkapitalister, hade kraftigt decimerats.
Från 1900-talets början och framåt fortgår kapitalets koncentration och centralisation i än snabbare takt. Den gamla medelklassen praktiskt taget utplånas samtidigt som ett nytt socialt mellanskikt skapas. Monopolkapitalets växande behov av tekniker och administratörer och statens växande uppgifter kräver en stor stab av välutbildad personal med tekniska och ekonomiska färdigheter. Denna grupp, som växer i storlek allteftersom monopolkapitalismen vidareutvecklas, har en helt annan ställning i förhållande till monopolkapitalet än den gamla medelklassen. Den senares existens hotades av monopolkapitalismens utveckling, medan det nya mellanskiktet i denna ser grunden för sin sociala ställning.
Det nya mellanskiktet får inte förväxlas med kategorin "tjänstemän". Många av de individer som betecknas på detta sätt intar en ställning i produktionsprocessen som är identisk med övriga lönarbetares. Uppdelningen i "arbetare" och "tjänstemän" är ideologiskt betingad och skapar en konstlad skiljelinje mellan individer med samma klasstillhörighet. Det nya mellanskiktet är, som vi senare ska se, inte heller någon klassmässigt enhetlig grupp. Tills vidare ska vi emellertid använda begreppet som beteckning på de tekniker, ekonomer, jurister och administratörer, vilkas antal växer parallellt med monopolkapitalismens utveckling.
J. K. Galbraith har i sin bok Den nya industristaten tilldelat vad han kallar "teknokratin" en strategisk roll för samhällsutvecklingen.[181] Då enligt Galbraith kapitalknapphet har ersatts med knapphet på högt utbildad arbetskraft, kommer teknokratin att ersätta kapitalisterna som härskande klass. Hans resonemang saknar inte beröringspunkter med det som förs i "Monopoly Capital", men är i vissa avgörande avseenden väsensskilt från detta. Vad Galbraith i trogen liberal anda vägrar att se, är att staten utgör ett instrument i den härskande klassens händer. Denna statsapparat agerar idag inom de av monopolkapitalet uppställda ramarna. Detta gäller inte minst regleringen av tillgången på utbildad arbetskraft. (I den mån utbildningsväsendet inte är direkt underställt kapitalet i i form av privata stiftelser etc.). Vad man idag kan iaktta är att den brist på utbildad arbetskraft, på vilken Galbraith bygger sitt resonemang, i samtliga monopolkapitalistiska länder är på väg att fyllas och överfyllas. Vi får en reservarmé av högt utbildade lika väl som av övriga arbetarkategorier.
Man kommer inom det nya mellanskiktet att kunna urskilja två skilda grupper varav den ena består av de till monopolkapitalet starkt knutna toppadministratörer, som är verksamma inom industri och statsapparat. Det andra skiktet, som blir det avgjort största, utgörs av högt utbildade arbetare som trots sin utbildning är hänvisade till tämligen okvalificerade och lågbetalda yrken. Denna senare grupp kommer i växande utsträckning att erhålla löner, som ej motsvarar deras arbetskrafts sociala reproduktionskostnad. Den del av utbildningen som de själva bekostar kommer ej att ersättas i form av löner. Denna sämre lottade grupp utgör förvisso i likhet med resten av arbetarklassen ett hot mot monopolkapitalet, men inte som Galbraith hävdar på grund av att utbildningen eller teknologin blir en knapp faktor, utan genom att det skapas ett utbildningsöverflöd.
Industriarbetarnas antal har under senare decennier minskat eller förblivit oförändrat i de flesta monopolkapitalistiska länder. Antalet lönarbetare inom tjänstesektorn har samtidigt ökat och framförallt inom försäljningssektorn. Arbetarklassen har under den kapitalistiska ackumulationens gång fått vidkännas en relativ försämring av sin samhälleliga ställning till förmån för kapitalet, samtidigt som den materiella standarden har förbättrats absolut sett. Ledningarna i arbetarnas fackliga organisationer och i de socialdemokratiska partierna har till stora delar anammat en korporativ samarbetspolitik gentemot monopolkapitalet. Detta har av många tolkats som en mer varaktig pacificering av arbetarklassen i sin helhet. Vi ska i nästa kapitel återkomma till detta, som vi uppfattar det, kortsiktiga och ytliga betraktelsesätt, i samband med att vi diskuterar imperialismens effekter på samhällklassernas relativa läge.
Det har stundom hävdats, att monopolens inträdande innebär ett upphävande av konkurrensens anarki och av de inneboende motsättningarna i det kapitalistiska systemet. Det förhåller sig precis tvärtom. Monopolen förstärker den kapitalistiska produktionens anarkiska karaktär. De olika monopolen försöker vart och ett att förverkliga sitt mål som står i motsättning till systemet i dess helhet. På detta sätt förstärks skillnader mellan systemets olika delar: vissa industrigrenar når en hög utvecklingsnivå medan andra stagnerar. Den växande mervärdemassan blir allt svårare att placera så att den avkastar profit. Endast genom att använda den till improduktiva och degenererande syften - reklam och vapentillverkning - kan monopolkapitalismen tillfälligt motverka de i systemet inneboende utvecklingslagarna. Enorma produktivkrafter som skulle kunna användas för att tillfredsställa samhälleliga behov fjättras av monopolkapitalismens produktionsförhållanden. Aldrig har klyftan mellan vad som skulle kunna göras med de produktivkrafter som står till mänsklighetens förfogande och vad som faktiskt görs varit större än idag.
I detta kapitel ska vi med utgångspunkt från Lenins teori om imperialismen diskutera den moderna imperialismens kännetecken. Det är ofrånkomligt att USA kommer att ägnas en stor del av uppmärksamheten vid en sådan diskussion. För att anknyta till svenska förhållanden har vi i några avslutande avsnitt tagit upp några speciella aspekter på imperialismen vilka belysts framförallt med svenskt material. Vi tar där upp investeringsgarantierna som ett åskådningsexempel på svensk imperialism och arbetarklassens förhållande till imperialismen.
Inom varje nation förekommer under en given tidsperiod specifika produktionssätt. Ytterligt schematiskt kan vi särskilja slavarbete, feodalism och kapitalism som tre olika sätt på vilka produktion kan bedrivas. Vart och ett av dessa produktionssätt betingar en viss klasstruktur. Denna struktur är sådan att en klass lever på en annan klass' arbete. Slavägaren på slaven, feodalherren på den livegne och kapitalisten på arbetaren. Detta är utsugningens nationella form. Under varje tidsperiod i historien finner man emellertid, att de härskande klasserna i olika nationer inte har nöjt sig med att suga ut det egna landets slavar, livegna och arbetare. De har, ofta under moraliska, rasistiska eller religiösa förevändningar, angripit och lagt under sig andra nationer och därigenom ökat underlaget för sin exploatering. Detta är imperialismens allmänna form.
Då kapitalismen växte fram ur feodalismen hade den internationella utsugningen en avgörande betydelse. De västerländska staternas röveri och exploatering av Asiens, Latinamerikas och Afrikas folk skapade det kapital som kom att ligga till grund för industrialiseringen av dessa stater. På så sätt kan man säga, att imperialismens allmänna form föregick och lade grunden för kapitalismen. Samtidigt blev emellertid imperialismens specifika kapitalistiska form en följd av kapitalismen. Denna form av imperialism förändrade i sin tur karaktär allteftersom kapitalismen utvecklades. När vi i fortsättningen talar om imperialism, syftar vi på imperialismens kapitalistiska form och när vi talar om den moderna imperialismen syftar vi på den form av internationell utsugning som råder i våra dagar.
Lenins arbete Imperialismen som kapitalismens högsta stadium ska få bilda utgångspunkt för vår analys av den moderna imperialismen.[182] Denna skrift innefattar det nya - monopolens framväxt - samtidigt som den representerar det gamla - imperialismens koloniala form. Vi får ett historiskt perspektiv på dagens imperialism och en uppfattning om hur sekelskiftets imperialism var relaterad till den tidigare konkurrenskapitalistiska formen.
Lenins teori om imperialismen är inte en teori enbart om kapitalets internationella verkningar och yttringar. Detta framgår redan av titeln på hans arbete.
Teorin är snarare en fullständig beskrivning och analys av ett särskilt stadium i det kapitalistiska systemets utveckling. Lenin polemiserar i sin skrift mot Kautsky, som hävdar att imperialismen är beroende inte av lagar som är immanenta i det kapitalistiska systemet utan härrör ur finanskapitalets önskan att annektera agrara områden. För att visa sambandet mellan de nationella kapitalens utveckling och kapitalismens internationella verkningar presenterade Lenin en sammanhängande teori, som innefattade hela den kapitalistiska strukturen, d.v.s. såväl de nationella som de internationella särdragen i kapitalismens moderna form och gav denna fas beteckningen den imperialistiska fasen.
Det kännetecknande för imperialismen är enligt Lenin:
(1) Koncentration av produktion och kapital, vilken uppnått ett så högt utvecklingsstadium, att den skapat monopolen vilka spelar en avgörande roll i det ekonomiska livet.
(2) Bankkapitalets sammansmältning med industrikapitalet och uppkomsten av en finansoligarki på grundval av detta "finanskapital".
(3) Kapitalexporten till skillnad från varuexporten erhåller synnerlig betydelse.
(4) Internationella monopolistiska sammanslutningar av kapitalister, vilka delar världen mellan sig, bildas.
(5) Jordens territoriella uppdelning mellan de kapitalistiska stormakterna är avslutad.
Den första av Lenins fem punkter är välbekant. I föregående kapitel visade vi hur kapitalet genom koncentration och centralisation, kommit att hamna på allt färre händer i stort och växande omfång. En av förutsättningarna för produktionens koncentration har varit teknologiska innovationer. Stålframställningen utvecklades från hantverk till storindustri under andra hälften av 1800-talet. Metoder att utvinna olja aktualiserades under samma period, samtidigt som man gjorde stora oljefyndigheter i USA. I slutet av 1800-talet började elektriciteten utnyttjas för industriella ändamål och forskningsrön på kemins område lade grunden för utvecklandet av en kemisk industri. Att dessa innovationer fick stor betydelse för övergången från konkurrenskapitalism till monopolkapitalism framgår av, att 26 av de 50 största industriföretagen i USA verkar inom branscherna stål, olja, elektrisk utrustning, kemikalier och aluminium. Motsvarande siffra för de 50 största företagen utanför USA är 30.[183]
Termen monopol under första punkten tarvar kanske en förklaring. Vid en analys av kapitalets koncentration i USA säger Lenin:
"Nära hälften av totalproduktionen i landet var i händerna på en hundradel av hela antalet företag i landet! Och dessa tre tusen jätteföretag omfattar 258 industrigrenar. Härav framgår tydligt, att koncentrationen på ett visst stadium av sin utveckling så att säga av sig själv leder ända fram till monopolet. Ty för några tiotal jätteföretag är det lätt att komma överens, medan å andra sidan just företagens jätteomfång försvårar konkurrensen och alstrar tendens till monopol."[184]
Lenin menar alltså med monopol ett företag eller en grupp genom avtal till varandra knutna företag som behärskar en så stor del av marknaden, att det blir möjligt att med eller utan ytterligare samgående skapa fullständig kontroll över en marknad.
Finanskapitalets betydelse var också uppe till diskussion i föregående kapitel. Lenin innefattar under denna punkt den hopkoppling av bankkapitalet och industrikapitalet som äger rum vid monopolens framväxt. Bankerna skaffar sig genom sin kreditförmedlande roll insyn i företagen, kontroll och slutligen fullständig makt över de enskilda kapitalen. Samtidigt växer det upp ett litet antal storbanker som totalt kommer att dominera bankväsendet. Dessa storbanker utnyttjar sin makt för att påskynda kapitalets koncentration och monopolbildningen. Detta tar sig bl.a. uttryck i personalunioner av olika slag - industrikapitalister sitter i bankernas styrelser och bankmagnater i storföretagens ledning. Vi får en liten grupp personer som kontrollerar huvuddelen av samhällets kapital. Denna grupp kallar Lenin för finansoligarkin.
Kapitalexportens ökande betydelse är en följd av den ojämna och språngvisa utvecklingen av enskilda industrigrenar och enskilda länder. Denna ojämna utveckling är i sin tur en konsekvens av kapitalismen. Englands monopolställning från mitten av 1800-talet hade enligt Lenin i början av 1900-talet förvandlats till
"för det första kapitalisternas monopolistiska förbund i alla länder med utvecklad kapitalism, för det andra en monopolställning för ett fåtal av de mycket rika länderna, där kapitalackumulationen uppnått gigantiska dimensioner. Det uppstår ett väldigt kapitalöverflöd i de avancerade länderna."
Om kapitalismen kunde använda detta kapital för att förbättra arbetarnas villkor skulle det inte finnas något kapitalöverflöd, men då vore det heller ingen kapitalism. Sådana åtgärder skulle innebära en sänkning av profitkvoten. Kapitalexporten däremot får motsatt effekt. Den leder till att profitkvoterna ökar. Kapitalexporten kan ta formen av produktiva investeringar eller lånekapital. Särskilt den senare formen är samtidigt ett medel att förbättra möjligheterna för avsättning av varuexporten.
De kapitalexporterande länderna har som Lenin säger "bildlikt talat uppdelat världen emellan sig". Men finanskapitalet har också lett till en direkt uppdelning av världen.
De världsomspännande trusterna inom bl.a. elektrisk industri och oljeindustri illustrerar, hur monopolbildningen gått därhän att kampen nu står mellan en handfull storkapital som periodvis antingen delar upp världsmarknaden sinsemellan eller konkurrerar med varandra. Omkring 1897 kunde man urskilja 40 internationella karteller i vilka tyskt kapital tog del. 1910 hade antalet vuxit till 100.
Kapitalets internationalisering har sin politiska motsvarighet i världens uppdelning mellan stormakterna. Vid slutet av 1800-talet tillhörde praktiskt taget hela Afrika, Polynesien och Australien någon av kolonialmakterna i Europa eller USA. Asien var koloniserat till mer än hälften och Sydamerika till mer än en fjärdedel. Lenin konstaterar att världens slutliga delning är genomförd. Det finns inga nya områden att lägga beslag på. Varje förändring måste innebära en omfördelning av de besatta områdena mellan kolonialmakterna. Men är detta med besättande av främmande territorier något nytt? Redan romarna drev kolonialpolitik och förverkligade imperialism. Lenin säger i detta sammanhang följande:
"Men 'allmänna' betraktelser över imperialismen, vilka glömmer eller skjuter i bakgrunden den grundläggande olikheten i de samhällsekonomiska formationerna, urartar oundvikligen till tomma fraser eller skrävel i stil med jämförelser mellan det 'stora Rom och Storbritannien'. Till och med den kapitalistiska kolonialpolitik, som fördes under kapitalismens tidigare stadier, skiljer sig väsentligt från finanskapitalets kolonialpolitik."[185]
Det kännetecknande för det imperialistiska kolonialsystemet är bl.a. att monopoliseringen framtvingar krav på att råvarukällorna ställs under monopolens kontroll. De koloniala besittningarna möjliggör en sådan kontroll. Blotta möjligheten att man i framtiden kan komma att hitta nya råvaror är tillräcklig för att driva finanskapitalet att besätta nya områden. Lenin nämner i det här sammanhanget också kapitalexportens betydelse för kolonialpolitikens utveckling. Den politiska makten i kolonin utnyttjas av monopolen för att slå ut konkurrenterna. Utöver den uppenbara koloniala kontrollen förekommer olika övergångsformer av beroende. Det finns stater som formellt är självständiga men som i realiteten är insnärjda i stormakternas nät genom finansiellt och diplomatiskt beroende.
Av genomgången av imperialismen som kapitalismens högsta stadium drar Lenin följande slutsatser. Det kommer oundvikligen att uppstå konflikter mellan de olika imperialistiska stormakterna eftersom finansoligarkiernas behov av ytterligare expansion kvarstår medan uppdelningen av världen är fullständigt slutförd. Denna motsättning kommer att ta sig uttryck i krig mellan stormakterna. Samtidigt används de genom imperialismen skapade extraprofiterna till att muta en del av arbetarklassens ledare i de imperialistiska staterna. Vi får en arbetararistokrati som drar nytta av det imperialistiska systemet och som försöker förhindra att den stora massan arbetare blir medvetna om den antagonistiska motsättningen mellan arbete och kapital. Men produktionens församhälleligande når en mycket hög nivå samtidigt som tillägnandet av mervärdet bevarar sin privata karaktär och i ökad utsträckning blir skilt från produktionsprocessen. Kupongklippare och rentierer av olika slag tar merparten av mervärdet. Denna motsättning mellan en i växande grad, samhällelig produktion och privat tillägnande kommer att slutgiltigt bryta ned det kapitalistiska systemet.
Låt oss nu efter att ha gått igenom huvuddragen i Lenins teori om imperialismen gå över till att betrakta dagens situation. Vi kan då, på samma sätt som vi gjorde med Lenins teori, ge en sammanfattning i några få punkter. Dessa punkter kan inte ge någon fullständig beskrivning utan deras uppgift bör vara att framhäva det kännetecknande och det särskiljande för den epok vi skall studera.[186]
(1) Rivaliteten mellan de olika kapitalistiska staterna har försvagats och delvis ersatts med kamp för att bevara det imperialistiska systemets omfattning.
(2) USA har intagit rollen som imperialismens ledande stat.
(3) En teknologi, som är internationell till sin karaktär, har vuxit fram.
(4) Statens roll har förändrats från en huvudsakligen passiv åskådare av det ekonomiska livet till ett viktigt instrument för att garantera stabiliteten i monopolföretagens avsättning och understödja monopolens expansion.
(5) Kolonialsystemet har delvis ersatts med andra metoder för kontroll av marknader och råvarukällor.
De två första punkterna kunde av naturliga skäl inte uppmärksammas av Lenin eftersom de är bestämda av historiska betingelser, som inte existerade när Lenin presenterade sin teori. De tre senare är inte några absolut nya företeelser. Redan Lenin kunde fastslå att statsapparaten var ett instrument i finansoligarkins händer och även att imperialismen inte var begränsad till kolonierna utan i många fall tog sig andra mer subtila former. De kvantitativa förändringar som ägt rum på dessa punkter kan emellertid sägas vara av sådan omfattning att man med rätta kan tala om kvalitativa förändringar. Vad är det då som orsakat dessa förändringar i det imperialistiska systemet?
Den ryska revolutionen utgör en vändpunkt i imperialismens historia. De imperialistiska staternas inbördes kamp om kolonier kombineras med en gemensam strävan att återerövra den del av världen som lämnat den kapitalistiska sfären. Denna tendens förstärks ytterligare i och med de territoriella förluster som imperialismen får vidkännas efter andra världskriget; de europeiska folkrepublikerna samt Kina, Kuba och delar av Vietnam och Korea bryter sig under denna period ut ur det imperialistiska systemet, samtidigt som folkens befrielsekamp i Afrika, Asien och Latinamerika utgör ett växande hot mot det imperialistiska systemets fortbestånd. De imperialistiska staternas gemensamma kamp mot socialism och nationellt oberoende innebär inte att motsättningarna mellan dessa stater försvinner. USA's ledande och enande roll motverkar dock att dessa motsättningar kommer till direkta väpnade konflikter.
Före andra världskriget bedrevs den imperialistiska politiken av olika blockbildningar. Blockens sammansättning varierade beroende på den aktuella situationen. Medlemmarna i varje block gjorde ömsesidiga eftergifter för att främja det gemensamma målet - att utöka det territorium som blocket kontrollerade. Situationen förändras efter 1945 då industripotentialen i de europeiska imperialiststaterna hade decimerats kraftigt medan USA hade en produktionskapacitet som var större än vad den egna marknaden kunde utnyttja. Genom att satsa på Marshallhjälpen lyckades USA lägga grunden för sin ledande roll inom det imperialistiska blocket, samtidigt som den förväntade krisen mildrades av den utländska efterfrågan som skapades av hjälpprogrammet. För att få en uppfattning om, hur USA's totala dominans inom det imperialistiska blocket har vuxit fram, kan vi se på några siffror:
| Antal länder i vilka USA-trupper är stationerade[187] | |||||
| 1920 | 2:a världskriget | 1967 | |||
| 3 | 39 | 64 | |||
Att dessa trupper ej förblivit sysslolösa under 60-talet framgår bl.a. av, att USA under perioden 1961-1966 var direkt inblandat i ett tiotal internationella konflikter i Vietnam, Berlin, Taiwan, Panama, Kambodja, Kongo och Dominikanska republiken.
Om vi ser på kontrollen av oljereserver i Mellersta Östern finner vi, att följande omfördelning mellan Storbritannien, USA och andra länder ägt rum.
| 1940 % |
1967 % |
||||
| Storbritannien | 72,0 | 29,3 | |||
| USA | 9,8 | 58,6 | |||
| Andra länder | 18,7 | 12,1 | |||
USA har alltså från att ha kontrollerat mindre än 1/10 1940 nu kontroll över närmare 2/3 av oljereserverna i Mellersta Östern.[188]
Vi kan också konstatera att USA:s ledare inte är omedvetna om den roll USA idag spelar som imperialismens ledande makt. Dean Rusk yttrade som utrikesminister år 1965:
"Men vi vet att vi inte längre kan finna trygghet och välbefinnande i ett försvar och en politik som begränsar sig till Nordamerika, eller västra halvklotet eller Natogemenskapen. Vår planet har blivit mycket liten. Vi måste intressera oss för den i dess helhet: land och vatten, atmosfären och rymden."[189]
Teknologin har under 1900-talets lopp fått en alltmer internationell karaktär. Ett exempel på teknologiska förändringar, som förstärker det imperialistiska systemet, är TV-satelliternas utbyggnad. Dessa utgör ett effektivt medel att skapa en kulturell enhet, centrerad kring USA's ideologi. För att återigen citera Dean Rusk "... Genom att bygga upp ett enda världsomfattande satellitsystem, har vi skapat en ny internationell institution inom vilken amerikanska företag är delägare tillsammans med 45 regeringar."[190] USA's storbolag har enorma resurser avsatta till teknologisk forskning samtidigt som det stöd de erhåller från staten är mycket omfattande. Genom den höga tekniska nivån kan de snabbt exploatera innovationer vilket gör det möjligt för dem att slå ut konkurrenter på andra marknader. USA's storbolag kan stärka sin dominans på de europeiska konkurrenternas bekostnad. USA's ledande roll inom det imperialistiska blocket blir härigenom ytterligare accentuerad.
Statsapparatens funktioner har utökats kraftigt under 1900-talet. Statens uppgift var tidigare inskränkt till att slå vakt om rådande egendomsförhållanden och trygga tillgången på marknader för kapitalet. I och med 1930-talets kriser som omfattade hela det imperialistiska systemet påskyndades den förändring av statens funktioner som tagit sin början redan vid sekelskiftet. De växande motsättningarna inom det imperialistiska lägret och socialismens upprättande i Ryssland krävde en starkare militärapparat. Efter andra världskriget har denna utveckling ytterligare påskyndats. Statsapparaten och kapitalet går, för att bevara och utöka kontrollen inom det imperialistiska systemet, allt oftare samman i internationella operationer.
När imperialistmakterna motvilligt övergav sina forna kolonier, hade dessa dragits in i den kapitalistiska världsmarknaden; deras sociala och ekonomiska system var avpassade till metropolerna.[191] De imperialistiska staterna behöll efter den formella frigörelsen de ekonomiska fördelar, som de tillskansat sig genom politisk och militär dominans. Det finansiella och ekonomiska beroendet bröts ej. De medel med vilka kontrollen över de forna kolonierna bevaras kan delas upp i:
(1) Det internationella bank och valutasystemet
(2) Privata investeringar
(3) Militärutgifter
(4) U-hjälp
USA's banksystem har utvecklats till ett världsomfattande nät av dotterföretag. 1918 fanns det USA-ägda banker i 16 länder, 1950 i 24 och 1967 i 55 länder.[192] Tillväxten hänger samman med att (1) det USA-kontrollerade industrikapitalet ökar i omfattning och spridning (2) militärbaser byggs ut och (3) den militära och ekonomiska hjälpen utökas. USA-dollarns ställning som världsvaluta innebär att alla kapitalistiska länder blir beroende av USA. En förutsättning för dollarns ställning är att USA kan bevara sin ekonomiska och militära styrka samtidigt som dollarns ställning möjliggör för USA att finansiera kontrollen av sin omgivning.[193]
USA's finansoligarki och staten bedriver gemensamt utrikespolitiken. Den av statsapparaten förda antikommunistiska politiken kompletterar och kompletteras av monopolkapitalets behov av att expandera för att hålla profiterna uppe. Det blir m.a.o. meningslöst att göra någon åtskillnad mellan statens och monopolkapitalets mål. Det gemensamma målet är att utvidga kontrollen över allt större områden för att säkra tillgången på råvaror och avsättningen av det egna landets produktion.
Oavsett om vi kan konstatera, att ekonomiska och politiska intressen tenderar att konvergera mot ett gemensamt mål, återstår att belysa den ekonomiska sidan. Utrikeshandeln omfattar för USA mindre än 5 % av BNP och de utländska investeringarna mindre än 10 % av de totala årliga privata investeringarna. Detta är inga stora siffror och om vi isolerat beaktar dessa kommer vi att underskatta utrikessektorns betydelse.
Importen har strategisk betydelse genom att den tillför USA råvaror som är nödvändiga för monopolens och militärapparatens behov. De utländska investeringarna är självförmerande. Den nedplöjning av vinster som äger rum i utlandet registreras ej som kapitalexport. Om vi i stället ser på utrikesmarknadens andel av totalvärdet av de varor som kan exporteras - "rörliga varor" - finner vi att utrikeshandeln upptar c:a 40 % av dessa producerade varor.[194] USA's varu- och kapitalexport växer snabbare än varuproduktionen och investeringarna inom landet. Mellan 1957 och 1965 tredubblades utlandsinvesteringarna medan de inhemska investeringarna blott steg med 50 %.[195] Samtidigt suger militärapparatens efterfrågan upp en avsevärd del av den totala produktionen framför allt inom de kapitalvaruproducerande industrigrenarna. Dessa är av strategisk betydelse för bevarandet av balansen i ekonomin - de är betydligt mer känsliga för konjunktursvängningar än de konsumtionsvaruproducerande sektorerna. Slår vi ihop utlandsefterfrågan och efterfrågan från rustningsindustrin finner vi, att mellan en femtedel och hälften av de kapitalvaruproducerande industriernas produktion absorberas av denna efterfrågan.[196] Detta tillskott till efterfrågan svarar för en andel av profiten för dessa monopolföretag som är större än så. Fullständigt utnyttjande av produktionskapaciteten tillhör undantagen inom USA's industri. Därför kommer de sist producerade och försålda enheterna att realisera mest profit vid försäljningen.[197]
I USA äger de 100 största bolagen över hälften av det totala kapitalet. Dessa jättekoncerner är också de som är mest involverade i utrikeshandel, kapitalexport och leveranser till militärapparaten. Fem företag lägger beslag på en fjärdedel av alla militära leveranser och 25 företag svarar för mer än hälften av dessa kontrakt. Denna maktkoncentration blir än mer påtaglig om vi går över till utlandsinvesteringarna.[198] Detta ger en uppfattning om vilka maktresurser som kan mobiliseras av monopolen och vilket intresse monopolen har av att mobilisera dessa resurser.
Ibland hävdas det att råvarubehovet minskat för de imperialistiska staterna. Så är inte fallet, USA's beroende av främmande råvarukällor har under de senaste decennierna ökat väsentligt. Undersökningar visar att USA under 1900-talet har förvandlats från exportör till importör av råvaror. Låt oss se vad en f.d. president - Ike Eisenhower - har att säga i denna fråga.
"Vi vet att vi är bundna till alla fria nationer inte bara genom en ädel idé utan av ett enkelt behov. Inget fritt folk kan länge till hålla fast vid några privilegier eller uppleva någon säkerhet om det är ekonomiskt isolerat. Trots all vår ekonomiska styrka måste vi ha marknader för överskotten från våra fabriker och från våra jordbruk. Likaså behöver vi för dessa fabriker och dessa jordbruk livsviktiga material och produkter från avlägsna länder. Denna grundläggande lag om ömsesidigt beroende så tydlig den är i fredstid, gäller tusenfalt starkare i händelse av krig."[199]
Vi kan nu, efter denna något komprimerade framställning av USA's ekonomiska beroende av den imperialistiska exploateringens fortbestånd, sammanfatta våra resultat.
(1) USA domineras av ett fåtal monopol som är starkt involverade i utrikeshandel, utlandsinvesteringar och rustningsleveranser.
(2) Kontrollen av råvarukällor utanför USA's gränser blir av växande betydelse.
(3) Antikommunism och profitjakt går hand i hand när det gäller biståndsprogram, militärbaser och propaganda.
Slutligen kan vi konstatera, att Lenins teori med vissa modifikationer, är giltig även idag. Skillnaden är framförallt att USA tagit ledningen för det imperialistiska blocket och att motsättningarna inom detta block temporärt tonats ned i kampen mot de nationella och sociala befrielserörelserna och de socialistiska länderna.
I Sverige befinner sig de avgörande produktionsmedlen i privat ägo och den överväldigande majoriteten av befolkningen måste för att kunna existera sälja sin arbetskraft. Produktionens och ägandets koncentration har, som vi tidigare visat, gått mycket långt. Det ekonomiska system som råder i Sverige förtjänar alltså beteckningen monopolkapitalism. De motsättningar som råder inom den svenska ekonomin är de samma som gäller i övriga kapitalistiska länder som uppnått sitt monopolistiska stadium. De vägar att försvaga dessa motsättningar som står till buds är också identiska. På samma sätt som internationell expansion är ett livsvillkor för USA:s monopolkapital. är den det också för Sveriges. Vi ska här ge ett exempel på hur det svenska monopolkapitalet utnyttjar sin statsapparat för att underlätta en sådan expansion.[200]
Redan 1948 genomfördes i USA ett system för garantier av investeringar i underutvecklade länder.[201] Systemet omfattade endast länder med vilka speciella avtal ingåtts. Dessa avtal är som regel så utformade, att staten i USA övertar de investerande företagens fordringar i händelse av att garantin träder i kraft (subrogationsrätt). Samtidigt ersätts USA:s monopolkapital för hela det kapital, som det gått miste om. Först under 60-talet genomförde de monopolkapitalistiska länderna i Europa samt Japan och Israel liknande system. Av dessa har bland annat Västtyskland utformat sina garantier på samma sätt som USA. Länder med mindre internationell styrka - militärt och ekonomiskt - har fått nöja sig med en utformning som inte innefattar subrogationsrätt. För att monopolkapitalets förluster ska kunna krävas tillbaka, måste staten förfoga över en militärapparat som kan skrämma den syndande till lydnad eller inneha en internationell position, som gör det möjligt att vidta repressalier på det ekonomiska området.
De imperialistiska tredjerangsstaterna föredrar att arbeta i hägnet av USA-imperialismen, medan andrarangsstater som Västtyskland, Frankrike, England och Japan i större utsträckning vill ha fria händer. Vi finner också, att små länder av typ Sverige, Danmark och Nederländerna förespråkat ett mångnationellt investeringsgarantiinstitut och här fått stöd av USA, medan andrarangsstaterna avvisat tanken. När den svenska riksdagen vid ett flertal tillfällen mellan 1961 och 1967 avstod från att fatta beslut om ett införande av ett nationellt system för investeringsgarantier, var det ständigt med hänvisning till önskvärdheten av ett mångnationellt system. Då andrarangsstaternas motstånd förhindrade tillkomsten av ett sådant, återstod endast det nationella alternativet. I maj 1968 antogs i Sveriges riksdag en av den socialdemokratiska regeringen framlagd proposition i frågan.
Det garantiinstitut, som införts i Sverige, har fått samma mer moderata utformning som i övriga imperialistiska tredjerangsländer. Staten ersätter monopolkapitalet för de förluster som detta kan åsamkas på grund av nationaliseringar, sociala störningar i form av krig, uppror eller oroligheter samt restriktioner på överföringar av kapital eller avkastning på kapital från värdlandet. Däremot har man varit realistisk nog att inte införa subrogationsrätt - rätt för staten att träda in som fordringsägare i monopolkapitalets ställe - eftersom en sådan förutsätter att makt kan ställas bakom statens krav på det exploaterade landet.
Garantin gäller bara ett begränsat antal länder. Den gäller för svenska investeringar i Etiopien, Indien, Pakistan, Sudan, Tanzania och Tunisien. Våra begränsade resurser gör koncentration nödvändig, sägs det i propositionen. Samtidigt görs det klart, att den nuvarande begränsningen som mött kritik från monopolkapitalets remissinstanser - Svenska Arbetsgivarföreningen, Sveriges Allmänna Exportförening och Sveriges Industriförbund - är ett experiment och att en framtida utvidgning är trolig. Det svenska monopolkapitalet får för övrigt stöd i denna fråga av LO-ledningen som avgav en remiss, där det hävdades att garantisystemet bör gälla utan inskränkningar för att det ska få en väsentlig betydelse för att främja de svenska företagens insatser för u-länderna.
Någon tröst för det svenska monopolkapitalet torde vara att det är representerat i det korporativa organ som ska administrera garantierna: Exportkreditnämnden. Ett annat för kapitalisterna trösterikt faktum är, att garantiavgifterna blir lägre i Sverige än i andra länder och att därför det svenska folket kommer att bära huvuddelen av bördan. Denna börda blir tyngre ju effektivare de nationella och sociala befrielserörelserna för sin kamp mot inhemska och utländska förtryckare. Detta faktum kommer de ledande inom den korporativa staten inte att försumma att påpeka. Vi har redan, bl.a. i samband med Cabora-Bassadebatten, sett exempel på hur ledande figurer inom stat och fackföreningar tagit tillfället i akt att påtala ett förment gemensamt intresse mellan kapital och arbete vad gäller utsugningen av folken i Södra Afrika.
Det är beklagligt, att beslutet om att införa investeringsgarantier i Sverige inte har ägnats större uppmärksamhet i debatten. Beslutet innebär att det svenska folket exploateras skattevägen för att därigenom stå för den svenska imperialismens omkostnader. Detta kommer att utnyttjas för att skapa subjektiva motsättningar mellan det svenska folket och de nationella och sociala befrielserörelserna. Projekt av typ Lamco och Cabora-Bassa har dominerat diskussionen om den svenska imperialismen. Frågan är om inte det nu fattade beslutet om att införa investeringsgarantier kommer att få konsekvenser som vida övergår de som ett sådant enskilt exploateringsföretag kan få. Beslutet klargör på ett helt nytt sätt, hur den svenska imperialismen i likhet med varje annan nationell imperialism inte kan vara en angelägenhet enbart för "det fria näringslivet". Monopolkapitalet engagerar sin stat när så behövs, och ett sådant behov finns när det gäller att genomföra en imperialistisk expansion.
En fråga, som måste ställas med utgångspunkt från den här förda diskussionen, är huruvida det svenska folket har något objektivt intresse av att understödja det svenska monopolkapitalet i dess imperialistiska aktioner. Vi ska i det närmast följande avsnittet något beröra denna fråga.
Som vi i föregående kapitel hade anledning att påpeka, kan man i dag urskilja tendenser att uppfatta arbetarklassen i de monopolkapitalistiska länderna som pacificerad - d.v.s. som en klass, vilken inte längre hotar det bestående kapitalistiska produktionsförhållandet. Till stöd för detta påstående anförs inte sällan arbetarklassens förhållande till imperialismen. I sin mest extrema utformning går dessa teorier ut på, att arbetarklassen tar del i utsugningen av de ekonomiskt underutvecklade länderna eller att arbetarklassen i sin helhet är mutad av extraprofiter, som erhållits genom imperialistisk exploatering. Arbetarklassen skulle alltså ha ett objektivt intresse av det imperialistiska systemets fortbestånd och vidare utveckling. Det enda som återstår är att vädja till arbetarnas medkänsla med de fattiga folken. Denna "mutteori" kan sägas vara en variant av de teorier om "överflödssamhället", som vi ska bekanta oss med i nästa kapitel.
Imperialismens moderna form har två sidor. Dels är den ett uttryck för kapitalisternas behov av att finna vinstgivande placeringsobjekt för ett växande ekonomiskt överskott, dels innebär den i realiteten, att en del av det överskott, som produceras i mindre ekonomiskt utvecklade länder exproprieras. Dessa båda sidor kan tyckas vara oförenliga och är det också. Den första sidan försvagar tillfälligt kapitalismens inneboende motsättningar, medan den andra, som innebär att överskottet växer, leder till att de på längre sikt ytterligare skärps. De olika sidorna har under olika skeden av kapitalismens utveckling växlat, så att kapitalexporten expanderat under perioder av inhemska kriser, medan till följd av denna expansion expropriationen av andra länders överskott tagit fart under en senare period och därvid fördjupat nästa kris.
Hur förhåller sig dessa bägge fenomen till arbetarklassens absoluta och relativa läge i de monopolkapitalistiska länderna? Under perioder av kapitalexport kommer arbetarklassen att få större svårigheter att bevara sin position, eftersom efterfrågan på inhemsk arbetskraft sjunker och den industriella reservarmén växer. Kapitalimporten kommer att sammanfalla med goda tider för kapitalet samtidigt som den påskyndar den annalkande krisen. Under sådana perioder kan arbetarna genom facklig kamp tillgodogöra sig vissa tillfälliga förbättringar i sin absoluta levnadsnivå.
De förbättringar i den absoluta nivån som kan uppnås under tider av kapitalimport har sitt ursprung i den fackliga kampen och inte i mutor eller andra välvilliga överföringar från kapitalet. Kampens resultat kan emellertid bli beroende på hur stora "marginaler" kapitalet har. Överförandet av överskott från ett land till ett annat kan jämföras med de överföringar som äger rum från en sektor till en annan inom ett kapitalistiskt land. Det faktum, att en del av det mervärde, som produceras i kapitalistisk produktion överförs till handelskapitalister och av dessa används för att köpa arbetskraft, kan inte ligga till grund för att handelsanställda utgör ett mutat skikt av arbetarklassen. Lika lite kan man tala om att arbetarklassen i Sverige eller USA är mutad.
Även om teorin om den mutade arbetarklassen saknar objektiv förankring så har den en subjektiv sådan. Den är snarast att betrakta som en variant av den korporativa ideologi som opportunisterna inom arbetarrörelsen lägger till grund för sitt klassamarbete. Det är ingen hemlighet att ledningen inom LO och SAP förespråkar samarbete med "näringslivet" och därvid syftar på monopolkapitalet. Det är heller inte någon som är ovetande om att ett sådant samarbete bedrivs och ständigt utökas. Möjligen finns det de som tror att detta samarbete har till ändamål att ställa "näringslivet" under socialdemokratisk ledning.
Grundvalen för den socialdemokratiska samarbetspolitiken är föreställning om att "blandekonomi" - en stor statlig sektor - upphäver de i kapitalismen inneboende motsättningarna och att de mest plågsamma uttrycken för kapitalismens inneboende ekonomiska lagar kan utsläckas genom att staten griper in och ställer till rätta. Slutligen tillkommer föreställningen om det pluralistiska samhället - ett samhälle där alla uppfattningar och grupper är företrädda i lika mån och staten tjänstgör som medlare mellan alla dessa meningsriktningar.
Denna uppfattning om hur verkligheten är beskaffad har sin grund i det förhållandet att det ej förekommit några djupa och långvariga kriser sedan slutet på 30-talet. Detta antas framför allt bero på en växande kunskap om hur staten kan stabilisera ekonomin och en tillämpning av denna kunskap. Då vi på flera andra ställen i denna bok behandlar frågan om de ekonomiska lagar som styr monopolkapitalismens utveckling ligger det nära till hands att här avstå från polemik. Vi ska istället visa hur Marx formulerar sig till dem som betvivlade krisernas fortsatta existens:
"Det kapitalistiska samhällets motsägelsefyllda utveckling gör sig för den praktiske borgaren påtagligast kännbar genom växlingarna i det periodiska kretslopp, som den moderna industrin genomlöper, med dess kulmen - den allmänna krisen. Åter är den i antågande, ehuru än så länge i förstadierna. Genom skådeplatsens världsformat liksom genom verkningarnas intensitet kommer den att banka in dialektiken i huvudet t.o.m. på goddagspiltarna i det nya heliga preussisk-tyska riket.[202]
När Lenin påvisade sambandet mellan imperialismen och opportunismen inom arbetarrörelsen gjorde han en distinktion mellan olika skikt inom denna:
"Genom att kapitalisterna erhåller hög monopolprofit inom en av många industrigrenar eller i ett av många länder, får de ekonomisk möjlighet att besticka vissa skikt av arbetarna, för en tid t.o.m. en rätt betydande minoritet bland dem, och dra dem över på bourgeoisins sida inom ifrågavarande industri eller ifrågavarande nation, mot alla de övriga.[203]
Det finns förvisso skikt och grupper som i denna mening kan betraktas som mutade även idag. Det gäller dem ur arbetarklassen som erhållit positioner i samhället som ger socialt anseende och materiella fördelar som har sitt ursprung inte i kamp mot utan i samarbete med den härskande klassen. Imperialismen - kapitalets internationella expansion - utgör den materiella grundvalen för detta samarbete, ty samtidigt som den är ett uttryck för monopolkapitalismens inre motsättningar innebär den ett temporärt försvagande av dessa. Under perioder av försvagade inre motsättningar kommer klasskampen att mattas, klassmedvetandet att försvagas och opportunister och förespråkare för klassamarbete kan ta ledningen inom arbetarrörelsen. De sistnämnda utgör det mutade skiktet inom arbetarrörelsen genom att de erhåller en samhällelig ställning som bygger på klassamarbete och som har mer gemensamt med den härskande klassens än med arbetarklassens. De får till skillnad från arbetarrörelsens flertal ett intresse av att bevara och stärka rådande produktionsförhållanden.
I de flesta av de imperialistiska länderna ger majoriteten av arbetarklassens sitt stöd till detta skikt i passiv eller aktiv form. Att så är fallet innebär emellertid inte att denna majoritet är mutad. Det är att betrakta som ett uttryck för att kapitalismens inre motsättningar för närvarande inte är så skarpa att de tar sig tydliga yttre former. Trots allt tal om överflödssamhällen utgörs den överväldigande majoriteten av arbetarklassen av individer som är egendomslösa och som måste sälja sin arbetskraft för att kunna existera. Bil-, båt- och villainnehav förändrar på intet sätt varken detta förhållande eller det förhållandet att arbetarklassen ständigt under monopolkapitalismen får vidkännas en relativ försämring av sin samhälleliga ställning. När kapitalismens inre lagar tar sig klarare uttrycksformer kommer självfallet kunskapen om dessa lagars innebörd att växa inom arbetarrörelsen och utrymmet för opportunister och samarbetsmän kommer att krympa.
Det finns skäl som talar för att vi är på väg in i en sådan period. Man kan i detta sammanhang peka dels på den skärpning av klasskampen som under de senaste åren ägt rum i Frankrike och Italien och dels på hur i Sverige antalet "vilda strejker" - strejker som inte sanktionerats av ledningen inom de fackliga organisationerna - har ökat i antal under 60-talet. Slutligen måste man beakta den växande politiska aktiviteten bland studerande ungdom som kan iakttas i samtliga monopolkapitalistiska nationer. "Ungdomsrevolter" uppstår inte för att det finns ungdom i ett samhälle - de uppstår på grund av att det finns motsättningar inom ett samhälle och de speglar en skärpning av dessa motsättningar.
Ekonomisk tillväxt och ekonomisk utveckling har inom den borgerliga nationalekonomin först på senare år trätt fram som ett viktigt samhällsekonomiskt problem. När Marx i Kapitalet och på andra ställen påvisar de dynamiska och utvecklande egenskaperna hos det kapitalistiska produktionsförhållandet, var detta en nydaning av den politiska ekonomin, som det tog åtskilliga decennier för den borgerliga nationalekonomin att skapa någon motsvarighet till. Vi ska i detta kapitel utgå från en summarisk diskussion av den borgerliga nationalekonomins tillväxtteorier för att därnäst behandla de dynamiska aspekterna i Marx' teori. En konfrontation mellan den borgerliga nationalekonomins begrepp och teorier å ena sidan och Marx' teori för mervärdeproduktion leder oss över till det ekonomiska överskottet - ett centralt begrepp i modern marxistisk tillväxtteori. Med hjälp av detta begrepp ska vi analysera såväl de utvecklade kapitalistiska ländernas som de underutvecklade ländernas möjligheter att åstadkomma ekonomisk tillväxt inom ramen för ett kapitalistiskt produktionsförhållande. Vi ska avsluta kapitlet med en diskussion av alternativa strategier för ekonomisk tillväxt. Vi kommer där att återknyta bekantskapen med den borgerliga nationalekonomins tillväxtteorier.
Inom den borgerliga nationalekonomin har den ekonomiska tillväxten under de senaste decennierna blivit föremål för ett betydande intresse. På samma sätt som depressionen under trettiotalet tvang fram ett växande teoretiserande om kriser, konjunkturer och samhällsekonomisk balans, kom de socialistiska ländernas snabba ekonomiska tillväxt och den ökande klyftan mellan de f.d. kolonierna och de västeuropeiska länderna att ställa frågor, som den traditionellt statiska och på ekonomisk balans inriktade teorin inte var i stånd att besvara.[204] De teorier, som alltsedan andra världskrigets slut presenterats i ett stort antal variationer, kan uppdelas i två huvudkategorier. Den ena utgörs av teorier om ekonomisk tillväxt i de utvecklade kapitalistiska länderna, medan den andra innefattar teorier om de ekonomiskt underutvecklade ländernas tillväxt. Det förra slaget lägger tonvikten på de inhemska investeringarna och lägger ned stor möda på att förklara vad som bestämmer dessas storlek. I den mån dessa teorier går utöver att vara matematiska formuleringar av statistiskt iakttagbara samband, utgår de som regel från antaganden om kapitalisternas psykologiska reaktioner på förändringar av olika slag.[205] Det är det från produktionsförhållandet och klassrelationer avkönade kapitalet och de som på ett neutralt och opartiskt sätt administrerar detta kapital - företagarna - som har ansvaret för den ekonomiska tillväxten.
När det å andra sidan gäller de underutvecklade länderna, kommer andra modeller till användning för att förklara varför dessa länders ekonomier ej växer lika fort - i den mån de överhuvudtaget växer - som de utvecklade kapitalistiska ländernas. De borgerliga ekonomernas fantasi tar sig i denna fråga mångahanda uttryck. Psykologiska förklaringar, ibland med rasistiska inslag, läggs till grund för teorier om brist på "företagaranda" och kapital.[206] Samtidigt skymtar dessa ekonomer då och då underliga institutioner - mjuka stater och andra asiatiska dramer - som får förklara dels varför inte verkligheten rättar sig efter deras modeller och dels varför en kapitalistisk expansion ej kommer till stånd i de underutvecklade länderna.[207] På så sätt fördöljs, såväl den utsugning dessa länder utsätts för, som denna utsugnings effekter på dessa länders ekonomiska och sociala struktur.
Det historiska utvecklingsförlopp, som skapat de nuvarande ekonomiska och sociala relationerna skjuts i bakgrunden. Om man inte känner till att Indien redan på 1700-talet utvecklat ett omfattande hantverk, som inte låg Englands efter och att feodala och andra primitiva sociala relationer var stadda i upplösning redan innan engelsmännen påbörjat sin "civilisatoriska" uppgift i Indien, ligger det nära till hands, att i likhet med de borgerliga ekonomerna förfalla till förklaringar av den nuvarande situationen i landet, som grundar sig på "naturlagar", eller skillnader i religiös uppfattning, eller i värsta fall på rent rasistiska teorier om den vita rasens överlägsenhet. Om bristen på historiskt perspektiv underlättar de borgerliga ekonomernas ideologiska funktion, gäller detta i minst lika hög grad deras brist på socialt perspektiv.
Genom att framställa nationer och folk som homogena, klasslösa storheter kan de borgerliga ekonomerna åstadkomma plattityder i stil med följande:
"Hushållens sparande har många former. Guld tycks favoriseras i många underutvecklade länder. Det föreligger också en anmärkningsvärd preferens för 'handgripliga' i motsats till 'finansiella tillgångar.' "[208]
Den oinvigde kan av det ovanstående frestas tro, att "hushåll" i allmänhet har icke obetydliga resurser undangömda i sina skattkistor i form av ädla metaller och andra icke-produktiva tillgångar. Han kan också få den uppfattningen, att detta "anmärkningsvärda" förhållande är framförallt en följd av "dåliga idéer" som religiösa fördomar o.dyl. Vi ska litet senare i detta kapitel, genom en historisk och klassmässig analys, finna att de som sparar i de underutvecklade länderna ingalunda är "hushåll" i allmänhet, utan de sociala skikt som befinner sig i en sådan position i produktions- eller cirkulationsprocessen, att de kan exploatera folkets flertal och att just denna, deras position i produktions- och cirkulationsprocessen, innebär att deras ur samhällets synpunkt improduktiva sparformer inte på något sätt kan betecknas som "anmärkningsvärda", utan tvärtom som helt följdriktiga och i överensstämmelse med deras sociala och ekonomiska position.
Det kan finnas anledning att beskåda ytterligare en av den borgerliga teoribildningens säregenheter, som har att göra med de två som tidigare behandlats. Genom att använda modeller, som saknar historiskt perspektiv och är klasslösa till sin karaktär, kommer man att tillskriva underutvecklingen "naturliga" orsaker. Den vanligast förekommande och mest allmänt omfattade orsaken är befolkningsutvecklingen. I de underutvecklade länderna växer befolkningen så snabbt att den eventuella tillväxt som sker i ekonomin, ej är tillräcklig för att dessa länder ska kunna få igång någon ekonomisk utveckling av mer varaktigt slag. Här ser nymalthusianen sin chans. För att visa att barnbegränsning är den mest angelägna av åtgärder för att skapa ekonomisk utveckling, presenterar den borgerlige ekonomen räkneexempel, som visar att en befolkningsökning med två procent jämfört med en stationär befolkning ställer krav på en relativt sett dubbelt så stor investeringsvolym för att en tillväxt à två procent per år ska kunna komma till stånd.[209] Även om, vilket som regel torde vara fallet, beräkningen är klanderfri ur matematisk synpunkt, bär den inom sig hela den borgerliga teorins ideologiskt laddade och lögnaktiga karaktär. Befolkningsutvecklingen hänger intimt samman med den ekonomiska utvecklingen. Den indiske bonden saknar pensionsförsäkring. Hans möjlighet att bli försörjd på sin ålderdom är beroende av, om han har någon familjemedlem i livet som är arbetsför. Det krävs inte, som de borgerliga ekonomerna hävdar, att vi förändrar den indiske bondens attityder utan istället att de sociala och materiella villkor, som gör det nödvändigt för honom att sätta många barn till världen, förändras. Den indiske bondens rationalitet är minst lika väl utvecklad som de kapitalisters, som drivna av de ekonomiska lagarna, fört det kapitalistiska systemet från en kris till nästa - hela tiden med rationaliteten som ledstjärna. Om man som den borgerliga ekonomiska teorin har ett synfält som inte går utöver det kapitalistiska produktionsförhållandet och man med ekonomisk utveckling avser utveckling av de underutvecklade länderna med bibehållande av deras band till det imperialistiska blocket, kommer man förvisso att finna en mångfald "onda cirklar".[210] Befolkningsutvecklingen blir ett av flera oöverstigliga hinder, som dessa länder står inför. Om å andra sidan denna ideologiskt betingade begränsning sprängs, kommer man att finna, att de "onda cirklarna" inte är annat än det ytliga uttrycket för ett utvecklingsfientligt produktionsförhållande, som förhindrar ett rationellt bruk av de underutvecklade ländernas resurser.
Den strategi för ekonomisk utveckling, som de borgerliga ekonomerna rekommenderar de underutvecklade ländernas härskande klasser, tar sin utgångspunkt i det traditionella kapitalistiska utvecklingsmönstret. Då arbetskraftsöverskott och kapitalbrist är karaktäristiska för ekonomisk underutveckling, måste en optimal fördelning av resurserna förutsätta, att investeringar framför allt görs i arbetsintensiva metoder och sektorer. Då de arbetsintensiva sektorerna utanför jordbruket framför allt är sådana som producerar konsumtionsvaror, måste behovet av produktionsmedel även i fortsättningen tillgodoses genom import från ekonomiskt mer utvecklade länder. Allteftersom kapitalackumulationen fortskrider och arbetsöverskottet inom jordbruket sugs upp, kommer det att bli lönsamt att investera i mer kapitalintensiv produktion och när ett land slutligen uppnått en ekonomiska utvecklingsnivå motsvarande den som finns i USA och Västeuropa, kan det göra huvuddelen av sina investeringar inom den kapitalvaruproducerande sektorn och importera livsmedel och råvaror från mindre utvecklade länder.
Den strategi som ovan skisserats härleds ur teorin om komparativa fördelar och marginalproduktivitetsteorin, vilka båda ger vägledning, när det gäller att vid en viss given tidpunkt fördela tillgängliga resurser på ett så effektivt sätt som möjligt. När dessa teorier läggs till grund för en utvecklingsstrategi, som rimligen måste omfatta en längre tidsperiod, blir resultatet inte bara en serie felslut, utan också felslut med reaktionära implikationer. Att lägga tonvikten på arbetsintensiv produktion och import av kapitalvaror är liktydigt med att rekommendera de utvecklade länderna att förbli leverantörer av råvaror och livsmedel och avnämare av de monopolkapitalistiska företagens mer avancerade produkter.[211] Återigen har vi träffat på en av de ideologiska teorier, som karaktäriserar den borgerliga nationalekonomin. Vi ska återkomma till frågan om hur en strategi för ekonomisk tillväxt i de underutvecklade länderna bör utformas.
När Marx studerade kapitalismen som ekonomiskt system, var det utifrån insikten om de ekonomiska förhållandenas betydelse för samhällsutvecklingen i dess helhet. Studiet av ekonomin var för honom en förutsättning för förståelsen av hur samhället utvecklades och förändrades. Denna inriktning på samhällsförändring kom också att prägla Marx' ekonomiska teori. I sitt ekonomiska studium byggde han vidare på teorier, som utformats av tidigare ekonomer, som Adam Smith och David Ricardo. Marx hade gemensamt med den sistnämnde dennes inriktning på frågan om vart kapitalismen var på väg. Men medan Ricardo tog fasta på de hinder, som låg i vägen för kapitalismens fria utveckling och därigenom kom att hamna i en teori om ett stationärt samhälle, tog Marx fasta på det revolutionerande i det kapitalistiska produktionsförhållandet.
Vi har i tidigare kapitel i denna bok behandlat en del av de slutsatser som Marx härleder ur sin analys. Teorierna om den utvidgade reproduktionen, den kapitalistiska ackumulationen och profitkvotens tendentiella fall är samtliga slutsatser om utvecklingen, som härletts ur en abstrakt analys av kapitalismen. Man skulle kunna säga, att var och en av dessa teorier tar upp olika aspekter på ekonomisk utveckling på lång sikt, medan exempelvis kristeorin lägger ett mer kortsiktigt perspektiv. För att använda ett modernt språkbruk kan vi sammanfattningsvis säga, att det i den marxska teorin inte ingår bara tillväxtteori (utvidgad reproduktion) och konjunkturteori (kristeori), utan också en teori för strukturomvandling (lagen om den kapitalistiska ackumulationen med dess betoning av kapitalets koncentration och centralisation). Alla dessa grenar har först under senare år ägnats uppmärksamhet av den borgerliga nationalekonomin och det är påtagligt, hur de framställs som "nya idéer" skapade av olika borgerliga ekonomer, trots att det säregna för dem är den tröghet med vilken de trätt in i den borgerliga "tankevärlden".
Inom den borgerliga nationalekonomin spelar begrepp som sparkvot och konsumtionsbenägenhet en central roll. Dessa begrepp anger, hur inom ett land produktionsresultatet fördelas mellan konsumtion och ackumulation. Däremot förs aldrig någon diskussion om, hur det kommer sig, att det i ett land produceras ett överskott som kan ackumuleras.[212] Inom ramen för det kapitalistiska produktionsförhållandet har det alltid producerats en merprodukt och några utblickar utanför denna ram har den borgerlige ekonomen aldrig gjort. Den borgerliga nationalekonomin tar istället fasta på ett iakttagbart samband mellan produktionens volym och den andel av produktionen som används för konsumtion. Att vi kan notera och kvantifiera ett förlopp innebär emellertid inte att vi förklarat och förstått förloppet.
Om vi ska kunna förstå och förklara varför ett visst tillväxtmönster kommer till stånd under en samhällsformation måste vi undersöka mervärdeproduktionens betingelser d.v.s. de sociala förhållanden som bestämmer merproduktens ursprung, dess storlek, dess fördelning mellan olika sociala skikt och dess användning. Det är därför som en ekonomisk teori, vilken nöjer sig med att registrera statistiskt iakttagbara samband och inte frågar efter dessas ursprung är helt oanvändbar för en vetenskaplig analys av ekonomisk tillväxt. Det är också därför vi i nästa avsnitt ska presentera ett begrepp - det ekonomiska överskottet - med vars hjälp vi kan blottlägga den sociala verklighet som bestämmer, hur ett samhälle kommer att tillvarata sina möjligheter till ekonomisk expansion.
Ett sätt att få en uppfattning om ett lands möjligheter att åstadkomma ekonomisk tillväxt är att studera hur mycket av landets produktion som faktiskt används för att förstärka produktionsapparaten. Ett annat sätt är att betrakta, inte bara de faktiskt gjorda investeringarna, utan också förhållandet mellan den med givna produktivkrafter möjliga produktionen och de för denna produktions förverkligande nödvändiga kostnaderna. Såväl termen "möjlig" som termen "nödvändig" innebär, att vi går utöver det rådande produktionsförhållandet och att vi alltså betraktar inte vad som är möjligt och nödvändigt under det kapitalistiska produktionsförhållandet utan vad som är möjligt under ett rationellt samhällssystem. Båda dessa vägar att studera ett lands möjligheter att åstadkomma ekonomisk tillväxt förutsätter att tillväxten i första hand är beroende av kapitalackumulationen. Om vi i likhet med borgerliga ekonomer vore av den uppfattningen att utvecklingshämmande attityder och befolkningsutveckling är det centrala för ekonomisk tillväxt, blir det inte längre särskilt intressant att undersöka vare sig den faktiska eller den potentiella kapitalackumulationen.
På vilka olika sätt kan ekonomisk tillväxt åstadkommas? Vi kan i likhet med vad Paul Baran gör i sin Political Economy of Growth särskilja tre principiellt skilda förändringar som leder till ekonomisk tillväxt:
(1) Ökat resursutnyttjande under givna organisationsformer och med oförändrad teknologi.
(2) Produktivitetshöjande organisatoriska förändringar.
(3) Förstärkande av samhällets tekniska utrustning,
a. kvalitativt, genom införandet av en ny och mer utvecklad teknologi,
b. kvantitativt, genom ett utökande av produktionsapparatens omfång.[213]
I den mån det finns maskiner som inte utnyttjas till sin fulla kapacitet eller arbetare som saknar sysselsättning, kan den första vägen utnyttjas. Det andra alternativet innebär, att man t.ex. genom överföring av arbetskraft från en mindre till en mer produktiv sektor eller effektivare utnyttjande av råmaterial och bränsle höjer de redan sysselsatta arbetarnas produktivitet. Om förslitna produktionsmedel ersätts med mer moderna och tekniskt effektivare maskiner innebär detta, att man under i övrigt oförändrade villkor kan producera mer än tidigare, på samma sätt som en ökning av antalet maskiner, eller precisare uttryckt, en ökning av nettoinvesteringarnas omfattning får till stånd en höjning av samhällets produktionskapacitet.
Dessa tre, som vi framställt dem, skilda vägar att höja samhällets produktion är sinsemellan beroende av varandra. Samtliga utom den sista (3b) kan äga rum utan att nettoinvesteringar förekommer. Vid närmare påseende visar det sig emellertid, att även de övriga alternativen vanligtvis måste förknippas med någon form av nettoinvestering. För att kunna sysselsätta fler arbetare eller för att tidigare obrukad jord ska kunna utnyttjas, måste det i många fall ske en ökning av produktionsmedlens omfattning i form av maskiner respektive redskap och gödningsmedel. För att organisatoriska förändringar, som innebär ett rationellare utnyttjande av råvaror och arbetskraft, ska komma till stånd, krävs förändringar av produktionsprocessen, som i sin tur kräver att ny teknik införes, vilket endast kan ske i begränsad omfattning, såvida det ej sker någon nettoinvestering. Den för åstadkommande av ekonomisk tillväxt viktigaste faktorn är alltså nettoinvesteringarna.
Det begrepp som med utgångspunkt från ovan förda diskussion, blir det centrala vid vår analys av monopolkapitalismens ekonomiska tillväxt är det ekonomiska överskottet i dess olika former. Vi ska här särskilja tre olika former av ekonomiskt överskott.
För det första ska vi betrakta nettoinvesteringarna - den del av överskottet som ackumuleras. Uttryckt i pristermer är denna storhet identisk med nettonationalprodukten minskad med summan av offentlig och privat konsumtion.[214]
För det andra ska vi betrakta det vi här kommer att kalla det objektiva överskottet. Detta motsvarar, uttryckt i värdetermer, den totala i samhället producerade mervärdemassan. Om vi återanknyter till ett tidigare i denna bok utnyttjat presentationssätt kan vi skriva:
K + V + M = W
Med Marx' terminologi kan vi kalla W för produktvärdet och (W-K) eller (V+M), vilka är identiska, för värdeprodukten. Värdeprodukten motsvaras uttryckt i priser i stort sett av nettonationalinkomsten, ty V, det variabla kapitalet, utgörs av de inom varuproduktionen verksamma arbetarnas löner och M, mervärdemassan, skapas inom varuproduktionen och fördelas mellan nettoinvesteringar å ena sidan och olika improduktiva sektorer i samhället å den andra. Sådana improduktiva sektorer är kapitalisternas konsumtion, krigsmakten, prästerskapet, den statliga förvaltningen, kreditinstituten, och handelssektorn. Distinktionen mellan produktivt och improduktivt arbete innebär här ingen moralisk eller välfärdsekonomisk bedömning. En lärare eller en läkare utför förvisso ett lika nyttigt arbete som en tekniker eller en ingenjör, trots att de förstnämnda som regel inte byter sin arbetskraft mot kapital. De producerar inget mervärde och är alltså improduktiva. Det objektiva ekonomiska överskottet är sålunda detsamma som skillnaden mellan värdeprodukten och lönesumman för de inom kapitalistisk produktion verksamma arbetarna.[215]
För det tredje ska vi betrakta det potentiella ekonomiska överskottet. Detta begrepp omfattar skillnaden mellan vad som med en mer rationell organisation skulle kunna produceras och de för denna produktions förverkligande nödvändiga kostnaderna. Vi ska ta fasta på två olika slag av avvikelser mellan det objektiva överskottet och det potentiella. Det ena slaget omfattar produktionsbortfall på grund av arbetslöshet, medan det andra omfattar produktionsbortfall på grund av outnyttjad produktionskapacitet eller annan form av irrationell organisation av produktionen.[216]
Vart och ett av de tre överskottsbegreppen kan sägas ha två olika sidor: en kvantitativ - dess absoluta och relativa storlek - och en kvalitativ - hur exproprieras överskottet, vem exproprierar det och hur används överskottet. Relationen mellan nettoinvesteringarna och det objektiva överskottet ger oss en uppfattning om, hur stor del av merprodukten som satsas på ekonomisk tillväxt. Skillnaden mellan det objektiva överskottet och det potentiella visar hur väl en viss samhällsformation tar tillvara de vid en viss tidpunkt existerande produktivkrafterna. Vill vi å andra sidan analysera hur en samhällsformation förhåller sig till produktivkrafternas utveckling måste vi framför allt göra en kvalitativ analys av det objektiva överskottet. Först sedan vi klargjort var merprodukten produceras, vem som lägger beslag på den och hur den används, kan vi göra en välgrundad bedömning av i vilken mån en viss samhällsformation innebär en sporre för eller en hämsko på produktivkrafternas utveckling.[217]
En historisk tillbakablick visar att den ekonomiska tillväxten var starkt begränsad i förkapitalistiska samhällen. Visserligen kunde variationer förekomma vad beträffar produktionsresultatet inom jordbruket, men kontinuerlig ekonomisk tillväxt ägde inte rum. Det är först med kapitalismens genombrott som mer avsevärda förändringar i produktionens omfattning blir ett naturligt led i samhällsutvecklingen. Det kapitalistiska produktionsförhållandet leder till att produktionstekniken genomgår en revolutionerande utveckling. Massan produktionsmedel och deras effektivitet ökas ständigt genom de enskilda kapitalisternas profitbegär. Konkurrensen driver kapitalisten till ständigt växande ackumulation och till att uppta den mest moderna produktionsteknik, som står att finna. Detta är konkurrenskapitalismens tillväxtmönster. Vi såg i vårt kapitel om monopolkapitalismen, att i detta senare stadium i kapitalismens utveckling kapitalackumulationen kommer att äga rum under andra betingelser. Vi finner också att den ekonomiska tillväxttakten stagnerar, när de kapitalistiska länderna övergår från konkurrens- till monopolstadiet.
Mellan 1820 och 1860 växte industriproduktionen i England med något över 3 % per år. Från 1880 fram till våra dagar har tillväxttakten genomsnittligt legat på 2 %. Om vi ställer samman den industriella expansionstakten i ett antal länder för tidsperioden 1880-1914 respektive 1913-1958 finner vi ytterligare data som överensstämmer med ovanstående.
| Genomsnittlig industriell tillväxt.[218] | ||||
| 1880-1914 | 1913-1958 | |||
| England | 2 % | 2 % | ||
| Frankrike | 3 % | 2 % | ||
| Tyskland | 5 % | 2,4 % | ||
| Italien | 5 % | 3 % | ||
| USA | 5 % | 3 % | ||
| Sverige | 6 % | 3 % | ||
Vi kan med utgångspunkt från de överskottsbegrepp, som utvecklades i föregående avsnitt, analysera orsakerna till denna uppbromsning av den ekonomiska tillväxten. Det ligger då nära till hands att välja det mest utvecklade monopolkapitalistiska landet, USA, som studieobjekt.
Det objektiva överskottet växer i USA såväl absolut som relativt, d.v.s. jämfört med det totala produktionsvärdet. Vi finner också, att det potentiella överskottet växer framförallt till följd av att produktionskapaciteten i de dominerande monopolistiska företagen utnyttjas i allt mindre omfattning. Vi finner slutligen att nettoinvesteringarna utgör en relativt sett konstant andel av produktionsvärdet. Dessa iakttagelser gäller den långsiktiga utvecklingen och bygger på resultat som erhållits av Baran och Sweezy i Monopoly Capital.[219] Hur används då det växande objektiva överskottet? Det är framför allt en sektor, som sugit upp denna tillväxt, den militärapparat, som USA byggt upp för att kunna fullgöra sin uppgift som det imperialistiska blockets dominerande stat. Den därefter följande mest expansiva av de överskottsabsorberande sektorerna är försäljningsindustrin i USA. De grenar inom den offentliga sektorn som förutom försvaret expanderat är framförallt offentliga investeringar i kommunikationer i form av motorvägar och genomfartsleder i de större städerna.[220]
Om vi skulle försöka oss på en värdering av dessa fakta om USA:s ekonomi, kan vi ta fasta på följande punkter:
(1) Nettoinvesteringarna utgör en avtagande andel av det objektiva överskottet. En allt mindre del av merprodukten används m.a.o. till investeringar. Eftersom, vilket vi tidigare kunnat konstatera, investeringarna har avgörande betydelse för den ekonomiska tillväxten kommer produktivkrafternas utveckling att hämmas av en sådan resursfördelning.
(2) Militärapparaten har hittills absorberat huvuddelen av överskottets tillväxt. I den mån expansionen av militärapparaten bromsas upp kan man förvänta sig en motsvarande nedgång i den ekonomiska aktiviteten och en minskning av det objektiva överskottet samt en motsvarande ökning av arbetslösheten och en sänkning av utnyttjandegraden inom industrin.
Då de olika staterna inom det imperialistiska blocket är starkt bundna till varandra genom den internationella handeln, det internationella betalningssystemet, kapitalöverföringar och genom olika avtal kommer USA:s utveckling inte att kunna undgå att sätta spår i de övriga imperialistiska länderna. (Detta gäller inte minst ett för internationella ekonomiska svängningar känsligt land som Sverige) En analys ger alltså vid handen, att det finns två alternativa utvecklingsvägar för de monopolkapitalistiska länderna. Den ena innebär att dessa länder med USA i spetsen fortsätter att expandera den militära sektorn i minst lika snabb takt som hittills och att därigenom sysselsättningsgraden hålls kvar på en nivå, som är hög mätt med det kapitalistiska samhällets måttstock. Det andra alternativet är en "överproduktionskris", som får konsekvenser inom hela den kapitalistiska sfären, eller, uttryckt på ett annat sätt en återgång till det normalläge, som monopolkapitalismen befann sig i under hela trettiotalet.
Är det sannolikt att militärapparaten även i framtiden ska kunna fungera som monopolkapitalets hävstång på det sätt den gjort under femtio- och sextiotalet? Det finns vissa skäl att betvivla detta. För det första innebär den teknologiska utvecklingen att även mycket stora ökningar av rustningskostnaderna endast får obetydliga effekter på sysselsättningsnivån. För det andra medför den vapenutveckling som kapprustningen mellan USA och Sovjet kommit att innebära, risker även för monopolkapitalets fortvaro. För det tredje innebär en satsning på improduktiva utgifter en ökning av inflationstakten; den köpkraft, som skapas inom rustningsindustrin och inom militärapparaten har inte sin motsvarighet i ett ökat utbud av varor, som kan konsumeras eller investeras. Det faktum att den teknologiska nivån inom vapenutvecklingen minskat de sysselsättningsskapande effekterna av militärutgifterna och att rustningsnivån nått en så hög nivå att den börjar bli en säkerhetsrisk även för den härskande klassen, talar för att även denna väg ur undersysselsättning och kris kommer att bli allt svårare att beträda. Vi kan till detta foga de ökade motsättningarna inom de monopolkapitalistiska länderna och den skärpning av kampen som under 60-talet ägt rum i tredje världen.
Vi konstaterade att den borgerliga nationalekonomins oförmåga att förklara underutvecklingens orsaker till stor del berodde på dess ohistoriska karaktär. Det blir därför naturligt att börja med att studera de ekonomiskt underutvecklade ländernas historiska bakgrund. Denna är ingalunda enhetlig. Vi har därför valt att å ena sidan ta fasta på den historiska utvecklingen i ett av dessa länder - Indien - och å den andra försöka peka på de för de underutvecklade länderna gemensamma historiska erfarenheterna. Indiens historia illustrerar på ett utomordentligt sätt sambandet mellan kapitalismens expansion i Västeuropa och stagnationen och tillbakagången i de idag underutvecklade länderna. Det är därför ingen tillfällighet att Indien i många framställningar fått exemplifiera detta förlopp.[221]
Indien uppvisade under 1600- och 1700-talet alla de kännetecken och utvecklingstendenser, som i Västeuropa ledde fram till kapitalistisk expansion och så småningom till den industriella revolutionen. Ett väl utvecklat hantverk, en koncentration av kapital inom handelssektorn och en växande produktivitet inom jordbruket - alla dessa för kapitalismens expansion nödvändiga inslag - förelåg. Den engelska kolonisationen innebar att dessa tendenser ej kunde göra sig gällande i Indien. Samtidigt hade den en avgörande betydelse för att samma tendenser förstärkts i England och ledde fram till den industriella revolutionen i detta land. Kolonisationen kan analyseras ur två olika aspekter. Den ena är kvantitativ och har främst med överskottets överförande från koloni till metropol att göra, medan den andra är kvalitativ och berör effekterna av kolonisationen på det koloniserade landets ekonomiska struktur. Vad den första av dessa aspekter anbelangar, innebar den engelska kolonisationen av Indien en ofantlig expropriation av detta lands objektiva överskott. Expropriationens omfattning har för perioden 1750-1820 uppskattats till närmare en miljard engelska pund. Som jämförelse kan nämnas att det totala kapitalet för samtliga i Indien verksamma bolag vid slutet av 1800-talet endast uppgick till 36 miljoner pund.
För de första decennierna under 1900-talet har man beräknat att England genomsnittligt exproprierat ca 10 procent av Indiens bruttonationalprodukt samtidigt som den direkta utsugningen med all sannolikhet måste ha varit av än större omfattning under de föregående seklen.[222] Till detta måste ytterligare fogas den mer indirekta form av utsugning som handel på ofördelaktiga, av kolonialmakten satta villkor, inneburit för Indien. Redan denna rent kvantitativa aspekt ger en förklaring till att den begynnande kapitalismen i Indien inte resulterade i någon kapitalistisk expansion. Expropriationen av det överskott som producerades och dess överförande från Indien till England innebar att grundvalen för den kapitalistiska ackumulationen rycktes undan samtidigt som den för England innebar att denna grundval breddades och stärktes.
Den struktur som idag präglar Indien ekonomiskt och socialt är också den en frukt av den engelska kolonisationen. Den brittiska administrationen i Indien och det utländska kapitalet genomförde tillsammans en total nedbrytning av den samhällsorganisation, som rådde i Indien vid koloniseringen. Genom att införa skatt på jord bröt man ned bygemenskapen och lämnade fältet fritt för ockrare och parasitiska jordägare, som kunde utnyttja småböndernas försämrade läge. Genom handels- och ekonomisk-politiska åtgärder bröt man ned såväl det blomstrande hantverket som de ansatser till inhemsk kapitalistisk industriproduktion, som fanns i landet. Dessa åtgärder innebar också att det inhemska kapitalet hänvisades till kommersiell eller finansiell verksamhet i liten skala. Vi ser alltså att den kvalitativa aspekten visserligen visar hur vissa hinder för en kapitalistisk expansion bryts ned, hur ett proletariat skapas och hur penninghushållningen utvecklas. Men samtidigt sätts nya och svårare hinder i de gamlas ställe. Sammanfattningsvis kan vi konstatera att Indien genom kolonisationen drabbades av den kapitalistiska ackumulationens sämsta sidor utan att någonsin få se de som är dess progressiva attribut, d.v.s. utvecklingen av produktivkrafterna till en ny och högre nivå.
Vad vore Indien idag utan sitt förflutna som koloni? Frågan är i högsta grad hypotetisk, men vi kan genom att studera det enda asiatiska land, som aldrig blev helt underkastat kolonialmakterna - Japan - peka på en för Indien möjlig utveckling. I Japan var den feodala strukturen fastare etablerad och mer utvecklingsfientlig än i de flesta andra länder. Inom ramen för denna struktur ägde en betydande ackumulation av privata förmögenheter rum, i första hand i form av penning- och finanskapital. Detta lade grunden för framväxten av en nationell bourgeoisi, som kom att utgöra den tongivande gruppen under den borgerliga revolution som ägde rum under senare delen av 1860-talet. Efter revolutionen kom denna bourgeoisi, starkt understödd av staten, som genom direkta ingrepp i ackumulationsprocessen i form av löneregleringar och offentliga industriinvesteringar kom att spela en avgörande roll för den industriella revolutionen i Japan, att utgöra en inhemsk kapitalistklass. Om vi ska förstå vad som orsakat, att Japan till skillnad från övriga länder i Asien genomgått en kapitalistisk expansionsprocess, måste vi undersöka varför Japan till skillnad från de övriga ej kom att hamna under utländsk dominans.[223]
De historiska orsakerna till Indiens underutveckling är inte specifika för detta land. De tidigare för detta land påvisade förutsättningarna för en kapitalistisk expansion kunde man under 1600- och 1700-talet återfinna i flera länder i Asien och Latinamerika. De västeuropeiska ländernas koloniala expansion kom, för samtliga dessa länder, att innebära att de berövades det inhemskt producerade ekonomiska överskottet och att deras ekonomiska och sociala struktur utformades så att denna utsugning kunde fortgå. De onda cirklar vi hade anledning att beröra i samband med att vi diskuterade den borgerliga nationalekonomin har sitt ursprung i denna struktur. Brist på föda, analfabetism och andra tecken på underutveckling utgör alltså inte de avgörande hindren för ekonomisk utveckling. De är resultat av fortlevande utvecklingsfientliga samhällsformationer, som idag hålls vid liv av imperialismen i dess neokoloniala form. Genom att betrakta hur det objektiva överskott, som produceras i de underutvecklade länderna, fördelas mellan olika mottagargrupper och hur det används av dessa grupper ska vi belysa hur dessa länders ekonomiska och sociala uppbyggnad tillvaratar de utvecklingsmöjligheter, som står till buds.
Överskott alstras inom jordbruk och inom inhemsk och utländsk industriell produktion. Dess absoluta storlek är obetydlig p.g.a. produktivkrafternas ringa utveckling. Samtidigt är dock överskottets andel av den totala produktionens värde d.v.s. dess relativa storlek betydande. Vi måste alltså söka underutvecklingens orsaker inte främst i brist på överskott utan i överskottets användning.
Det ekonomiska överskott, som skapas inom jordbruket, sugs framför allt upp av ockrare, improduktiva jordägare, handelskapitalister och staten. Ockrarkapitalet spelar en viktig roll i dessa länder, där lånemarknaden är monopoliserad av lokalt verksamma penningkapitalister och där tillfälliga bakslag i jordbruket kräver penningtillskott för att klara av skattepålagor och arrenden, som måste betalas i reda pengar. Räntor på upp till 200 procent är ingen ovanlighet. I många fall ägs jorden av personer, som är bosatta i städerna och som arrenderar ut sin jord till egendomslösa, vilka då får betala en stor del av det de producerar i arrende. När slutligen den enskilde bonden eller arrendatorn ska sälja sina produkter ställs han som regel inför en köpare, som helt behärskar den lokala marknaden och som genom sin monopolistiska position kan pressa sina inköpspriser långt under varans värde. Det överskott, som på detta sätt, genom arrendeavgifter, ockerräntor och monopolpriser berövas jordbrukets producenter, uppgår i flera länder till över hälften av det totala produktionsvärdet. Då jordbruket är den kvantitativt dominerande sektorn i de underutvecklade länderna kommer det överskott, som alstras inom denna sektor att ha strategisk betydelse för den ekonomiska utvecklingen i dessa länder.
De grupper, som lägger beslag på överskottet inom jordbruket använder sina inkomster för andra ändamål än investeringar. Det överskott de lägger beslag på kanaliseras till för det underutvecklade landet improduktiva ändamål. Uppköp av mark, penningutlåning, lyxkonsumtion och penningplacering utomlands utgör för dessa grupper mer lockande valmöjligheter än investering i jordbruk eller industri. Underutvecklingen innebär att penningkapital kan ge hög avkastning på kort tid och mer långsiktiga investeringar förlorar sin lockelse i motsvarande grad. Investeringar inom jordbruket ger osäker avkastning för ägarna till jorden, eftersom arrendeavgifterna redan i utgångsläget är ytterligt höga i förhållande till arrendatorernas inkomster. En höjning av arrendet i samband med en, av ökade kapitalinsatser orsakad, produktivitetsökning kommer alltså att bli svår att genomföra. Marknaderna för den industriella produktionen är av begränsad storlek. Modern produktionsteknik innebär att produktion i stor skala blir betydligt effektivare än småproduktion. Konsumtions- och kapitalvaror kommer i de underutvecklade länderna att produceras i företag, vars kapacitet är tillräcklig för hela eller så gott som hela marknaden. Dessa företag erhåller alltså en monopolställning och möjligheterna för kapital utifrån att tränga in på dessa marknader beskärs eller försvinner. Inte heller inom förädlingsindustrin kan ockraren, jordägaren eller handelskapitalisten finna placeringsmöjligheter, som kan tävla med markuppköp, penningutlåning eller placering i form av handelskapital.
Den inhemska industriproduktionen är, som tidigare nämnts, monopoliserad. Detta innebär att denna sektor kommer att lägga beslag på en icke obetydlig del av det ekonomiska överskottet trots att det inhemska industrikapitalet är outvecklat och av ringa omfång. Genom sin monopolställning kan företaget ta ut priser på sina varor, som överstiger varornas värde. Företagen gör extraprofiter, som främst tas ur det inom jordbruket producerade överskottet. Det överskott som på detta sätt kommer i händerna på inhemska monopolkapitalister, används av dessa på i stort sett samma sätt som det som direkt exproprieras ur jordbruket. En kapitalägare med monopolställning på sin marknad måste, när han gör sina profitkalkyler, beakta en investerings totala effekt, d.v.s. hur en expansion av produktionen kommer att påverka profiten i sin helhet. Det är inte säkert att en investering, som, om den av kapitalisten betraktas som isolerad, skulle vara tillräckligt vinstgivande, kommer att förbli så, när effekten på hans tidigare gjorda investeringar tas i beaktande. Även det inom industriproduktionen alstrade överskottet kommer endast i mindre utsträckning att ta formen av investeringar.
Det utländska kapitalet exproprierar slutligen en inte obetydlig del av det totala överskottet i de underutvecklade länderna. Då utländskt kapital i allt större utsträckning inom den borgerliga nationalekonomin och i den politiska propagandan i de kapitalistiska länderna tilldelas en strategisk roll, finns det anledning att här mer i detalj diskutera det utländska kapitalets effekter på den ekonomiska utvecklingen i de underutvecklade länderna. Man kan med fördel särskilja effekter, som är att hänföra till
(1) Det ursprungliga kapitaltillskottet (investeringseffekten)
(2) Driften av företaget (drifteffekten)
(3) Det utländska kapitalets verksamhet på lång sikt med avseende på det underutvecklade landets sociala och ekonomiska struktur (totaleffekten).
Den ursprungliga investeringen får effekter på mottagarlandets ekonomi i flera olika avseenden. Den innebär att inhemsk arbetskraft sysselsätts i anläggningsarbeten av olika slag och att efterfrågan på inhemska kapitalvaror ökar. Då flertalet utländska företag redan från starten kommer att ges en så modern teknologi som möjligt och då de ekonomiska banden mellan moderlandet och dess utlandsetablerade företag är mycket starka, kommer den helt dominerande delen av kapitalvarorna att hämtas utifrån. Det är inte ovanligt att samma koncern som senare kommer att driva företaget också svarar för leveranserna av kapitalutrustningen. De eventuella utvecklingsstimulerande effekterna måste alltså hänföras huvudsakligen till de nya arbetstillfällen, som skapas vid anläggandet av en ny industri. Antalet sysselsatta i uppbyggnadsskedet kan i många fall vara betydande jämfört med den mängd arbetskraft, som den fortsatta driften kommer att kräva. Uppbyggnadsperioden är emellertid kort och lönerna för den inhemska arbetskraften är låga. En effekt, som ofta blir mer varaktig, är nedbrytningen av den ekonomiska och sociala strukturen, som ett tillfälligt indragande av befolkningsgrupper i lönarbete innebär.[225] Detta inträffade också i början av de västerländska staternas ekonomiska utveckling men kombinerades då med en kapitalistisk expansion, som vi inte finner någon motsvarighet till i de ekonomiskt underutvecklade länderna idag.
När företaget övergått till normal drift blir, som tidigare nämnts, antalet inhemska arbetare och därigenom lönesumman mindre än tidigare. Lönesumman kommer att utgöra blott en bråkdel av produktionens värde, och den del av denna som går till konsumtion av inom landet producerade varor, har genom sin ringa omfattning mycket begränsad effekt på ekonomin. Hög teknisk nivå på produktionsmedlen ger låg sysselsättning per investerad penningenhet. Även under driftens gång kommer det mesta av varuleveranserna till det utländska företaget att komma från utlandet eller från egna råvarukällor. Någon stimulans av ekonomisk utveckling i form av ökad efterfrågan på inhemskt producerade varor skapas alltså inte.
Det överskott, som skapas inom de utländska företagen används, på olika sätt. En del förs ut ur landet och hamnar hos utländska aktieägare, en del går till staten i form av skatter och slutligen används en del av överskottet till att expandera det utländska företagets produktion, eller till upprättandet av systerföretag i värdlandet. Det första alternativet ger ingen som helst stimulans av ekonomin. Tvärtom innebär den att expansionsmöjligheterna beskärs genom att balansen i utrikesbetalningarna rubbas till värdlandets nackdel och att utrymmet för import, av för den ekonomiska expansionen strategiska varor, inskränks.
Den del av överskottet, som går till staten skulle kunna användas för utvecklingsfrämjande syften, om statsapparaten behärskades av en klass, som var nationellt inriktad och som hade intresse av att göra sig kvitt den struktur, som lägger hinder i vägen för den ekonomiska utvecklingen. Men med en sådan progressiv klass vid makten torde emellertid också det utländska kapitalet lysa med sin frånvaro. Å andra sidan finns det ej några motiv för det utländska kapitalet att stödja en nationell ekonomisk utveckling i ett land, i vilket man har starka intressen. Däremot finns det flera anledningar till att man önskar förhindra upprättandet av regeringar, som söker förverkliga en sådan utveckling. En nationell utveckling förutsätter att råvarukällor, utrikeshandel och centrala industrigrenar ställs under inhemsk kontroll. Detta vore liktydigt med att kapitalet i de utvecklade länderna går miste om ett exploateringsobjekt och ställs inför en självständigt agerande handelspartner. En sådan partner kan näppeligen betraktas som tillräckligt pålitlig - den kan ju agera oberoende av befallningar eller hot - och det utländska kapitalet kommer att söka sig till mer säkra områden.[226]
Samtidigt består den härskande klassen i de ekonomiskt underutvecklade länderna av samhällsskikt, som är starkt ekonomiskt och politiskt bundna till de imperialistiska staterna. Det är inte bara jordägare, ockrare och handelskapitalister, som grundar sin inhemska position och sina profiter på den ekonomiska underutvecklingen. Också det inhemska industrikapitalet är till stor del utvecklingsfientligt. Som tidigare nämnts är det verksamt inom monopoliserade sektorer, vilket får till följd att kapitalisten och det kapitalistiska produktionsförhållandet berövas den dynamiska, expansiva och utvecklande roll som det spelade under industrialiseringen i Västeuropa. Vi finner alltså att inte heller de skatter, som de utländska företagen betalar till staten i värdlandet kommer att användas på ett i huvudsak utvecklingsfrämjande syfte.
De oligarkier, som med imperialistiska staters stöd, innehar makten i de underutvecklade länderna kommer att utnyttja statsinkomsterna för att bevara och utöka sina privilegier. Militärapparater, vilkas huvuduppgift är att bevara lag och ordning och att förtrycka oppositionella krafter inom landet, lägger beslag på en avsevärd del av statsinkomsterna. I den mån staten över huvud taget bidrar till den inhemska kapitalackumulationen så sker detta huvudsakligen i form av en utbyggnad av järnvägar, hamnar och andra serviceinriktade sektorer. Investeringar av denna typ fyller i ett expansivt skede viktiga funktioner, men kan aldrig utlösa en ekonomisk tillväxt. Genom att inordna kommunikationer och infrastruktur i ett socialt och ekonomiskt system, som har sina rötter i kolonial utsugning, kommer dessutom detta system att stärkas och på lång sikt ekonomisk utveckling ytterligare att försvåras.
Den del av överskottet, som det utländska kapitalet ackumulerar i värdlandet, får som regel samma begränsade utvecklingseffekt som den ursprungliga investeringen. Då dessa återinvesteringar, i likhet med den ursprungliga investeringen, huvudsakligen används för inköp av kapitalvaror producerade i de utvecklade kapitalistiska länderna och då de till skillnad från denna saknar varje motsvarighet i form av kapitalinflöde, kommer de att utgöra en större belastning för betalningsbalansen än den ursprungliga investeringen.
Det utländska kapitalet medför utöver dessa direkta effekter, andra mer indirekta. En del sådana bieffekter brukar inom den borgerliga nationalekonomin föras fram som avgörande argument för att utländskt kapital skapar välstånd och utveckling i de underutvecklade länderna. Vi har redan tidigare behandlat ett exempel på bieffekter, nämligen uppbyggnaden av en infrastruktur. Ett annat exempel utgörs av spridandet av "know-how" och tekniska kunskaper. Då praktiskt taget all teknisk forskning och allt utvecklingsarbete utförs i det utländska kapitalets moderländer, kommer denna spridning att motverkas av en överföring av tekniker och vetenskapsmän från de underutvecklade till de utvecklade.
Borgerliga ekonomer brukar hävda, att eftersom det utländska kapitalet har positiva bieffekter och emedan det ekonomiska överskott som det för ut ur landet annars aldrig hade skapats, har det också en utvecklingsstimulerande effekt. Ett sådant resonemang förutsätter emellertid, att överskottets expropriation är något som kan ske utan kostnader för landets ekonomi. Det utländska kapitalet har traditionellt inriktat sig på exportindustrier inom råvaruproducerande sektorer - mineralutvinning eller agrar produktion. Den ensidiga agrara produktion, som anpassningen av de underutvecklade ländernas ekonomier till det utländska kapitalets behov medfört har orsakat den jordförstöring, som man idag kan iaktta i flertalet länder i Asien, Afrika och Latinamerika. Mineraltillgångar är inte outtömliga. Vad som av borgerliga nationalekonomer rubriceras som en tämligen oförarglig verksamhet med positiva bieffekter visar sig vid närmare betraktande vara en systematisk utplundring av de underutvecklade ländernas naturtillgångar.
Ett slag av ekonomisk stimulans åstadkommer emellertid det utländska kapitalet - stimulans av handel och köpenskap. Det utländska kapitalets expansion för med sig upprättandet av hamnstäder, där antalet köpmän av olika slag växer i snabb takt. Denna omfångsrika köpmannaklass utgör ett av kännetecknen på ekonomisk underutveckling. Det är därför anmärkningsvärt, att borgerliga ekonomer som t.ex. Torsten Gårdlund anger bristen på företagarförmåga som ett avgörande utvecklingshinder. Gårdlund säger bland annat:
"Dessa länder saknar den samhälleliga miljö vi känner från det sena 1700- och 1800-talets Västeuropa, där en ny klass av köpmän, tekniker och hantverkare med ekonomisk erfarenhet, naturvetenskapliga kontakter och vilja till materiell förkovran bar upp ett industriellt genombrott."
Men, säger han, vi ska inte ge upp hoppet ty
"I vissa underutvecklade områden t.ex. i Västafrika, finns det en utvecklad varuhandel, vars representanter inom sitt näringsområde ger prov på arbetsamhet, målmedvetenhet och vilja till risktagande, alltså samma egenskaper som ingår i de västerländska företagarnas 'achievment orientations'."[227]
Att Asiens, Afrikas och Latinamerikas hamnstäder översvämmas av målmedvetna och riskvilliga profitjägare hindrar tydligen inte det svenska utlandskapitalets gudfar att tillskriva underutvecklingen brist på sådana individer.
Låt oss nu sammanfatta vår analys av de idag ekonomiskt underutvecklade ländernas situation. Till att börja med kan vi konstatera, att det i dessa länder produceras ett objektivt överskott som uppgår till en ansenlig del av den totala produktionen. För det andra kan vi slå fast att endast en mindre del av detta överskott investeras och att resten av överskottet förbrukas inom olika improduktiva sektorer. Lyxkonsumtion, kapitalutförsel och utgifter för en mot den inhemska befolkningen riktad militärapparat är de tre användningssätt som dominerar. På det politiska planet finner vi att den s.k. nationella bourgeoisin i viktiga avseenden är hårt knuten till det utländska kapitalet och det imperialistiska systemet. En slutsats blir då också att de progressiva elementen i dessa länder i första hand ej står att finna inom den inhemska bourgeoisin och att den ej kan väntas spela den progressiva roll, som dess motsvarighet fyllde i Västeuropa. Ekonomisk utveckling är i dessa länder en omöjlighet utan en frigörelse från det imperialistiska systemet och en sådan kan endast åstadkommas i kamp mot dem som tillhör den härskande klassen i dessa länder. Det finns endast ett sätt för dessa länder att bryta sig ut ur sitt tillstånd av ekonomisk underutveckling nämligen en socialistisk revolution. Denna slutsats har dragits ur en schematisk analys. Olika historisk bakgrund och andra lokala särdrag gör att klassrelationerna skiljer sig avsevärt mellan olika länder. De afrikanska staterna söder om Sahara har haft en helt annan ägande- och klasstruktur än t.ex. länderna i Sydostasien. Vi tror emellertid att vår analys är giltig för flertalet av de ekonomiskt underutvecklade länderna.
Vi diskuterade tidigare en möjlig strategi för ekonomisk tillväxt; den som de borgerliga ekonomerna brukar rekommendera de underutvecklade länderna att följa. Vi ska nu presentera ett alternativ som till skillnad från denna strategi tar som utgångspunkt, inte statiska teorier för resursfördelning, utan det dynamiska och långsiktiga i tillväxtprocessen.
Begrepp som investeringskvot (investeringarnas andel av nationalinkomsten) och kapitalkoefficient (förhållandet mellan investeringarnas storlek och förändringen i nationalinkomsten) ges inom modern tillväxtteori stor betydelse. Ett samband, som i detta sammanhang brukar presenteras, säger att tillväxttakten kommer att vara lika med investeringskvoten dividerad med kapitalkoefficienten. I de underutvecklade länderna uppgår investeringskvoten till mellan 0,05 och 0,10 - mellan 5 och 10 % av nationalinkomsten används för investeringar - och kapitalkvoten till omkring 2,5 - en ökning av det produktiva kapitalet värd 2.50 kronor motsvaras av en ökning av varuproduktionen värd en krona. Om vi utgår från sambandet mellan dessa storheter och tillväxttakten så som det fastställts ovan, finner vi att dessa länder kommer att uppvisa en tillväxttakt som ligger mellan 2 (0,05/2,5) och 4 % (0,10/2,5)
Befolkningstillväxten uppgår ofta till över 2 % i de underutvecklade länderna. Vi har nu genom ett strikt ekonomiskt-tekniskt resonemang slutit den onda cirkeln. Det enda vi behöver tillfoga är att armodet i dessa länder är så totalt att ett ökat sparande, som ytterligare skulle sänka levnadsstandarden, är otänkbart. Ekonomisk tillväxt à två eller maximalt fyra procent och befolkningstillväxt å två procent ger ingen eller endast obetydlig tillväxt per invånare.
Om vi nu överger den borgerliga nationalekonomins förment neutrala räkneövningar och i stället tar fasta på de samhälleliga förhållanden som dessa övningar tjänar att dölja, kan vi finna betydligt mindre pessimistiska utvecklingsalternativ. Det potentiella överskottet har för länder som Indien och Ceylon uppskattats till 15 respektive 30 % av bruttonationalprodukten (exklusive import och export), medan vid samma tidpunkt (1947-48) investeringarna i dessa länder endast uppgick till 5 % i Indien och 10 % i Ceylon.[228] Vi har tidigare i detta kapitel påvisat hur detta överskott används för kapitalexport, lyxkonsumtion och militärutgifter. Bristen på kapital är alltså inte absolut utan relativ. Den har sitt ursprung i ett utvecklingsfientligt produktionsförhållande.
Vi finner alltså att investeringskvoten inte är det entydiga begrepp som den borgerliga nationalekonomin vill göra det till. Detsamma gäller kapitalkoefficienten som också den måste analyseras med utgångspunkt från samhälleliga förhållanden. Kapitalkoefficienten är en storhet sammansatt av flera andra storheter - kapitalkvoterna inom de olika produktionsgrenarna. Den speglar alltså hur olika produktionsgrenar med olika mekaniseringsgrad förhåller sig till varandra vad avser deras produktionsvärde. Kapitalkoefficienten kommer emellertid också att bli beroende på i vilken utsträckning det produktiva kapitalet utnyttjas. Ju fler maskiner som står oanvända i fabrikerna desto högre blir kapitalkvoten. Kapitalkoefficienten är inte bestämd enbart av tekniska faktorer och alltså ingen orubblig storhet. De underutvecklade länderna kan genom ett effektivare utnyttjande av det existerande produktionskapitalet åstadkomma en ekonomisk tillväxt som blir större än vad den borgerliga nationalekonomins tillväxtekvation ger vid handen.
Till grund för de pessimistiska slutsatser som härleds ur ovannämnda ekvation ligger ett oftast icke redovisat antagande. Man utgår från att konsumtionen måste sänkas till en absolut sett lägre nivå för att investeringskvoten ska kunna höjas. Detta synsätt är statiskt och förbiser att ekonomisk tillväxt innebär en ökning av produktionen - en ökning som kan användas på olika sätt. Om produktionsökningen används för kapitalackumulation kommer visserligen en mindre del av produktionen att kunna konsumeras men konsumtionens absoluta nivå behöver inte sänkas. Maurice Dobb uttrycker detta självklara men ofta förbisedda faktum på följande sätt:
"... det är tillväxtens tillväxttakt - tillväxttaktens förmåga att själv växa - som blir avgörande. Det blir hur man använder det investeringsbara överskott man har och hur man utnyttjar dess resultat som blir avgörande snarare än dess ursprungliga storlek."[229]
Om vi för omväxlings skull väljer att använda matematiken i progressiva syften, kan vi med ett exempel illustrera det faktum att tillväxttakten framförallt bestäms av det sätt på vilket produktionsökningen används. Låt oss anta att vi har en kapitalkoefficient som är 3 och att under år 0 10 % av nationalinkomsten används för investeringar - antaganden som i och för sig är något så när plausibla för de ekonomiskt underutvecklade länderna. Låt oss också anta att hela tillväxten varje år kommer att användas till investeringar d.v.s. att konsumtionen hålls kvar på en oförändrad nivå absolut sett.
Vi finner då följande. Produktionen kommer att ha fördubblats redan under år 9. Tillväxttakten som under år 0 var 3 % kommer år 8 att vara omkring 17 %. Om man önskar hålla en tillväxt av 17 % år 9 finns ändå utrymme för en höjning av konsumtionen med 17 % under detta år. Exemplet är extremt i ett avseende. Det förutsätter en expansion av den produktionsmedelsproducerande sektorn med ungefär 30 % årligen samtidigt som konsumtionsvarusektorn producerar på oförändrad nivå. En avsevärd överföring av arbetskraft måste alltså äga rum från den sektor som producerar livsmedel till den som producerar produktionsmedel. Denna arbetskraft måste i första hand hämtas från jordbruket, som i de underutvecklade länderna präglas av dold arbetslöshet och låg produktivitet. Det extrema i vårt exempel ligger däri, att det förutsätter en överföring av livsmedel till en växande skara av industriarbetare från en jordbrukssektor med oförändrad produktion.
Vi kan emellertid överge denna förutsättning och ändå få resultat som starkt avviker från den borgerliga nationalekonomins pessimism. Om vi liksom tidigare antar att kapitalkoefficienten är 3 och att 10 % av nationalinkomsten investeras år 0 kommer produktionen att växa med 3 % detta år. Vi antar nu till skillnad från tidigare att konsumtionen tillåts växa med 2 % varje år. Under dessa förutsättningar kommer produktionen att ha fördubblats år 11 och tillväxttakten detta år att ha vuxit till 17 %. Om man beslutar sig för att från och med år 11 behålla tillväxttakten oförändrad, innebär detta att konsumtionen kommer att växa lika fort som produktionen d.v.s. med 17 % per år.
För den som enbart tagit del av de kapitalistiska ländernas nationalräkenskaper och hört politiker berömma sig för en ekonomisk politik som lett till en ekonomisk tillväxt på 5-6 %, måste en årlig ekonomisk tillväxt som uppgår till 17 % framstå som osannolik. Det bästa bevis, vi kan anföra för att de resultat som erhölls ovan inte är enbart teoretiska spekulationer, är de socialistiska ländernas erfarenheter. Industriproduktionen växte i Sovjetunionen med ungefär 15 % per år under tidsperioden 1928-40. Mellan år 1950 och år 1959 växte industriproduktionen med igenomsnitt 13 % per år i de socialistiska staterna som helhet.[230]
Innan vi lämnar vårt exempel måste vi tillfoga några reservationer. Exemplen förutsätter en oförändrad kapitalkoefficient, vilket innebär att varje ökning av kapitalintensiteten eller vilket är ungefär samma sak - varje höjning av den organiska sammansättningen - måste ha sin motsvarighet i en lika stor procentuell höjning av arbetets produktivitet. Om arbetets produktivitet växer långsammare än den organiska sammansättningen, kommer kapitalkoefficienten att växa och tillväxttakten att i motsvarande grad växa långsammare än vad våra exempel gav vid handen. Arbetets produktivitet beror inte enbart på den mängd produktionsmedel som arbetskraften konsumerar i produktionsprocessen. Arbetarnas hälsotillstånd och yrkesskicklighet kommer också att påverka denna storhet. Det är bl.a. mot denna bakgrund man får se den enorma satsning på hälsovård och utbildning som vi finner i samtliga socialistiska länder under uppbyggnadsskedet.
Den tidigare diskussionen i detta avsnitt har främst berört frågan om hur mycket ett underutvecklat land kan satsa på investeringar och vilka konsekvenser ett visst investeringsmönster får för den ekonomiska tillväxten. Vi ska nu övergå till frågan om hur investeringarna ska fördelas mellan olika produktionsgrenar och därvid återigen ta vår utgångspunkt i den borgerliga nationalekonomin.
Vi har tidigare hävdat att det utvecklingsmönster, som de borgerliga nationalekonomerna härleder ur marginalproduktivitetsteorin och ur teorin om komparativa kostnader inte kan ligga till grund för en ekonomisk tillväxt i de underutvecklade länderna. Detta mönster innebar, som vi minns, att det underutvecklade landet skulle använda sina knappa investeringsresurser i så arbetsintensiva produktionsgrenar som möjligt eller, annorlunda uttryckt, i produktionsgrenar med låg organisk sammansättning. På detta sätt erhåller vi mesta möjliga produktion och högsta möjliga sysselsättning.
Det avgörande felet med denna teori är att den är statisk och att den därför inte innefattar det specifika för en ekonomisk tillväxtprocess. Det gäller inte att i första hand välja det alternativ, som ger den största produktionen i utgångsläget utan att välja det alternativ, som ger den högsta framtida tillväxten. Det gäller att expandera produktionen av varor som höjer "tillväxtberedskapen". Under tillväxtprocessens gång kommer det underutvecklade landet att stöta på hinder för fortsatt expansion i form av brist på vissa för tillväxten nödvändiga varor. Det uppstår vad man brukar kalla trånga sektorer. Man kan för de underutvecklade ländernas del urskilja framförallt två sektorer som kommer att sätta gränser för expansionsmöjligheterna. Den ena är livsmedelssektorn och den andra den tunga industrin.
De arbetare som övergår från jordbruket till industrin måste få sina livsmedel från jordbruket. De som brukar jorden lever på eller under svältgränsen. Produktiviteten inom jordbruket är mycket låg på grund av att brukningsenheterna är så små att endast primitiva brukningsmetoder kan användas. För att det ska bli möjligt att frigöra ett överskott inom denna sektor måste jordbruket reorganiseras. Det räcker därvid inte, som det ibland hävdas, att ägandet av jorden övergår från improduktiva jordägare till dem som brukar jorden. En sådan åtgärd kan få till följd en höjning av produktiviteten, men knappast någon mer avsevärd sådan eftersom brukningsenheterna efter en sådan reform snarast kommer att vara mindre än före reformen, vilket utesluter ett rationellt jordbruk. De eventuella produktivitetshöjningar som på detta sätt kan åstadkommas, kommer dessutom förmodligen inte att kunna ges formen av ett till industriarbetarna överförbart överskott, eftersom levnadsstandarden inom jordbruket i utgångsläget är ytterligt låg. En reform av det slag som skisserats ovan måste åtföljas eller efterföljas av en ny reform, som tar sikte på att utöka kooperationen inom jordbruket. Endast på detta sätt kan det bli möjligt att skapa tillräckligt stora enheter för att ny teknik ska kunna införas och därigenom produktiviteten höjas. Även efter en sådan förändring kommer emellertid överförandet av ett överskott av livsmedel att utgöra en av tillväxtens trånga sektorer.
Detta talar emot en lösning som innebär investeringar inom arbetsintensiva produktionsområden, ty en sådan lösning innebär en ytterligare belastning på jordbruket. I stället bör investeringar göras framförallt i produktionsmetoder, som höjer arbetets produktivitet så kraftigt att ett överskott skapas i produktionen som senare kan användas för att sysselsätta arbetare inom andra produktionsområden. Som tidigare påvisats bestäms kapitalkoefficienten av den organiska sammansättningen och arbetets produktivitet. Genom att investera i en produktionsteknik som höjer arbetets produktivitet mer än kapitalets organiska sammansättning kommer kapitalkoefficienten att kunna sänkas och en given investeringsvolym att resultera i en högre tillväxttakt än om investeringen gjorts i mindre produktivitetshöjande teknik.[231]
I den mån gränser för den ekonomiska expansionen sätts av den tunga industrins produktionskapacitet, kommer investeringar i företag som producerar maskiner och byggnadsmaterial att innebära att den tillväxttakt som kan uppnås i framtiden blir större. Investeringar av detta slag innebär att man i framtiden kan producera fler maskiner och fabriker som i sin tur kan användas för att producera ytterligare maskiner eller redskap. Om vi ser tillbaka på de två exempel, som vi använde för att illustrera vilka konsekvenser en progressivt växande kapitalackumulation får, finner vi att det första förutsätter att alla investeringar görs inom den sektor som producerar produktionsmedel. Det andra mer realistiska alternativet innebär att en successiv omfördelning från livsmedels- till produktionsmedelssektorn äger rum. År 0 kommer 1/3 av investeringarna att äga rum inom den sektor som producerar produktionsmedel - sektor 1 - och 2/3 inom livsmedelssektorn - sektor 2. Den absoluta nivån på investeringarna kommer därefter att vara oförändrad i sektor 2 medan den tillåts växa i sektor 1. Produktionskapaciteten i produktionsmedelssektorn måste ha fördubblats år 5 och tredubblats år 7 jämfört med utgångsläget om det ska vara möjligt att förverkliga de resultat som tidigare redovisats. För att i framtiden åstadkomma en hög tillväxttakt blir det alltså nödvändigt att investera merparten av överskottet i produktionsmedel som kan användas för att producera produktionsmedel d.v.s. i tung industri.
Är en strategi av det slag som skisserats ovan möjlig att realisera inom ramen för kapitalistiska produktionsförhållanden? Om vi jämför den ekonomiska tillväxten i olika kapitalistiska länder med den i socialistiska länder som befinner sig på motsvarande nivå finner vi att tillväxttakten i de senare genomgående är avsevärt högre än i de förra. Avgörande för investeringarnas storlek blir företagens profiter och de förväntningar kapitalisterna har om den framtida profitutvecklingen. Som Kalecki visat kommer dessa faktorer i sin tur att bestämmas huvudsakligen av investeringsvolymen under tidigare perioder.[232] Om kapitalisten investerar så gör han det inte i syfte att åstadkomma ekonomisk tillväxt utan för att göra profit. Mot denna bakgrund blir det inte svårt att förstå varför den ekonomiska tillväxten blir avsevärt lägre i kapitalistiska än i socialistiska länder.
Det är otänkbart att en enskild kapitalist ska kunna fatta investeringsbeslut av det slag som krävs för att hög ekonomisk tillväxt ska kunna åstadkommas. Han kan inte besluta sig för att bygga ett stålverk som ska förse ännu icke befintliga företag med material för produktion av maskiner. Det finns heller ingen kapitalist som är villig att bygga dessa maskinproducerande industrier innan de företag som ska köpa dessa maskiner existerar.
Samtidigt är det beslut av just detta slag som måste fattas för att en växande och hög tillväxttakt ska kunna åstadkommas. Kapitalismens anarkiska karaktär tar sig bland annat uttryck i att varje enskild kapitalist endast kan ta med i sina kalkyler sådana effekter av sitt agerande som påverkar hans profit och att kapitalistens investeringsbeslut måste grunda sig på den efterfrågan som råder när investeringsbeslutet fattas. Denna efterfrågan bestäms i sin tur av andra kapitalisters kortsynta investeringsbeslut. Bortsett från tillfälliga perioder av stark yttre stimulans i form av militära rustningar, järnvägsbyggen eller liknande kommer det att vara omöjligt att åstadkomma hög ekonomisk tillväxt inom ramen för det kapitalistiska produktionsförhållandet. Detta gäller såväl i de utvecklade som de underutvecklade länderna.
Vi vill gärna understryka den sista meningen i föregående stycke. Man kan idag urskilja tendenser till att göra en särskillnad mellan de underutvecklade ländernas och de utvecklade monopolkapitalistiska ländernas problem när det gäller ekonomisk tillväxt. I vissa avseenden är det berättigat att göra en sådan särskillnad. Den materiella nöden är i de underutvecklade länderna svårare och mer allmänt utbredd än i de utvecklade kapitalistiska länderna. De underutvecklade länderna saknar till skillnad från de utvecklade en utbyggd produktionsmedelsproducerande sektor och har samtidigt en enorm industriell reservarmé inom jordbruket. Ekonomisk tillväxt kommer i de utvecklade kapitalistiska länderna att kunna åstadkommas i ökad utsträckning genom att en redan befintlig tillväxtpotential tas i bruk, medan denna potential först måste byggas upp i de underutvecklade länderna.
Men man får inte se dessa båda problem helt skilda åt. Man bör inte falla till föga för den verklighetsförfalskning som tar sig uttryck i att man betecknar de utvecklade kapitalistiska länderna som "överflödssamhällen" eller "konsumtionssamhällen". Det är ingen tillfällighet att en sådan ideologi breder ut sig i ett samhälle där det rådande produktionsförhållandet omöjliggör ett tillvaratagande och utvecklande av existerande produktivkrafter. Det kan heller inte vara någon tillfällighet att samma ideologi idag används för att rättfärdiga att arbetarklassen skattevägen tvingas subventionera de mest reaktionära och utvecklingsfientliga regimer i underutvecklade länder och genom investeringsgarantier måste betala kapitalets livförsäkringspremier så att detta mer rofyllt kan fullfölja sin utsugning i de underutvecklade länderna.[233]
Under de exceptionellt "goda åren" 1950-65 växte industriproduktionen i Sverige med i genomsnitt 4 % per år.[234] Hade denna i likhet med de socialistiska ländernas industriproduktion istället vuxit med 13 % genomsnittligt per år, skulle vi i Sverige haft en industriproduktion som 1965 var dubbelt så stor som den, som verkligen kom till stånd. En så hög tillväxt kan inte åstadkommas inom ramen för "den svenska blandekonomin", inte därför att de materiella behoven är mättade, inte heller därför att det föreligger någon brist som skulle kunna omöjliggöra en sådan utveckling, utan därför att Sverige är ett kapitalistiskt land som ingått i sitt monopolistiska stadium. Det kännetecknande för detta stadium är bl.a. att det kapitalistiska produktionsförhållandet i allt mindre omfattning kommer att kunna ta tillvara och utveckla de produktivkrafter som vuxit fram under dess hägn.
Vi ska i detta kapitel, utan att göra anspråk på fullständighet, behandla några principiella frågor, som har att göra med den vetenskapliga forskningens metod. De problemställningar, som vi i detta sammanhang har valt att behandla berör å ena sidan den begreppsmässiga skillnaden mellan ideologi och vetenskap och å den andra värderingarnas roll inom samhällsvetenskapen.
Inom borgerlig vetenskapsteori hävdas, att en teori är vetenskaplig i den mån den är logiskt sammanhängande och i den mån de slutsatser, som teorin leder fram till kan förkastas eller styrkas vid empirisk testning. Valet av frågeställning och valet av problemområde betraktas som något som ej kan göras till föremål för vetenskapliga bedömningar. En vetenskaplig, d.v.s. logiskt konsistent och testbar undersökning är lika vetenskaplig oavsett om den behandlar frågan hur ett företag ska gå till väga för att maximera sin profit eller frågan om varför profit överhuvudtaget skapas.
Den borgerliga teorin om vetenskapen betonar testbarheten hos en teori som det viktigaste kriteriet på dess vetenskaplighet. En teori med kvantifierbara samband är som regel lättare att testa än en icke-kvantifierbar. Den s.k. statistikproduktionen - insamling och sammanställning av data, som kan formuleras i kvantitativa termer - kommer att spela en avgörande roll för vilka samband som kan respektive inte kan testas. Genom att probleminriktningen framställs som godtycklig, kommer denna att i realiteten styras i enlighet med den härskande klassens intressen. Den probleminriktning, som på detta sätt kommer till stånd, kommer att bestämma statistikproduktionens inriktning och i sin tur åter påverkas av denna. En inriktning, som står i strid med dessa intressen blir hart när omöjlig i ett samhälle, där forskarna lever på medel från staten eller kapitalet.
Den påstådda godtyckliga probleminriktningen och testbarhetskriteriet bär alltså inom sig mycket av förklaringen till den borgerliga vetenskapens och då framför allt samhällsvetenskapens dekadens. Den första av punkterna implicerar en ideologisk styrning av forskningen och blir i kombination med testbarhetskriteriet ett effektivt vapen mot all forskning, som går utöver den existerande samhällsformationens ramar.
Vi har tidigare i många olika sammanhang haft anledning att betona några av den borgerliga samhällsvetenskapens kännetecken - dess frånvaro av historiskt perspektiv och klassanalys. Dessa båda karaktäristika utgör de främsta exemplen på denna samhällsteoris ideologiska karaktär samtidigt som de belyser den process, som lett fram till detta tillstånd inom borgerlig samhällsteori. Under kapitalismens genombrottsperiod formulerade de som Marx kallar de klassiska ekonomerna Smith och Ricardo, teorin för kapitalismens utveckling. De påvisade lagbundenheten i det kapitalistiska samhällets utveckling och var också medvetna om de specifika klassrelationer som det kapitalistiska produktionsförhållandet skapade. Det var på denna punkt, som Marx byggde vidare i sitt studium av kapitalismens rörelselagar. Parallellt med att arbetarklassen växte i omfång och dess politiska och fackliga organisationer växte i styrka, övergav den borgerliga teorin sin tradition som samhällsvetenskap. Från att ha varit en teori om hur relationer mellan individer och mellan klasser utformas och förändras under ett specifikt produktionsförhållande blev den med marginalismens genombrott en statisk teori om relationer mellan individen och tingen. Det som Marx kallar varufetischismen får i dessa teorier sitt medvetna uttryck.
Varje teori måste, för att fylla en vetenskaplig till skillnad från en rent beskrivande uppgift, vila på vissa abstraktioner. Hur kan man då anklaga den borgerlige teoretiker, som väljer att abstrahera bort det för den historiska utvecklingsfasen särskiljande - förhållandet mellan klasserna? En sådan teori måste bli mycket mer allmängiltig än en som tar fasta på det specifika och särskiljande för en viss samhällsformation! Svaret på frågan måste ta sin utgångspunkt i en diskussion om samhällsteorins uppgift. Endast om denna uppgift är att formulera allmänna teorier för hur individen fattar beslut för att på kort sikt maximera sin behovstillfredsställelse, d.v.s. allmänna valhandlingsteorier, är den borgerliga ansatsen den riktiga. Om, vilket rimligen måste vara en samhällsteoris uppgift, avsikten är att ge underlag för en förståelse av samhälleliga relationer och av samhällets utveckling, kan den borgerliga teorin inte uppfattas annat än som en ideologisk teori, oavsett hur logiskt konsistent och empiriskt testbar den än är.
Dessutom innebär den borgerlige ekonomens abstraktioner ingalunda skapandet av en generell ekonomisk teori. Genom att han inte kan uppfatta det kapitalistiska produktionsförhållandet som historiskt avgränsat, kommer han inte att kunna urskilja de ekonomiska lagar, som är specifika för detta produktionsförhållande. Vad han i själva verket gör, är att han tar fasta på kapitalismens ytfenomen och ger dessa rangen av eviga sanningar.
Vi tror, att det kan vara mödan värt att något precisera begreppen vetenskaplig respektive ideologisk teori. Vi kan med fördel införa begreppet teknisk vetenskaplighet, som beteckning på den typ av teorier, som fyller den borgerliga vetenskapssynens kriterier på vetenskaplighet. Ett annat och mer väsentligt kriterium på vetenskaplighet inom samhällsforskningen måste beröra val av problem och val av metod. Vi menar alltså, att det problem som studeras måste vara av sådan art, att dess lösning bidrar till en förståelse av samhälleliga relationer och metoden måste vara så utformad att dessa sociala relationer förs fram i ljuset. I båda dessa avseenden utvecklas den borgerliga nationalekonomin under det monopolkapitalistiska stadiet mot en allt mer ovetenskaplig inriktning. Samtidigt som statsapparatens uppgifter som ekonomisk stabilisator växer och den korporativa ideologin ersätter den liberala sker en anpassning av den ekonomiska teorin till dessa trender. Dess uppgift blir tvåfaldig. För det första ska teorin ge underlag för det ekonomiska beslutsfattandet inom statsapparaten och de monopolistiska storbolagen. Det är mot denna bakgrund som man får se det växande intresset för tekniska hjälpteorier, som programbudgetering och lineärprogrammering samt för nya grenar inom den ekonomiska teorin som förvaltningsekonomi och distributionsekonomi. För det andra ska teorin ge en motivering för den korporativa ideologin. Vi har tidigare haft tillfälle att påvisa sådana ideologiska föreställningar på olika områden: lönekaksteorin, fullsysselsättningsteorin, överbefolkningsteorin m.m.
För att förstå skillnaden mellan borgerliga teorier och marxistisk vetenskap måste man undersöka deras respektive grundvalar: den kunskapsteori, som utgör deras respektive bas.
Vi ska först diskutera hur den dialektiska materialismen har vuxit fram.[235] Låt oss då till att börja med göra en distinktion mellan den idealistiska och den materialistiska skolan. Den förra står för en dualistisk uppfattning, en uppdelning av världen i två delar, materia och ande. Den idealistiska skolan kan delas upp i tre skolor.
(1) Den objektiva idealismen
(2) Den subjektiva idealismen
(3) Den relativistiska idealismen
Den objektiva idealismen kan vi också kalla den klassiska formen av idealism. Den förnekar inte, att den objektiva världen existerar och att vi kan få kunskap om denna verklighet. Den hävdar emellertid, att den materiella existensen är sekundär och att bortom denna finns en andlig verklighet. Det kan gälla uppfattningar som att Gud skapade världen eller att världen är den Absoluta idéns förkroppsligande (Hegel). Den subjektiva idealismen hävdar att den materiella världen överhuvudtaget inte existerar; det enda som existerar är våra känslor, förnimmelser och idéer. De föremål vi kan iaktta existerar inte, det enda som existerar är en samling intryck. Närbesläktad med den subjektiva är den relativistiska idealismen. Den förnekar inte, att det existerar en materiell verklighet, men den säger, att denna materiella verklighet är omöjlig att tillgodogöra sig som kunskap. Vi vet hur saker tycks vara, men vi vet inte vad de i själva verket är. Stalin säger om den relativistiska idealismen att den:
"... bestrider möjligheten att fatta världen och dess lagbundenhet, ej tror på våra kunskapers tillförlitlighet, ej erkänner den objektiva sanningen och anser att världen är full av 'ting i sig', vilka vetenskapen aldrig kan fatta."[236]
Den materialistiska skolan, företrädd av bl.a. Feuerbach, trädde under 1800-talet fram som en reaktion mot idealismens metafysik. Lenin påvisade den progressiva roll som materialismen spelade på följande sätt:
"Under loppet av Europas hela nyare historia och särskilt slutet av 1700-talet i Frankrike, där den avgörande drabbningen mot allt slags medeltida bråte, mot livegenskapen inom institutionerna och i idéerna utspelades, framträdde materialismen såsom den enda följdriktiga filosofin, som står i överensstämmelse med alla naturvetenskapens läror och är fientlig mot vidskepelse, skenhelighet o.s.v."[237]
Men denna materialism var mekanisk till sin natur: den försökte utsträcka samma mekaniska begrepp, som använts inom naturvetenskaperna till själslivet och samhället. Man betraktade människan enbart som en produkt av sin miljö, man förstod inte att människan kan påverka sin miljö och därvid också förändra sig själv. Marx säger i sina "Teser om Feuerbach":
"Den största bristen hos all hittillsvarande materialism är att föremålet, verkligheten, det sinnliga blott tages i form av objekt eller i form av åskådning, men inte som mänsklig sinnlig verksamhet, inte som praxis, inte subjektivt."[238]
Den mekaniska materialismen uppfattade alltså våra förnimmelser och idéer endast som reaktioner på påverkan utifrån. Verkligheten bestod av ett system av kroppar i växelverkan: individen och hans idéer skapades i denna växelverkan - han var själv ur stånd att påverka de yttre tingens ordning. Som vi senare ska se, innebär dialektiken bl.a. att våra sinnen genomgår förändringar, när vi verkar på tingen: människan är inte bara objekt, hon är också subjekt. Detta sätt att betrakta kunskapsprocessen fann i idealistisk utformning hos Hegel.
Hegel insåg att medvetandet inte består av ett passivt mottagande och i en kombination av intryck och idéer, utan är en aktivitet. Men den aktiva sidan var hos Hegel något helt abstrakt. Han föreställde sig ett "rent tänkande" skilt från den materiella världen och kom så småningom fram till, att det var tänkandet som skapade och regerade världen.
Den dialektiska materialismen rensar bort det metafysiska ur Hegels idéer och inför den aktiva sidan av kunskapsprocessen i materialismen. Den dialektiska materialismen bekämpar alltså såväl den mekaniska som den idealistiska världsuppfattningen. Låt oss nu göra ett försök att formulera den marxistiska vetenskapsteorin.
(1) Verkligheten är det primära; idéerna härleds ur verkligheten.
(2) Sinnesintrycken är något utifrån kommande som leder till aktiva processer i hjärnan. De ordnas till begrepp. Vi övergår från förnimmande till logisk kunskap.
(3) Enhet mellan teori och praktik. Man kan inte skilja prövningen av resultatets "riktighet" från frågan om dess praktiska tillämpning.
Enhet mellan teori och praktik innebär inte att endast det är sant som gagnar oss. Det innebär att det enda som gagnar oss i den samhälleliga praktiken är det som är sant.
Den logiska empirismen, som vi kommer att kalla den vetenskapsteori som ligger till grund för den borgerliga nationalekonomin och överhuvudtaget för alla vetenskapliga discipliner inom den kapitalistiska sfären, är en form av vad vi tidigare kallade relativistisk idealism. En typisk företrädare för denna skola, Bertrand Russel, säger:
"Man kan få kunskap om fysiska händelser endast med avseende på deras rum - tid - struktur. De kvaliteter, som uppbygger sådana händelser, är okända - så fullständigt okända, att vi inte kan påstå vare sig att de är eller att de inte är skilda från de kvaliteter vi vet tillhör själsliga händelser."[239]
Det väsentliga i relativismen är dess betoning av den mänskliga kunskapens begränsning och den däremot svarande begränsningen av den mänskliga praktiken. En annan företrädare för den logiska empirismen, professor Ayer, säger så här:
"Det mesta vi kan göra är att förbättra tekniken att förutsäga förloppet av våra sinneserfarenheter."[240]
Att denna doktrin om kunskapens absoluta gränser kommit att dominera den borgerliga teoribildningen har samband med att kapitalismen har gått in i sitt monopolistiska stadium. Den irrationalitet som i växande utsträckning kommer i dagen i detta system får inte härledas ur detta samma system: vi kan inte som Russel säger, avgöra om de kvaliteter, som ligger under fysiska händelser, tillhör den fysiska eller andliga världen.
Materiell blomstring är en omöjlighet inom ramen för imperialismen. Detta gäller inte bara de underutvecklade länderna. Som vi såg i föregående kapitel, är klyftan mellan vad som är möjligt och det som förverkligas än större i de utvecklade kapitalistiska länderna. Det är därför inte förvånande att idealism föredras framför materialism - det är inte förvånande att det etableras en kunskapsteori som bestrider vår förmåga att förstå och förklara verkligheten.
Även vissa icke-marxister har tvingats till insikt om att den borgerliga samhällsteorin alltmer fått karaktären av ideologi och att den förlorat sin vetenskapliga karaktär. Hos dessa iakttagare har denna utveckling främst tillskrivits det faktum att samhällsforskarna har värderingar. Det botemedel, som dessa reformatorer med Gunnar Myrdal i spetsen, trott sig finna mot detta är att forskarna redovisar sina värderingar för sig själva och för dem som tar del av deras resultat.[241] Om man sedan vid en prövning finner att forskningen utformats i enlighet med de värderingar, som redovisats så är det fråga om vetenskap. I annat fall har en snedvridning av vetenskapen eller "bias" inträffat. Detta kompletteras sedan av Gunnar Myrdal med en rekommendation till forskaren att välja värderingar i enlighet med vissa kriterier, som bas för sitt vetenskapliga arbete. Vi ska här nöja oss med att diskutera den första delen av Gunnar Myrdals resonemang med utgångspunkt från två frågor, som vi ska försöka besvara.
(1) Vad är en värdering?
(2) På vilket sätt är det bra att redovisa sina värderingar? Värderingar är vårt sätt att ge uttryck för att vi inte bara passivt iakttar omvärlden utan också söker aktivt angripa och omvandla den. Den borgerliga vetenskapen ser isolerat till värderingarnas (= värdeomdömenas) logiska struktur och drar därav slutsatsen, att de inte kan underkastas vetenskaplig kritik. Den blundar därvid för det faktum, att värderingarna faktiskt ger uttryck för hur vi uppfattar vår egen verksamhet, dess plats och roll i utvecklingen. I denna mening är värderingarna ett element i en verklighetsuppfattning, framsprungna liksom den och tillsammans med den ur vår samhälleliga praktik. Detta faktum bekräftas av att de flesta värdeomdömen i praktiken är oupplösligt förbundna med bestämda verklighetsuppfattningar.[242]
Det Myrdal kallar värderingar är ofta maskerade uttryck för en uppfattning om verkligheten. Denna uppfattning undandras vetenskaplig diskussion genom att den framställs som värdering. Resultatet blir inte - som Myrdal hävdar - att vi undviker "bias" utan att vi legitimerar "bias" genom att framställa verklighetsuppfattningar som värderingar.
Myrdal hävdar att samhällsvetenskapen inte är objektiv. Han har rätt i att vetenskapen - liksom resten av överbyggnaden i samhället - betingas av de objektiva relationerna i samhällets materiella bas. Det innebär emellertid inte att vi kan lösa problemet genom att vetenskapsmannen redogör för sina "värderingar". En sådan redogörelse förändrar inte det faktum att samhällsforskarens verksamhet och inriktning påverkas av den socio-ekonomiska struktur inom vilken han verkar. Tvärtom ger den sken av att han styrs av något hos honom själv inneboende, hans "värderingar".
När vi diskuterar förhållandet mellan borgerlig nationalekonomi och marxistisk politisk ekonomi, kan vi alltså inte hävda att den ena teorin är riktigare än den andra, därför att den är uttryck för vad vi tycker är bättre värderingar. Vi måste gå vetenskapligt till väga och fråga oss vilken av teorierna som är det bästa instrumentet för att undersöka den objektiva verkligheten, dess struktur och utveckling. Det innebär inte att vi frånkänner teorierna deras klasskaraktär; men det innebär att vi bedömer dem förutsättningslöst, och att vi först efter en sådan bedömning försöker härleda dem ur den socio-ekonomiska struktur, ur vilken de vuxit fram.
Den marxistiska samhällsteorin är överlägsen den borgerliga inte för att den bygger på bättre värderingar utan därför att den är vetenskaplig. Arbetarklassens samhälleliga praktik kräver för att bli framgångsrik kunskap om verkligheten, som ej är höljd i ideologiska dimbildningar. Den härskande klassen har däremot i en situation, där samhällsformationen allt mer påtagligt står i strid med folkets behov, intresse av att dölja den bakom ideologiska begrepp och teorier. Det är därför denna bok har kommit till. Monopolkapitalismen måste bekämpas på alla plan. Inom den politiska ekonomin gäller det att klä av de ideologiska begreppen och teorierna deras vetenskapliga förklädnad, blottlägga deras rot i bestående klassförhållanden och kämpa för en vetenskaplig förståelse av den samhällsekonomiska verkligheten.
[1] D. Ricardo, Förordet till Principles, i: Ricardo, Works and correspondence, I (ed. Sraffa & Dobb), s. 5; A. Marshall, Principles of economics (8 ed. London 1947), s. 1; L. Robbins, An essay on the nature and significance of economic science (London 1932), s. 15; G. Myrdal, Vetenskap och politik i nationalekonomien (1937), s. 231.
[2] Den ofta påtalade bristen på målsättningsdebatt vid den senaste universitetsreformen återspeglar inte bara myndigheternas vilja att trumfa igenom en nyordning utan diskussion; den var också en reflex av den akademiska vetenskapens egna principlöshet och opportunism.
[3] Adam Smith, Wealth of nations (London 1903), s. 38.
[4] Ekonomi - till skillnad från politisk ekonomi - betydde ännu in på början av 1800-talet "husfarslitteratur", praktiska råd för biodling, brännvinsbränning etc.
[5] Marx, Till kritiken av den politiska ekonomin, s. 250. Hädanefter förkortad Till kritiken.
[6] Marx, Till kritiken, s. 26.
[7] Marx, Kapitalet, I, s. 24 f. /36/
[8] Samuelson, Economics (1964), s. 15 ff.
[9] Marx till Kugelmann 11.7.1868; i Marx, Das Kapital, I (Berlin 1953), s. 838. /även i Bohmans sv. övers. s. 739/.
[10] Marx, Kapitalet, I, s. 30 /41/.
[11] Dessa båda betydelser av socialt nödvändigt arbete blandas samman i Mandel, Inledning till marxismens ekonomiska teori (Zenitserien 1, 1968), s. 23 ff., 42.
[12] Marx, Kapitalet, I, s. 35, 40 /46, 50/.
[13] Marx, Till kritiken, s. 23 f.
[14] Marx, Kapitalet, I, s. 41 /51/.
[15] Marx, Till kritiken, s. 24.
[16] Marx, Kapitalet, III, s. 783.
[17] Marx, Till kritiken, s. 26.
[18] Marx, Kritik av Gotha-programmet, s. 9 f.
[19] Wicksell, Socialiststaten och nutidssamhället (1905), s. 18.
[20] Marx, Kapitalet, I, s. 554 /524/. Se även diskussionen i M. Dobb, Political Economy and Capitalism (1937), s. 140 ff.
[21] Illustrationen är lånad från Joan Robinson, Eine nochmalige Betrachtung der Werttheorie; i Folgen einer Theorie. Essays über "das Kapital" von Karl Marx (1967), s. 67.
[22] A. P. Lerner, Capital; i International encyclopedia of the social sciences II (ed. Sills, 1968), s. 273 f.
[23] Marx, Kapitalet, III, s. 773.
[24] Marx, Kapitalet, III, s. 771, 783.
[25] Marx, Till kritiken, s. 86.
[26] Marx, Kapitalet, I, s. 86 /93/.
[27] Marx, Theorien über den Mehrwert II (1959), s. 495 ff. Mer härom nedan, kap. 10.
[28] Marx, Kapitalet, I, s. 106 /111/.
[29] Marx, Till kritiken, s. 137.
[30] Marx, Till kritiken, s. 145.
[31] Marx, Kapitalet, I, s. 130 /l33/.
[32] Marx, Kapitalet, III, s. 290 ff. - För konkreta illustrationer se bl.a. M. Dobb, Studies in the Development of Capitalism (1946), s. 38 ff., 120 ff., 123 ff.; och E. Hobsbawm, The crisis of the seventeenth century, i: Crisis in Europe 1560-1660 (ed. Aston 1965), s. 14 ff.
[33] Marx, Kapitalet, I, s. 141 /143/ not 37. - Jfr. nedan, kap. 5, s. 97 ff.
[34] Marx, Kapitalet, I, s. 142 /144/.
[35] Marx, Kapitalet, I, s. 165 /165/ ff.
[36] Marx, Kapitalet, I, s. 180 f. /179/.
[37] Labour's wrongs and labours remedy (1839); i: From Cobbet to the Chartists 1815-1848 (ed. Morris, 1948), s. 163 ff.
[38] O. Lange, Marxian economics and modern economic theory; i: Marx and Modern Economics (ed. Horowitz, 1968), s. 84.
[39] Marx, Kapitalet, I, s. 674 f. /629/. Se även nedan, kap. 8, s. 131 ff.
[40] Så alltså enligt Marx, Kapitalet, I, s. 720 /671/. - Att Marx förutsåg att "exploatörerna blir exploaterade" är däremot den oförglömliga frukten av professor Ohlins intensiva Marx-studier. Dagens Nyheter 3/8 1968.
[41] Marx, Kapitalet, I, s. 546 /516/; II, s. 109.
[42] Marx, Kapitalet, I. s. 675 f. /630/.
[43] Marx, Theorien über den Mehrwert I (Berlin 1956), s. 353 ff., 356.
[44] "Vi ser alltså att profit uppstår, inte därav att byte äger rum, utan av arbetets produktiva kraft; och landets allmänna profit är alltid vad arbetets produktiva kraft gör den till, vare sig det äger rum något byte eller ej." J. S. Mill, Principles of political economy (ed. Ashley 1923), s. 416 f.
[45] Marx, Kapitalet, I, s. 470 /446/, s. 473 f. /449/.
[46] Marx, Kapitalet, III, s. 773.
[47] Marx & Engels, Kommunistiska manifestet, s. 27 f.
[48] Marx, Kapitalet, III, s. 774.
[49] Engels, Articles from "The labour standard" (Moskva 1955), s. 5 f.
[50] Marx, Kapitalet, I, s. 235 /229/.
[51] Om vilka faktorer som bestämmer arbetskraftens värde, se ett följande avsnitt "Arbetslönens storlek" i detta kap., s. 75.
[52] Sätt arbetskraftens värde = 100, varav de fysiskt nödvändiga reproduktionskostnaderna uppgår till hälften eller 50. Antag att ökad arbetsintensitet stegrar de fysiska reproduktionskostnaderna med 20 %, d.v.s. från 50 till 60. De i texten åsyftade möjligheterna är då: (a) arbetskraftens värde blir oförändrat 100, men de fysiskt nödvändiga reproduktionskostnadernas andel växer från 50 % till 60 %; (b) arbetskraftens värde stiger med 10, d.v.s. med 10 %, varvid de fysiskt nödvändiga reproduktionskostnadernas andel växer från 50 % till 54,5 %.
[53] Marx, Kapitalet, I, s. 366 /350/ ff.
[54] Förhållandet har betydelse för frågan om profitkvotens utvecklingstendenser. Jfr nedan, kap. 9 s. 154.
[55] Marx, Kapitalet, I, s. 273 f. /264/.
[56] Marx, Kapitalet, I, s. 497 /471 f/.
[57] Marx, Kapitalet, I, s. 497 f. /472 f./
[58] Marx, Kapitalet, I, s. 499 /473/.
[59] Tid för Metall. Du och Ditt avtal (1967).
[60] G. Mickwitz, "Economic rationalism in Graeco-Roman agriculture". English Historical Review 52 (1937), s. 577 ff.
[61] Marx, Kapitalet, I, s. 496 f. /471/.
[62] Marx, Kapitalet, I, s. 151 /152/.
[63] Marx, Lön, pris och profit, kap. XIV. Jfr Kapitalet, I, s. 146 /147/ ff.
[64] P. Samuelson, Economics (1964), s. 554.
[65] J. Westerståhl, Svensk fackföreningsrörelse (1945), s. 211.
[66] Joan Robinson, An Essay on Marxian Economics (1957), s. 30.
[67] Jfr härtill bl.a.: Engels, Articles from "The labour standard" (Moskva 1955), s. 9, 11 f.; sistnämnda artikel - Fackföreningarnas roll - även i: Karl Marx & Friedrich Engels i urval (1965), s. 213 ff.; Bo Gustafssons kommentarer i a.a., s. 249; C. H. Hermansson, Lön, profit, priser (Tre föreläsningar, 1968), s. 5.
[69] En god översikt över den borgerliga nationalekonomins löneteorier ges i M. Dobb, Wages (Cambr. econ. handbooks VI, 1928), s. 70 ff.
[70] T. Gårdlund, Knut Wicksell (1956), s. 152, 388 f.
[71] Dobb, Wages, s. 102 ff. Härtill även samme förf., "A sceptical view of the theory of wages". Economic Journal 1929, omtr. i hans On economic Theory and Socialism (1955), s. 16 ff.
[72] Marx, Grundrisse der Kritik der politischen Ökonomie (Berlin 1953) s. 447.
[73] Marx, Kapitalet, II, s. 96.
[74] Marx, Theorien über den Mehrwert I (Berlin 1956), s. 353 ff.
[76] Här delar den naturligtvis platsen med de vinster, som företaget döljer genom att skriva av för mycket.
[77] Marx använder termerna "fixes" resp. "zirkulierendes" eller "flüssiges Kapital", av Sandler översatta med "fixt" och "cirkulerande". "Cirkulerande kapital" inbjuder dock till förväxling med begreppet cirkulationskapital; därför har vi här valt "flytande" och i språklig konsekvens därmed "fast kapital".
[78] Marx, Kapitalet, II, s. 127.
[79] Kostnadspriset inrymmer givetvis endast de förbrukade produktionsmedlens värde, av det fasta kapitalet alltså endast den på varan överförda värdedelen. Begreppet motsvarar alltså "prime cost" eller "självkostnadspris".
[80] Marx, Kapitalet, III, s. 10.
[81] Marx, Kapitalet, III, s. 11 f. Jfr. Till kritiken, s. 9 f.
[82] Marx, Kapitalet, III, s. 17.
[83] I den angivna formeln uttrycks alltså den organiska sammansättningen som det variabla kapitalets andel av hela kapitalet. Alternativt kan den naturligtvis också uttryckas som det konstanta kapitalets andel, alltså som k / (k+v). Båda uttryckssätten är i olika sammanhang användbara och används också av Marx. Viktigt är emellertid att undvika tvetydighet vid tal om högre och lägre, växande och sjunkande organisk sammansättning. Därför använder vi i denna bok genomgående det konstanta kapitalets andel som definition av den organiska sammansättningen, i anslutning till vad som är vanligast i litteraturen. Jfr. nedan, kap. 8, s. 136 och kap. 9 s. 150. Om det konstanta kapitalets andel växer, sjunker det variabla kapitalets. Formeln för profitkvoten säger oss alltså, att denna varierar direkt med mervärdekvoten men omvänt mot kapitalets organiska sammansättning.
[84] Marx, Kapitalet, III, s. 44 ff. (av Engels).
[85] Vi bortser här alltså från s.k. naturliga monopol, vars verkningar tillhör jordränteteorin. Ännu mindre naturliga monopol diskuteras i kap. 11.
[86] Förutsättningen är alltså att arbetskraften söker sig till industrigrenar med lägst utsugningsgrad. Det faktum att den också kan dras mot högre lön i förening med högre arbetsintensitet och högre utsugningsgrad betraktas som resultat av utomekonomiska inflytelser. Jfr. Marx, Kapitalet, III, s. 114 f. och Sweezy, The Theory of Capitalist Development, (1942), s. 65.
[87] Marx, Kapitalet, III, s. 125.
[89] Marx, Kapitalet, III, s. 132. - Det bör framhållas att Sweezys framställning på denna punkt (The Theory of Capitalist Development, s. 112 ff.) inte är helt renhårig: här framställs Marx' illustration som "Marx' lösning", varpå denna "lösning" testas utifrån krav som Marx uttryckligen bortsåg från.
[90] Marx, Kapitalet, III, s. 146.
[91] Vilket - från "ricardianska" utgångspunkter - framstår som ett särfall: P. Sraffa, Production of commodities by means of commodities (1963), s. 12.
[92] Följande diskussionsbidrag har utnyttjats: P. Sweezy, The Theory of Capitalist Development (1942), s. 109 ff.; J. Winternitz, "Values and prices: a solution of the so-called transformation problem". Economic Journal 1948, s. 276 ff. (med kommentar av K. May, ibid. s. 596); M. Dobb, "A note on the tranformation problem", i: Dobb, On Economic Theory and Socialism (1955), s. 273 ff.; R. Meek, "Some notes on the 'transformation problem' ". Economic Journal 1956, s. 94 ff. omtr. i Meek, Economics and Ideology (1967), s. 143; F. Seton, "The 'transformation problem' ". Review of Economic Studies XXIV, 1957, s. 149 ff.
[93] E. v. Böhm-Bawerk, Zum Abschluss des Marxschen Systems, i Kleine Abhandlungen über Kapital und Zins (= Ges. Schriften II, ed. F. X. Weiss 1926), s. 342 ff.
[94] Sraffa, Introduction, i: Ricardo, Works and Correspondence (eds. Sraffa & Dobb) I, s. xxx ff. med hänvisningar.
[95] Marx, Theorien über den Mehrwert, II (Berlin 1959), s, 159.
[96] a.a., s. 182.
[97] Joan Robinson, Eine nochmalige Betrachtung der Werttheorie, i Folgen einer Theorie. Essays über "Das Kapital" von Karl Marx (1967), s. 65; jfr hennes något tvärsäkrare Economic Philosophy (1962), s. 38 ff.
[98] R. Meek, Economics and Ideology (1967), s. 105.
[99] M. Boserup, "Omkring fortolkningen af arbeijdsværdilæren". Häften för kritiska studier 2-3, 1969, s. 54.
[100] Marx, Till kritiken, s. 9.
[101] Marx & Engels, Kommunistiska manifestet, s. 28.
[102] Marx, Kapitalet, I, s. 7 /5/.
[103] Marx, Till kritiken, s. 9.
[104] Marx & Engels, Kommunistiska manifestet, s. 44.
[105] Engels, Familjens, privategendomens och statens ursprung (1945), s. 222.
[106] Marx, Kapitalet, I, s. 524 /497/.
[107] Marx, a.a., s. 525 /498/.
[108] Marx, a.a., s. 530 /502/.
[109] För en mera utförlig diskussion om principen för aggregering i den marxistiska ekonomin se t.ex. S. Tsuru, Keynes v. Marx: The methodology of aggregates, i Marx and Modern Economics (ed. D. Horowitz, New York and London 1968), s. 176 ff.
[110] Marx, Kapitalet, II, s. 367.
[111] Marx, Kapitalet, I, s. 537 /508/.
[112] Marx, Kapitalet, II, s. 446 f. Av citatet framgår att det faktiskt inte var J. M. Keynes som var den förste som kom på tanken att pengar kunde tjänstgöra som annat än bytesmedel.
[113] En utförlig diskussion om detta finns hos J. Robinson, Kalecki and Keynes, i Problems of Economic Dynamics and Planting. Essayes in honour of Michael Kalecki (Warzawa 1966), s. 355 ff.
[114] Se t.ex. E. Heckscher, Svenskt arbete och liv (1957) s. 246 ff. Jfr. nedan kap. 13, s. 217 f.
[115] Marx, Kapitalet, I, s. 674 /629/.
[116] För en diskussion om marxismens historiska ansats se t.ex. P. M. Sweezy, The theory of capitalist development (1942) s. 20 ff; Stalin, Om den dialektiska och den historiska materialismen, i Leninismens problem (Moskva 1952) s. 818-854; E. Mandel, Marxist economic theory, Vol. I (1968) s. 17f.
[117] Marx, Kapitalet, I, s. 675 /629/.
[118] a.a., s. 522 /495/.
[119] a.a., s. 540 /510/.
[120] a.a., s. 552 /521/.
[121] a.a., s. 587 /551 f/.
[122] a.a., s. 588 /552/.
[123] a.a., s. 588 /553/.
[124] a.a., s. 589 /553/.
[125] Statens offentliga utredningar (SOU) 1968: 3, 5, 6, 7.
[126] Statens offentliga utredningar (SOU) 1968:7 s. 15.
[127] a.a., s. 592 /556/.
[128] a.a., s. 594 /557/.
[129] Figuren bygger på en framställning hos P. M. Sweezy, The theory ... s. 91.
[130] A. Lindbeck, Svensk ekonomisk politik (1968) s. 190.
[131] Marx, Kapitalet, I, s. 602 /564/.
[132] Marx, Lönarbete och kapital (1948) s. 43 f.
[133] K. G. Ljungenfelt, Löneandelen och den ekonomiska utvecklingen (1966).
[134] ibid., s. 207.
[135] P. Holmberg, Arbete och löner i Sverige (1964) s. 127. På tämligen lösa grunder förmodar dock Holmberg, att löntagarnas sparande ökat under det senaste decenniet.
[136] R. L. Meek, "Marx's doctrine of increasing misery"; i Economics and ideology and other essays (1967) s. 117.
[137] B. Ohlin, Marxismen - en förlegad samhällssyn, Dagens Nyheter 3.8.68.
[139] Jfr. ovan kap. 8 om "Ackumulationsprocessen" s. 136.
[140] P. M. Sweezy, The Theory of Capitalist Development (1942) kap. 6, Joan Robinson, An Essay on Marxian Economics (1949). H. D. Dickinson, The Falling Rate of Profit i Review of Economic Studies, Febr. 1957, s. 123. N. Moszkowska, Das Marxsche System (1929) hävdar utifrån liknande utgångspunkter som Sweezy och Robinson att lagen lika gärna kunde kallas för "lagen om mervärdekvotens tendentiella stegring", s. 118.
[141] a.a., s. 101.
[142] Marx, Theorien über den Mehrwerth II s. 440 ff.
[143] ibid, s. 441.
[144] Marx, Kapitalet, III, s. 182 f. (vår kursivering).
[145] ibid, s. 216.
[146] Kritiken mot Marx framställning av profitkvotens fall har bemötts på ett uttömmande sätt dels av R. Rosdolsky, Zur neueren Kritik des Marxschen Gesetzes der fallenden Profitrate, i Kyklos Vol. IX, 1956, dels av R. L. Meek, The Falling Rate of Profit, i Science and Society, Winter 1960. En bra diskussion om Marx' och Robinsons olika uppfattningar om profitkvotens utveckling finns hos R. Güsten, Die langfristige Tendenz der Profitrate bei Karl Marx und Joan Robinson. (1960)
[147] Marx, Kapitalet, III, s. 201.
[148] Jfr. ovan kap. 4 s. 59, 63 ff.
[149] Marx, a.a., s. 204.
[150] a.a., s. 205.
[151] För empiriskt material om den organiska sammansättningens ökning se Karl Marx och Friedrich Engels i urval (1965). Kommentarer av Bo Gustafsson s. 249 f.
[152] Meek, The Falling Rate of Profit, Science and Society 1960, omtr. i: Meek, Economics and Ideology (1967).
[153] Marx, Kapitalet, III, s. 205 f.
[154] P. M. Sweezy, The Theory of Capitalist Development (1942) s. 141.
[155] I diskussionen bland marxistiska ekonomer är man i dag inte helt överens huruvida profitkvotens tendens att falla kan betraktas som en förklaring till krisernas uppkomst. I t.ex. Politische Ökonomie - Lehrbuch (Berlin 1955) utgiven av den Sovjetiska Vetenskapsakademins institut för ekonomi, tar man endast upp den relativa överproduktionen som förklaring till kriserna, medan t.ex. M. Dobb, Political Economy and Capitalism (1945) huvudsakligen behandlar profitkvotens fall när han vill förklara krisernas uppkomst.
[156] För en mer teknisk framställning av profitkvoternas betydelse för konjunktursvängningarna se t.ex. M. Kalecki, Theory of Economic Dynamics (1965).
[157] Marx-Engels, Kommunistiska manifestet s. 22.
[158] Framställningen är med vissa förändringar helt hämtad från E. Mandel, Marxist Economic Theory Vol. I (1968) s. 359 f. Varje cykel börjar och slutar med en kris.
[159] Economic and Social Consequences of Disarmament (United Nations, 1962), s. 55 f.
[160] Jfr. nedan kap. 13 s. 228 ff.
[161] Statens Offentliga Utredningar (SOU) 1968:7 s. 14 f.
[162] A. Carling, Industrins struktur och konkurrensförhållanden (1968), s. 18.
[163] Statens Offentliga Utredningar (SOU) 1968:3 s. 159.
[164] Staten Offentliga Utredningar (SOU) 1968:7 s. 121 ff; C. H. Hermansson, Monopol och storfinans - de femton familjerna (1965) s. 255 ff. Vid en parallell genomgång av Hermanssons arbete och koncentrationsutredningen är det påfallande hur föga nytt som kommer fram i den senare med tanke på det material och de resurser utredningen haft till sitt förfogande.
[165] För en marxistisk diskussion av keynesianismen se bl.a. P. M. Sweezy, The Present as History (1953).
[166] P. A. Baran och P. M. Sweezy, Monopoly Capital (1966), s. 14 ff.
[167] E. Kefauver, Dollarns imperium (1966). I denna mycket intressanta och stundom roande bok konfronteras naivt liberala föreställningar med monopolkapitalets realpolitik. Monopolkapitalet klargör sin prispolitik på bl.a. s. 138 ff.
[169] Marx, Kapitalet, III, s. 732.
[170] Marx, Kapitalet, III, s. 813.
[171] För en diskussion av den marginella profitkvoten se bl.a. P. M. Sweezy, The Theory of Capitalist Development s. 275 f.
[172] En diskussion av den ojämna utvecklingen i olika industrigrenar står att finna i E. Mandel, Marxist Economic Theory, vol. 2, s. 434 ff.
[173] J. O'Connor, "Finance capital or corporate capital". Monthly Review, december 1968.
[174] P. A. Baran och P. M. Sweezy, Monopoly Capital (1966) s. 34 f.
[175] Lenin, Imperialismen som kapitalismens högsta stadium (1969), s. 87.
[176] M. Dobb, "Some problems under discussion", Marxism Today, mars 1967, s. 88.
[177] Nedan kapitel 13 s. 229 ff.
[178] Marx, Kapitalet, II, s. 117.
[179] P. A. Baran och P. M. Sweezy, Monopoly Capital, (1966), s. 115.
[180] För en diskussion av den svenska statens korporativa karaktär se: L. Berntsson och G. Persson, U-hjälp och imperialism (1968), s. 34 ff.
[181] J. K. Galbraith, Den nya industristaten, (1968), s. 55 ff.
[182] Lenin, Imperialismen som kapitalismens högsta stadium (1969).
[183] H. Magdoff, Imperialismens politiska ekonomi (1969), s. 10.
[184] Lenin, a.a., s. 58.
[185] Lenin, a.a., s. 121.
[186] Detta avsnitt bygger huvudsakligen på H. Magdoff, Imperialismens politiska ekonomi (1969).
[187] Magdoff, a.a., s. 23.
[188] Magdoff, a.a., s. 24.
[189] Magdoff, a.a., s. 22.
[190] Magdoff, a.a., s. 25.
[191] För en analys av de f.d. koloniernas produktionsstruktur se P. Jalée, The pillage of the third world (1968) s. 15 ff.
[192] Magodff, a.a., s. 53.
[193] För en diskussion om dollarns ställning och rivaliteten inom det imperialistiska blocket se E. Mandel, EEC och konkurrensen Europa-USA (1969), s. 69 ff.
[194] Magdoff, Economic Aspects of U.S. Imperialism (1966) särtryck ur Monthly Review nr 6 november 1966, s. 7.
[195] Magdoff, Economic Aspects of U.S. Imperialism (1966), s. 11.
[196] Magdoff, Economic Aspects of U.S. Imperialism (1966), s. 16.
[197] P. A. Baran och P. M. Sweezy, Monopoly Capital (1966), s. 82 ff.
[198] Magdoff, Economic Aspects of U.S. Imperialism (1966), s. 21.
[199] Magdoff, Economic Aspects of U.S. Imperialism (1966), s. 25.
[200] För en utförligare framställning om svensk imperialism se L. Berntsson och G. Persson, U-hjälp och imperialism (1968).
[201] Framställningen om investeringsgarantierna bygger huvudsakligen på två seminariearbeten som genomfördes vårterminen 1969 vid nationalekonomiska institutionen i Göteborg. H. Heijl och H. Nyman, Den svenska investeringsgarantin. (Stencil) J. Johansson och R. Gustavsson, Investeringsgarantier. (Stencil)
[202] Marx, Kapitalet, I, s. 15 /14/.
[203] Lenin, Imperialismen som kapitalismens högsta stadium (1969), s. 163 f.
[204] Det är därför helt följdriktigt när läroböcker i nationalekonomi motiverar sitt intresse för u-landsproblem utifrån antikommunism. Se bl.a P.A. Samuelson, Economics (1958), s. 757.
[205] För en översikt av den borgerliga nationalekonomins tillväxtteorier se t.ex. B. Higgins, Economic development (1959).
[206] T. Gårdlund, Att arbeta i u-land (1966), s. 114 ff.
[207] G. Myrdal, Asian Drama (1968), s. 66 et passim.
[208] J. Bhagwati, U-ländernas ekonomi (1966), s. 73.
[209] T. Gårdlund, Att arbeta i u-land (1966), s. 97.
[210] R. Nurkse, Problems of Capital Formation in Underdeveloped Countries (1953), s. 4.
[211] M. Dobb, Economic growth and planning (1960), s. 33 ff.
[212] Se ovan kapitel 3, s. 54 f. för en ytterligare diskussion av merproduktens ursprung.
[213] P.A. Baran, The Political Economy of Growth (1957), s. 20.
[214] Denna storhet kallar Baran för "förverkligat överskott" (actual surplus). Se P.A. Baran, a.a., s. 22.
[215] Det objektiva överskottet motsvarar i stort det överskottsbegrepp som tillämpas i Monopoly Capital. Se P. A. Baran och och P.M. Sweezy, Monopoly Capital (1966), s. 9 f. Dock tycks författarna ej göra klar skillnad mellan det vi kallat objektivt resp. potentiellt överskott. Se t.ex. a.a. s. 75 f.
[216] Det potentiella överskottet enligt vår definition skiljer sig avsevärt från det som Baran utnyttjar. Däremot tycks det förekomma implicit i diskussionen i Monopoly Capital. Se not 12 och P.A. Baran, a.a. s. 23 f.
[217] I ett avslutande avsnitt i detta kapitel kommer vi att visa att det centrala för ekonomisk tillväxt ingalunda är överskottets kvantitativa sida. När man går över från ett statiskt till ett dynamiskt perspektiv blir det framförallt frågan om hur den genom ackumulation skapade produktionstillväxten används. Överskottsbegreppen måste följaktligen ses huvudsakligen som de analysinstrument med vilka vi kan blottlägga den rådande sociala och ekonomiska strukturen i ett samhälle.
[218] M. Dobb, Economic Growth and Underdeveloped Countries (1963), s. 10.
[219] P.A. Baran och P.M. Sweezy, a.a., 207 ff.
[220] P.A. Baran och P.M. Sweezy, a.a., s. 172 f.
[221] B. Gustafsson, Från kolonialism till socialism (1964), s. 22 ff.
[222] P.A. Baran, a.a., s. 145.
[223] S. Tsuru, Essays on Economic Development (1968), s. 105 ff.
[224] Framställningen om underutvecklingens kännetecken och orsaker bygger huvudsakligen på P.A. Baran a.a. s. 163 ff.
[225] Y. Holmsen och J. Mannerheim, Lamcos Liberia (1968), s. 154.
[226] För Kuba som exempel se t.ex. L. Huberman och P.M. Sweezy, Cuba - Anatomy of a Revolution (1960), s. 154 f.
[227] T. Gårdlund, a.a., s. 115.
[228] P.A. Baran, a.a., s. 227.
[229] M. Dobb, a.a., s. 42.
[230] M. Dobb, a.a., s. 15. Beteckningen socialistiska stater följer här FN:s terminologi.
[231] För ett utförligare resonemang om arbetsproduktivitet se M. Dobb, a.a. s. 50.
[232] M. Kalecki, Theory of Economic Dynamics (1965), s. 45 ff.
[233] Se ovan kapitel 12 s. 208 ff.
[234] PM angående den ekonomiska långsiktsutvecklingen, Bihang F till Kungl. Maj:ts prop. nr 125/1965.
[235] För en utförlig diskussion av den dialektiska materialismen se M. Cornforth, Marxismens filosofi - den dialektiska materialismen, I-III, (1969).
[236] Sovjetunionens Kommunistiska Partis historia (Arbetarkulturs förlag), s. 139.
[237] Lenin, Filosofiska arbeten (Arbetarkulturs förlag), s. 10.
[238] Marx, Teser om Feuerbach. Se bilaga i Engels, Ludwig Feuerbach, s. 79.
[239] B. Russel, Den mänskliga kunskapen, s. 232.
[240] Citerat från M. Cornforth, Den dialektiska materialismen och vetenskapen (1955), s. 40.
[241] G. Myrdal, Asian Drama (1968), s. 49 ff. Här ges en tillämpning av Myrdals föreställningar. För en mer allmän diskussion se G. Myrdal, Objektivitetsproblemet i samhällsforskningen (1968).
[242] För en diskussion om förhållandet mellan värderingar och verklighetsuppfattningar, se Ingvar Johansson, Gunnar Myrdal och värderingarna. Zenit nr. 14, 1969.